• ISSN 0258-2724
  • CN 51-1277/U
  • EI Compendex
  • Scopus 收录
  • 全国中文核心期刊
  • 中国科技论文统计源期刊
  • 中国科学引文数据库来源期刊

2018年 第31卷 第5期

栏目
显示方式:
我国铁路下一代移动通信系统制式及演进探讨
熊杰
2018, 53(5): 879-885. doi:10.3969/j.issn.0258-2724.2018.05.001
摘要:
目前我国既有第二代移动通信系统产业链已表现出萎缩趋势,及时完成铁路下一代移动通信技术应用准备,对促进我国铁路移动通信系统发展具有重要意义. 本文阐述了发展我国铁路下一代移动通信系统的迫切性,对当前主流宽带移动通信系统的发展现状进行了分析,结合我国铁路主要应用场景业务需求特点,对第4代及第5代移动通信技术在铁路应用的适用性进行了分析. 提出在试验验证基础上抓紧申请铁路适用频率,建议铁路正线采用以3GPP (third generation partnership project) LTE (long-term evolution)为基础的集群通信系统并采用3GPP组呼方案,在站场及枢纽地区可采用包括第5代移动通信技术(5G)在内的多种通信技术. 提出结合现场高速试验、开展技术及装备研究/制,研究制订相应技术标准体系,研究第5代移动通信等新技术在铁路的工程应用.
基于视觉显著性的视频差错掩盖算法
王冰, 彭强
2018, 53(5): 886-892. doi:10.3969/j.issn.0258-2724.2018.05.002
摘要:
为了避免在差错掩盖过程中由于不当的替代块选择而引入新的可察觉失真,将视觉显著性与差错掩盖算法相结合,提出了一种基于视觉显著性的视频差错掩盖算法. 首先使用显著图检测算法将原始视频的每帧图像分为感兴趣区域和非感兴趣区域,接下来在解码端利用视频序列的显著性分布信息进行差错掩盖,保证候选替代块的选择范围被限制在与原始单元具有相似视觉显著性分布水平的区域内;其次在非感兴趣区域受损单元的掩盖算法中引入显著性降低操作算子,通过算子循环迭代来降低其替代块的强度和颜色对比度,使得掩盖后的图像区域既能保持较好的匹配性又具有低显著性;最后利用快速非局部均值去噪算法,对完成差错掩盖操作的视频序列进行去噪处理,以提高视频序列的整体视觉质量. 实验结果表明:在3%、5%、10%丢包率下,相对于传统的边界匹配算法,该算法掩盖后的序列的客观质量具有0.79~1.66 dB的提升;相对于解码端运动估计算法,该算法掩盖后的序列的客观质量具有0.39~1.55 dB的提升;在掩盖完成后使用非局部均值去噪算法,视频序列的客观质量有0.05~0.51 dB的提升.
一种改进的LBP特征实现铁路扣件识别
王强, 李柏林, 侯云, 范宏
2018, 53(5): 893-899. doi:10.3969/j.issn.0258-2724.2018.05.003
摘要:
为了提高铁路扣件基于视觉的自动化检测精度,提出了一种改进的LBP (local binary pattern)编码算法. 该方法为了避免基本LBP对噪声敏感问题,根据不同邻域的不同噪声强度,结合测量误差服从高斯分布的原则,计算邻域内像素均值和偏差;根据偏差大小,自动设置阈值,实现自适应噪声抑制. 为了避免基本LBP表达邻域差分关系不完整的缺陷,提出了利用邻域内随机采样的方式得到采样点对,通过比较随机点对的差分关系得到LBP编码. 对在晴天、阴天、雨天等不同天气条件下的铁路扣件图像上进行实验,并与原始以及其他改进LBP进行比较. 结果表明,本文的算法具有更高的检测准确率,晴天提高了3.32%,阴天提高了3.27%,雨天提高了4.10%,能够满足铁路扣件自动化检测的需要.
仰拱病害的电磁波响应特征模拟及三维成像
蒋武军, 尹小波, 戴前伟, 张彬
2018, 53(5): 900-905. doi:10.3969/j.issn.0258-2724.2018.05.004
摘要:
为提高隧道仰拱病害的电磁波三维成像效率和探测精度,提出一种基于旋转交错网格(rotated staggered grid,RSG)数值模拟及偏移成像理论的波场分析方法,建立了仰拱典型病害的RSG数值模型,模拟了电磁波在隧道仰拱及隧道底层结构中的复杂传播情况,分析了电磁波的衰减、绕射、频散等电磁响应特征及道集信号,然后基于RSG偏移成像理论,并通过局部刻画和三维切片等技术,开展了隧道仰拱病害电磁波模拟数据的RSG三维成像研究. 结果表明:仰拱中钢筋与钢支撑混凝土介质的电场幅值均大于6.5 × 104V/m,仰拱病害的电场幅值约为6.0 × 104V/m,RSG三维成像及分析方法兼顾了电磁波横纵向分辨率,刻画出了软弱夹层介质内部的疏松情况和起伏形态,提高了电磁波对仰拱病害的成像精度.
