• ISSN 0258-2724
  • CN 51-1277/U
  • EI Compendex
  • Scopus 收录
  • 全国中文核心期刊
  • 中国科技论文统计源期刊
  • 中国科学引文数据库来源期刊

2021年 第56卷 第5期

显示方式:
大规模道路交通数据网络轻量化可视化方法
朱军, 吴思豪, 张昀昊, 黄华平, 郭煜坤, 陈逸东, 李维炼
2021, 56(5): 905-912. doi:10.3969/j.issn.0258-2724.20200107
摘要:
为提高网络环境下大规模道路交通数据动态可视化效率,提出一种在网络环境下使用流光线表达交通态势的轻量化可视化方法. 首先,提出顾及道路属性的路网分层组织方法,并绘制在不同视角高度下的道路;然后,提出基于WebGL (Web graghics library)技术线段索引特点的多道路合并方法,并结合视域剔除以及多线程技术对场景进行优化,设计实现了支持道路拥堵状态实时变换的渐变、动态流光线等动画效果;最后,研发了原型系统,并以全国道路网数据为例进行案例实验与分析. 实验结果表明:在网络环境下进行大规模道路交通数据动态可视化,本文方法可视化帧率稳定在40帧/秒以上,相较于百度ECharts GL可视化方法提高了20~30帧/秒.
桥形标复杂度对驾驶人脑电认知特性的影响机理
李雪玮, 赵晓华, 黄利华, 荣建
2021, 56(5): 913-920. doi:10.3969/j.issn.0258-2724.20200109
摘要:
桥形标设计应用缺乏规范性,复杂桥形标影响驾驶人认读,进而影响通行效率及交通安全. 为明确桥形标复杂度对驾驶人认知加工的影响规律,借助Oddball范式针对不同复杂度桥形标开展脑电认知实验;综合考虑驾驶人的认读行为及脑电特性,提取认读时间、目的地寻找正确比例、脑电事件相关电位(event-related potential,ERP)中早期注意电位N100及认知电位P300 4个主要分析指标;采用重复测量方差分析量化桥形标复杂度对驾驶人认知过程及脑电特性的影响. 结果表明:随着桥形标复杂度的增加,驾驶人认读时间增长,目的地寻找正确比例降低;同时,诱发N100平均振幅、峰值更多地呈现负向偏移,P300平均振幅正向偏移增大,即驾驶人早期注意分配增加,早期注意时间滞后,认知难度增加;靶刺激与标准刺激的相对差异性越大,P300潜伏期越短,越容易与标准刺激低等复杂度桥形标辨别.
城市轨道交通故障下客流分布计算及评估方法
刘峰博, 周庭梁, 王小敏
2021, 56(5): 921-927, 966. doi:10.3969/j.issn.0258-2724.20200602
摘要:
为了精细化掌握城市轨道交通故障对乘客出行的影响,对等车、上车和下车过程的客流与列车交互状态进行抽象,建立了站台等待乘客、车内乘客等客流分布数据的计算方法,设计了动态客流仿真算法及乘客服务水平评估指标. 以实际线路为背景,以正常运营场景为参照,计算和评估了故障场景下的客流时空分布,分析了乘客等待时间对列车和站台上客流分布及出行时间的影响. 算例结果表明:具体故障下乘客多等待能通过避免离开而减少部分出行时间,但与正常场景相比,列车满载率高