桥上纵连板式无砟轨道疲劳应力谱的理论研究
徐庆元, 林青腾, 方子匀, 娄平, 杨荣山, 陈伟, 张泽
2018, 53(5): 906-912. doi:10.3969/j.issn.0258-2724.2018.05.005
摘要:
为获得服役期间桥上纵连板式无砟轨道疲劳应力谱计算理论,考虑无砟轨道钢筋与混凝土的相互作用、无砟轨道混凝土的开裂与闭合效应、无砟轨道荷载的共同作用和时变特性,分别建立和验证了桥上纵连板式无砟轨道温度场计算模型、多尺度高速列车-纵连板式无砟轨道-桥梁三维有限元耦合动力学模型、纵连板式无砟轨道-桥梁-桥梁墩台纵向相互作用模型,并在此基础上,提出了桥上纵连板式无砟轨道疲劳应力谱计算理论.研究结果表明:利用提出的疲劳应力谱计算理论可得到服役期间桥上纵连板式无砟轨道各部件钢筋与混凝土应力时程曲线及疲劳应力谱;考虑多种荷载工况,能深入探讨桥上纵连板式无砟轨道疲劳破坏机理和影响规律;计算理论可为丰富和完善我国无砟轨道设计理论提供重要依据.
板边离缝对CRTS III型轨道-路基动力特性的影响
宋小林, 吕天航, 裴承杰
2018, 53(5): 913-920. doi:10.3969/j.issn.0258-2724.2018.05.006
摘要:
为了研究板边离缝对高速铁路基础结构动力特性的影响,利用CRTS III型板式轨道-路基全尺寸试验模型开展了落轴试验,实测了轨道板与自密实充填层一侧界面处离缝的几何分布,并利用ANSYS/LS-DYNA有限元软件建立了相应的动力有限元分析模型,分析了板边离缝对轨道和路基结构冲击动力特性的影响规律,并利用相应的试验结果对数值结果进行了对比验证. 研究结果表明:轨道板和自密实层界面处单侧离缝的平均宽度和平均高度分别为28.18 cm和2.15 mm;板边离缝宽度对基础结构动力特性的影响要大于离缝高度;在0~800 mm的范围内,随着离缝宽度的增加,轨道和路基位移以及钢轨加速度、轨道板加速度和基床底层加速度都持续增加,其中轨道板的位移和加速度的增幅均为最大,分别为56.8%和143.3%,充填层、支承层和基床表层的垂向加速度随离缝宽度的增加先增大后减小,当离缝尖端扩展至钢轨正下方附近时达到最大值;在0~3 mm的范围内,轨道和路基垂向位移与加速度均随离缝高度的增大而略微增加,最大增幅分别为8%和12%;越靠近离缝界面层面,离缝高度对其冲击动力特性的影响也越显著.
温度作用下纵连式无砟轨道垂向稳定性研究
刘笑凯, 刘学毅, 肖杰灵, 邸银桥, 杨荣山
2018, 53(5): 921-927, 944. doi:10.3969/j.issn.0258-2724.2018.05.007
摘要:
为研究纵连式无砟轨道垂向失稳的形态和过程,基于欧拉梁挠曲微分方程推导了温度作用下轨道板上拱波形曲线,得到了上拱矢度与波长的关系;并利用势能驻值原理分析了存在初始上拱时轨道板垂向失稳的平衡路径. 研究表明:与假设变形法相比,解微分方程法精度更高,误差可降低近30%;轨道板的失稳过程包括持稳、胀板和失稳3个阶段,且初始上拱矢度越大,轨道板的持稳极限和胀板极限越小;分析了温度力释放对轨道板上拱平衡路径的影响,表明轨道板失稳的平衡路径会出现强化阶段,且摩擦因数越大,强化阶段出现越早,但变形较小时,温度力释放对轨道板板上拱的影响极小;初始上拱矢度越大,轨道板允许上拱越大,初始上拱小于50 mm时,轨道板难以发生垂向的失稳.
整体道床轨道扣件刚度对钢轨声功率特性的影响
盛曦, 赵才友, 王平, 陈俊豪, 魏晓
2018, 53(5): 928-936, 1094. doi:10.3969/j.issn.0258-2724.2018.05.008
摘要:
为了研究整体道床轨道扣件刚度对钢轨垂向振动声功率特性的影响,建立了平面半轨道模型,利用谱元法计算了钢轨导纳,建立了轨道周期子结构模型,利用谱传递矩阵法计算了轨道衰减率;结合钢轨导纳和轨道衰减率计算结果,得到了单位简谐点激励作用下的钢轨声功率级,分析了扣件刚度对钢轨相对声功率级的影响. 研究结果表明:在单位简谐点激励作用下,中低频范围内的钢轨声功率级随着频率的增大而提高,在1/3倍频程中心频率800 Hz处,钢轨声功率级出现峰值;钢轨声功率级随着扣件刚度的减小而增大,但主要影响的频率范围为400 Hz以下;扣件刚度减小越多,钢轨声功率级增大越显著;扣件刚度的减小使得钢轨声功率级在钢轨弯曲共振频率处增加量最大,这是因为在该频率下钢轨导纳幅值增加量和轨道衰减率减少量均较大.
基于结构应力的转向架构架焊缝疲劳强度研究
周张义, 黄运华, 杨阳, 丁军君
2018, 53(5): 937-944. doi:10.3969/j.issn.0258-2724.2018.05.009
摘要:
为了解决现行标准中转向架构架焊缝容许疲劳强度数据存在的问题,针对当前的各种结构应力方法和数据,就其在焊缝结构应力测试、容许应力幅、设计值存活率、平均应力修正、焊缝修整疲劳强度提高及极限容许应力确定等方面的关系和差异进行对比,并构建了Q345钢焊缝基于实测结构应力的疲劳图和S-N曲线. 结果表明:转向架构架焊缝结构应力的实测可沿用B12/RP17规定的方法,即采用6 mm长的应变片并将其前端紧靠焊趾边缘布置;建议借鉴IIW (International Institute of Welding) FAT100和FAT90两组基本数据,并应用其平均应力和焊缝修整疲劳强度提高的修正方法,构建更加合理的基于实测结构应力的焊缝容许疲劳强度数据;对于2 × 106次循环数对应的疲劳图,极限容许应力可参考DVS 1612规定的方法,由母材屈服极限除以相应的安全系数确定.
基于接触斑能量耗散轮轨磨损与损伤机制研究
郭立昌, 杨斌, 何成刚, 朱文涛, 王文健, 刘启跃
2018, 53(5): 945-950. doi:10.3969/j.issn.0258-2724.2018.05.010
摘要:
为了建立轮轨磨损与损伤实验的统一标准,在目前实验方法研究轮轨磨损与损伤机制的基础上,提出了基于接触斑能量耗散轮轨磨损与损伤机制的分析方法. 针对轮轨磨损与损伤实验缺乏统一标准的现状,对不同实验方法获得的磨损与损伤结果进行对比分析;通过对不同实验结果的对比分析,提出了基于接触斑能量耗散轮轨磨损与损伤机制的分析方法,并分析了不同轮轨材料与实验方法的单位面积轮轨接触斑耗散能-磨损率曲线的变化规律. 研究结果表明:根据轮轨材料的单位面积轮轨接触斑耗散能-磨损率变化曲线规律及轮轨损伤特征,可将轮轨磨损划分为3个分区:轻微磨损、严重磨损、灾难性磨损,单位面积轮轨接触斑耗散能-磨损率曲线在实际应用中可预测轮轨磨损;轮轨接触斑耗散能准确地表征轮轨磨损率和损伤形式,可用于轮轨磨损与损伤数据的对比分析.
基于数值模型和解析模型的钢轨波导特性分析
代丰, 刘学毅, 朱颖, 汤普森·代维, 杨吉忠
2018, 53(5): 951-957, 1016. doi:10.3969/j.issn.0258-2724.2018.05.011
摘要:
钢轨振动由沿钢轨传递的各类导波构成,是铁路滚动噪声的主要贡献者. 为了研究铁路轨道的动力特性,分别基于铁木辛柯梁理论和波导有限元法建立了两种分析模型,推导自由波响应和受迫响应的求解过程,以波数、群速度、速度导纳和衰减率为指标,分析了两种模型条件下钢轨的波导特性. 研究结果表明:波导有限元模型包含了钢轨横截面所有的变形特征,可表征6 kHz内钢轨中的8种导波及其特性,反映导波波型交换、群速度互换的现象,以及高阶导波激发引起的导纳峰值;铁木辛柯梁模型可识别包括弯曲波、扭转波和纵波在内的5种钢轨导波,无法揭示截止频率在1.5 kHz以上与钢轨截面变形相关的导波;铁木辛柯梁模型可给出2 kHz内合理的钢轨垂向原点速度导纳计算结果.
客货共线砂浆离缝高度对轨道结构的动力影响
李潇, 任娟娟, 刘学毅, 邓世杰, 王吉, 王泽萍
2018, 53(5): 958-965. doi:10.3969/j.issn.0258-2724.2018.05.012
摘要:
客货共线条件下CRTS I型板式无砟轨道CA砂浆与轨道板普遍存在离缝,为了得到CA砂浆离缝高度对轨道结构动力响应的影响规律,基于车辆-轨道耦合动力学以及子结构模态叠加法,将ANSYS计算的轨道部件子结构的自振特性输入SIMPACK,使用力元连接轨道各部件形成轨道系统,通过轮轨接触面及柔性钢轨节点间的位移和力的数据传递,实现列车和轨道子系统的耦合,建立了含CA砂浆离缝的CRTS I型板式无砟轨道的垂向耦合模型,研究了客货混运条件下CA砂浆离缝高度对轨道结构动力响应的影响. 研究表明:随CA砂浆离缝高度增大,钢轨动态位移、轨道板振动响应及CA砂浆动应力均显著提高;当CRH380通过,板端离缝高度为1.0 mm和2.0 mm时,钢轨位移分别增大了0.24 mm和0.27 mm,轨道板在25 Hz处振级分别增大了21.0 dB和21.7 dB,离缝根部砂浆最大动应力均达到0.2 MPa,离缝高度超过1.0 mm后,离缝高度对轨道结构动力响应的影响趋于平缓;当SS7E通过,板端离缝高度为1.0 mm和2.0 mm时,钢轨位移分别增大了0.48 mm和0.66 mm,轨道板在8 Hz处振级分别增大了15.5 dB和19.4 dB,离缝根部砂浆动应力分别达到0.24 MPa和0.36 MPa,离缝高度超过1.0 mm后,离缝高度对轨道结构动力响应的影响仍有较大的增长.
层状软岩隧道围岩破坏的连续-离散耦合分析
徐国文, 何川, 汪耀, 陈子全
2018, 53(5): 966-973. doi:10.3969/j.issn.0258-2724.2018.05.013
摘要:
为了研究层状岩体中隧道开挖后围岩的破坏机理,以汶马高速鹧鸪山隧道为例,基于离散元-有限差分耦合算法,建立了一种新的层状软岩隧道开挖模拟方法,采用该方法对不同地应力场、层理间距等因素影响下围岩的破坏模式进行了数值模拟. 研究结果表明:隧道开挖后,应力重分布导致强度较低的层理面首先发生滑移及张开破坏,岩体的滑移及张开使得应力场受到进一步扰动,导致层间岩体产生拉裂破坏;同种水平应力条件下,随着侧压力系数的减小,岩体产生的微裂纹不断增多. 当侧压力系数为1.00、0.80、0.67、0.57、0.50时,微裂纹总数分别为304、391、602、999、1 240;当层理间距为0.6 m时,层理对围岩破坏形态起控制作用;随着层理间距从0.6 m增加至1.2 m,层理对围岩破坏模式的控制作用减弱,围岩的破坏形态与均质围岩相似.
悬索桥隧道式锚碇侧摩阻力近似解析算法
肖世国, 赵琳智
2018, 53(5): 974-981. doi:10.3969/j.issn.0258-2724.2018.05.014
摘要:
为了解析计算悬索桥隧道式锚碇的侧摩阻力,基于弹性理论,并考虑锚碇前、后锚端边界条件,建立了锚碇侧摩阻力的计算表达式。首先,根据实际锚碇受力情况建立了锚碇分析模型;其次,在Mindlin解的剪应力一般表达式基础上,引入锚碇前、后锚端剪应力为0的条件以及锚碇的静力平衡条件予以修正,得到锚碇侧摩阻力的解析式;最后,引用模型试验结果验证了解析方法的合理性,并结合工程实例进一步揭示了锚碇侧摩阻力的分布规律. 研究结果表明:锚碇摩阻应力沿轴向呈单峰曲线分布模式,解析计算与三维数值模拟的最大摩阻应力平均误差约为8.5%;当主缆拉力较小(1倍设计缆力)时,锚碇自重可导致较小的侧摩阻力;当主缆拉力较大(3.5倍设计缆力)时,锚碇自重对侧摩阻力影响相对减弱;随着主缆拉力逐渐增大,锚碇侧表面可能出现局部剪切破坏,侧摩阻力将产生重分布.
承重型3D板墙体抗震性能数值模拟
黄群艺, 梁东, 黄艳霞, 芮奕
2018, 53(5): 982-988. doi:10.3969/j.issn.0258-2724.2018.05.015
摘要:
为研究承重型3D板墙体的抗震性能,同时考虑单纯采用拟静力等抗震性能试验存在试验周期较长、成本较高等问题,采用有限元分析方法对承重型3D板墙体的抗震性能进行模拟计算,并将计算结果与试验结果进行对比,在验证数值模型准确合理的基础上,进一步分析高宽比、混凝土层厚度及强度对其抗震性能的影响,以此节约试验时间和成本. 研究结果表明:随着高宽比的增大,构件趋于弯曲破坏,有利于增加构件的延性及耗能能力. 增加混凝土层厚度对墙体极限承载力具有一定的提高作用,当单侧混凝土层厚度由30 mm增加至40、50 mm时,墙体极限承载能力由208 kN增加至253、279 kN;墙体的极限承载能力随着混凝土层强度的提高略有提升,当混凝土层强度由C25增加至C30、C35时,构件的极限承载力由236 kN增加至253、260 kN.
随机地震动下粘滞阻尼减震结构振动台试验研究
梅真, 郭子雄, 侯炜, 李海锋, 王海峰
2018, 53(5): 989-999. doi:10.3969/j.issn.0258-2724.2018.05.016
摘要:
为研究随机激励作用时粘滞阻尼器在结构中的实际减振效果,开展了随机地震动作用下粘滞阻尼减震结构振动台试验研究. 振动台试验中,采用基于物理随机地震动模型生成的地震动样本作为台面输入. 通过对有控和无控模型结构响应的均值、标准差以及概率密度函数等进行比较,系统分析了粘滞阻尼器的消能减震效果. 结果表明:有控模型结构层间位移响应显著减小,楼层剪力均方根值取得一定的减振效果,而大多数楼层绝对加速度响应出现不同程度增大;随机地震动作用下模型结构动力响应的变异性显著,且不同试验地震动样本输入时粘滞阻尼器取得的减振效果不同;粘滞阻尼器-钢支撑系统工作时能给被控结构提供一定的附加刚度和附加阻尼,使得结构动力特性产生变化,进而改变结构地震响应;有控模型结构底层位移响应的均值及标准差在地震动作用时段内均显著减小,且底层位移响应在各时刻的概率密度函数的分布宽度及其形态较无控时发生明显变化.
刚性挡土墙拓宽加筋路基稳定性演变数值模拟
蒋鑫, 陈滔, 吴玉, 朱奇炯, 耿建宇, 邱延峻
2018, 53(5): 1000-1008. doi:10.3969/j.issn.0258-2724.2018.05.017
摘要:
为阐释山区公路刚性挡土墙拓宽加筋路基稳定性的动态演变规律及机理,结合山区公路路基拓宽改建多外设刚性挡土墙的特殊性,运用Phase2有限元软件,考虑土-结构相互作用,建立数值模型,所获加筋效果相关结论经离心模型试验宏观验证,开展基于剪切强度折减法的山区公路拓宽加筋路基稳定性分析,探究填土、土工格栅和填土-土工格栅界面三者力学响应动态演变规律及其对路基稳定性的影响. 研究结果表明:铺设土工格栅后路基面差异沉降减小47.1%,墙体最大外倾减小65.4%,路基稳定安全系数提高12.8%;随着剪切强度折减系数增加,填土-土工格栅界面单元滑移失效,但未决定路基稳定性,上层位衡重台外边缘处土工格栅的拉断失效将导致轴向拉力骤降,诱发拓宽路基失稳破坏.
张力对接触网系统风振响应影响的风洞试验研究
谢强, 支希
2018, 53(5): 1009-1016. doi:10.3969/j.issn.0258-2724.2018.05.018
摘要:
接触线和承力索的张力对接触网系统的风振响应有重要的影响,为此进行了气弹模型风洞试验. 以实际铁路工程为背景,根据接触网系统的设计要求,按照气动弹性相似理论制作了接触网系统的5柱4跨模型,并根据接触线、承力索张力的4种组合情况进行了气动弹性模型风洞试验,得到了支柱、腕臂结构及接触线上的加速度和位移响应,研究了在紊流场下结构的风振响应特征. 试验结果表明,接触线与承力索张力越大,接触线自振频率越大,且其风偏越小;腕臂及支柱结构受张力影响较小;接触网系统为风敏感结构,提高接触线、承力索张力可有效控制风偏.
锯齿形结构面剪切流变及非线性本构模型分析
田光辉, 沈明荣, 杨瑞芳, 张清照, 王振
2018, 53(5): 1017-1025. doi:10.3969/j.issn.0258-2724.2018.05.019
摘要:
为了对岩体结构面的蠕变和松弛特性进行比较分析,用水泥砂浆浇筑成不同角度的结构面试样,在岩石双轴流变试验机上对同一应力起点的规则齿形结构面进行剪切应蠕变试验和松弛试验.首先分析了的蠕变与松弛特性,其次对参数非线性流变本构模型的建立和求解进行探讨,最后采用参数非线性流变方程对试验曲线进行拟合. 试验结果表明:结构面剪切蠕变曲线和松弛曲线都可以分为瞬时、衰减和稳定3个阶段;基于能量理论分析蠕变和松弛过程,显示蠕变是能量的注入与耗散过程,而松弛主要是能量的耗散过程;建立非线性流变模型时,应采用流变力学模型理论推导其本构方程;积分法与Laplace变换法求解蠕变方程或松弛方程时,相应的初始条件不相同;考虑黏性系数是与时间相关的非定常参数,提出了参数非线性Maxwell模型的蠕变方程和松弛方程,与试验曲线拟合结果比较理想;蠕变方程和松弛方程的拟合参数值不同,表明蠕变与松弛不等价且不能相互置换.
饱和软黏土路基中布袋注浆桩的挤土效应
李启月, 吴正宇, 张电吉
2018, 53(5): 1026-1032, 1047. doi:10.3969/j.issn.0258-2724.2018.05.020
摘要:
为研究饱和软黏土路基条件下布袋注浆桩的挤土效应,以布袋注浆桩加固某饱和软黏土路基工程为例,通过现场试验对桩体成型过程中的桩周土体位移和超静孔隙水压力进行了分析. 运用测斜管监测了成桩时桩周土体的水平位移,得到了土体位移的分布特征和土体位移随注浆压力与时间的变化规律;运用孔压计监测了成桩时桩周土体中超静孔隙水压力,得到了超静孔隙水压力的分布规律与变化趋势. 试验结果表明:成桩后,桩周土体水平位移呈现“马鞍形”分布,在距离地表0.1~0.3倍和0.8~1.0倍的桩长位置处出现最大位移;桩体成型挤土产生水平位移的范围约为桩径的6倍;桩体养护成型后,标准施工下的注浆压力对挤土效应的影响甚微,同时桩周土体水平位移会出现明显回弹,回弹位移值为注浆当天的40%~60%;超静孔隙水压力在前10 d消散较快,超静孔隙水压比随土体与桩体间距离的增加而呈现近似于线性规律的衰减,其影响范围约为10倍桩径.
粘土矿物成分与剪切强度的相关关系分析
王金淑, 王世明, 洪美玲, 李永志, 吴光, 李林, 张继龙
2018, 53(5): 1033-1038. doi:10.3969/j.issn.0258-2724.2018.05.021
摘要:
为探究矿物成分对土体强度的影响规律,对纯的粘土矿物进行扫描电镜和X射线衍射试验,确定其成分及微观组构. 对人工配制单一成分粘土,开展不同初始含水率状态下的直剪试验,分析了含水率对各单一矿物粘性土的粘聚力、内摩擦角的影响;对比不同粘土矿物人工配土抗剪强度随含水率变化规律,结合各单一矿物的微观组构特征,探讨了粘土矿物成分对剪切强度的影响. 研究结果表明:高岭石的粘聚力、内摩擦角均随含水率增大单调减小;伊利石和蒙脱石在含水率分别为18%和25%时出现粘聚力峰值;含水率小于20%时,蒙脱石内摩擦角随含水率增加呈线性增大;大于20%时,内摩擦角线性减小.
高速公路雾区多气候耦合段概率风险分析
李晓雷, 唐伯明, 宋强辉
2018, 53(5): 1039-1047. doi:10.3969/j.issn.0258-2724.2018.05.022
摘要:
高速公路雾区路段常伴随雨、冰、雪等复杂气候,综合考虑雾与雨、雪、冰等复杂因素耦合对高速公路事故风险评估具有重要意义. 引入“场”理论,构建高速公路雾区风险场模型,并基于模型对雾区多气候耦合路段的参数指标和道路风险进行分级研究. 首先,截取典型雾区路段进行栅格化分析,构建高速公路雾区风险场;然后引入PRA方法进行雾区风险场链式风险叠加分析,构建雾区风险场数值模型;最后以G5高速雅安至石棉段作为分析实例对模型进行验证,基于场理论给出了与当前国内气象预警分级相匹配的高速公路雾区耦合段风险分级指标,并将雾区路段的风险分级为四级,其中行车风险等级最高的为第1级.研究结果表明:场理论适用于多气候耦合的高速公路雾区段风险分析;高速公路雾区风险场是一种数量场和不稳定场,其不稳定性主要表现为雾区路段各气候参数的时变性;风险分级结果综合考虑了道路线形和环境特征以及基于时间变化的道路气候耦合特征,风险分级指标更符合基于时间动态变化的道路交通风险特性.
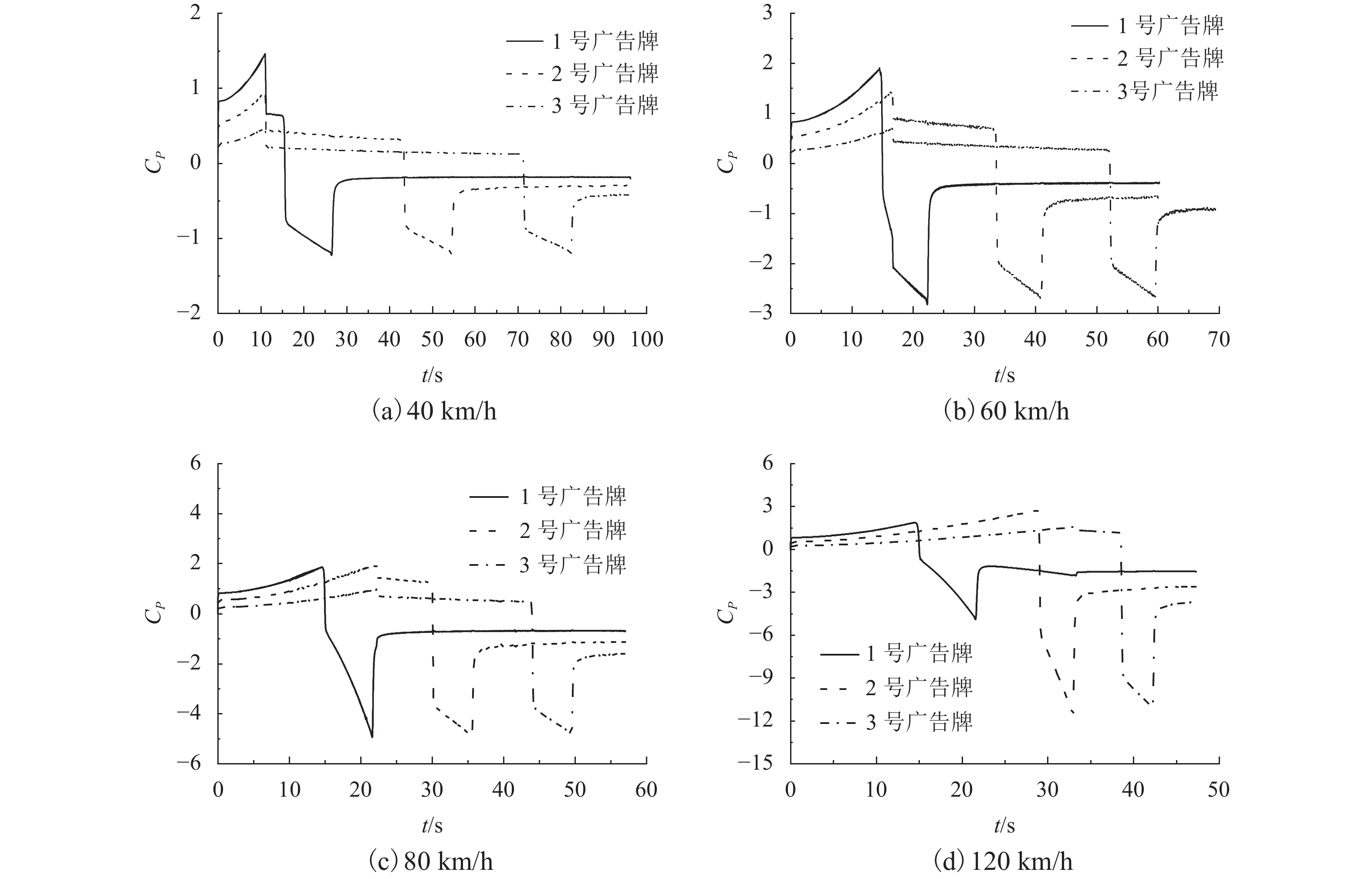
地铁隧道附属广告设施的活塞风作用时变特性
祝福, 余志祥, 曹瑞洲, 刘志祥
2018, 53(5): 1048-1057. doi:10.3969/j.issn.0258-2724.2018.05.023
摘要:
为了预测地铁隧道内由活塞风效应引起的广告牌表面风荷载的时变特性,采用计算流体动力学(computational fluid dynamics,CFD)开展了活塞风三维非稳态流动模拟. 基于用户自定义函数(user-defined functions,UDF)定义了列车运行控制与动网格控制程序,搭建了精度更高的活塞风模拟方法,并结合以往的实验与仿真,验证了方法的合理性. 在此基础上根据实际隧道断面建立了全尺寸动网格模型,考虑了不同运行速度下由列车运动引起的流场变化,重点关注地铁隧道内不同位置广告牌表面的静压变化. 研究结果表明,列车经过广告牌时表面静压由正变负,速度增加时会导致广告牌表面的静压显著增大,对于80 km/h的工况静压幅值能超过500 Pa;对于部分以120 km/h运行的地铁,静压幅值超过1 kPa.
基于信息理论的交通信息量度量
骆晨, 刘澜, 张玲
2018, 53(5): 1058-1064. doi:10.3969/j.issn.0258-2724.2018.05.024
摘要:
针对语音信息缺乏量化和指路标志信息度量未反应实际出行条件下路网规模的影响作用问题,引入信息理论,构建语音信息量度量模型和图像信息量度量模型. 设计包含23组不同信息量的实验路网,测定不同信息量下的驾驶员反应时间. 研究结果显示:交通信息总量为52.22、57.90 bit时,出现反应时间的区域峰值;信息总量在50.74~57.38 bit区间段时,利于驾驶员对交通信息的认知且不产生信息量过载的现象;标志信息量为45.1、49.7 bit时,语音信息量位于5.12~10.24 bit区间利于降低驾驶员反应时间;语音信息量为5.12 bit时,标志信息位于49.70~54.30 bit区间利于提高驾驶员对交通状况认知.
基于集群效应的独立式冷却模块气动特性研究
傅佳宏, 左强, 张旭方, 肖宝兰, 孙树礼, 陆倩倩, 张宇
2018, 53(5): 1065-1071. doi:10.3969/j.issn.0258-2724.2018.05.025
摘要:
为了研究独立式冷却模块中多热交换器气动特性之间的集群效应,以典型双热交换器工程机械独立式冷却模块为例进行试验与数值仿真研究. 采用多孔介质模型模拟热交换器,利用多重参考坐标系方法模拟风扇性能,建立4种不同热交换器布置方案下的独立式冷却模块数值模型,对比分析气动特性,并进行冷却模块气动性能试验;通过改变热交换器间面积比与厚度比,完成独立式冷却模块气动特性主动控制方法的数值仿真研究. 研究结果表明:独立式冷却模块气动特性上具有独特的集群效应,即当热交换器呈对置方式布置时,不论两者的倾斜角度如何,气动阻力都相等;数值仿真发现相比于面积比控制,当采用厚度比控制的主动控制策略时,改变独立式冷却模块热交换器之间的厚度比,流量比变化更为平缓,且受风扇转速的影响更小,并据此得到两热交换器之间冷却风量、气动阻力与结构参数之间的试验关联式.
基于车路协同的车辆定位算法研究
罗文慧, 董宝田, 王泽胜
2018, 53(5): 1072-1077, 1086. doi:10.3969/j.issn.0258-2724.2018.05.026
摘要:
为解决道路交叉口车辆由于定位信号缺失或者延迟引起的车辆定位偏差较大的问题,提出了基于车路协同的协同地图匹配算法(cooperative map-matching,CMM). 首先利用扩展Kalman滤波(extended Kalman filter,EKF)融合GPS与车载航位推算系统(vehicular dead reckoning,DR)信息作为协同地图匹配的预先定位;然后基于短程通讯技术实现车辆信息的交换与共享,在电子地图的基础上,利用道路约束实现车辆进一步定位. 为了验证算法的有效性,搭建了模拟真实场景的仿真环境进行实验. 研究结果表明:采用EKF融合GPS/DR数据的交叉口车辆定位平均偏差为9.09 m,相比GPS 的14.31 m,定位偏差减小30.87%;采用CMM算法的交叉口车辆,当参与CMM车辆数为7时,平均位置偏差为4.5 m,参与CMM车辆数为10辆时,平均位置偏差为2.75 m,相比EKF定位偏差减小69.74%.
一种应用于电动汽车的新型耦合机构优化设计
孙跃, 谭若兮, 唐春森, 王智慧, 代林
2018, 53(5): 1078-1086. doi:10.3969/j.issn.0258-2724.2018.05.027
摘要:
针对电动汽车无线充电应用,提出了一种凹凸型磁耦合机构,在减小磁芯体积的情况下实现了更好的耦合特性,提高了系统功率传输能力. 基于有限元理论,利用COMSOL电磁场仿真软件,建立了凹凸型耦合机构的有限元仿真模型,针对线圈两端凸起磁芯高度、线圈两端凸起磁芯长度配比、磁芯长度、磁芯长度与宽度之间的约束关系以及磁芯厚度等主要结构参数从互感及耦合系数等角度分别进行了分析和优化设计,并讨论了磁芯变薄后的磁饱和特性. 通过仿真和实验测试结果验证了所设计耦合机构的可行性及在磁场分布及耦合特性方面的优势,使得系统的输出功率和效率相对原条状磁芯结构分别提高了37%和10%.
太阳能-污水热泵沼液增温系统运行模式
郭沛, 马荣江, 余南阳
2018, 53(5): 1087-1094. doi:10.3969/j.issn.0258-2724.2018.05.028
摘要:
针对现有热泵沼液增温系统投资高、运行困难的缺陷,设计了一套太阳能-污水热泵沼液增温系统(solar and untreated sewage source heat pump system,SUSSHPS).该系统设定3种系统运行模式,分别为全年中温增温模式、全年高温增温模式和夏季高温增温、冬季中温增温模式,并从系统运行能耗、环保性、经济性与产气量最大化角度对各增温模式进行理论计算,同时,构建太阳能-污水热泵沼液增温系统运行模式综合评价体系,运用改进熵值法对评价指标进行综合赋权.研究结果表明,全年中温增温模式、全年高温增温模式和夏季高温增温-冬季中温增温模式的综合评价值分别为0.293 0、0.327 5和0.379 5,夏季高温增温-冬季中温增温模式是三者中最优的运行模式.
论文
我国铁路下一代移动通信系统制式及演进探讨
熊杰
2018, 53(5): 879-885. doi:10.3969/j.issn.0258-2724.2018.05.001
摘要:
目前我国既有第二代移动通信系统产业链已表现出萎缩趋势,及时完成铁路下一代移动通信技术应用准备,对促进我国铁路移动通信系统发展具有重要意义.本文阐述了发展我国铁路下一代移动通信系统的迫切性,对当前主流宽带移动通信系统的发展现状进行了分析,结合我国铁路主要应用场景业务需求特点,对第4代及第5代移动通信技术在铁路应用的适用性进行了分析.提出在试验验证基础上抓紧申请铁路适用频率,建议铁路正线采用以3GPP(third generation partnership project)LTE(long-term evolution)为基础的集群通信系统并采用3GPP组呼方案,在站场及枢纽地区可采用包括第5代移动通信技术(5G)在内的多种通信技术.提出结合现场高速试验、开展技术及装备研究/制,研究制订相应技术标准体系,研究第5代移动通信等新技术在铁路的工程应用.
Baidu
map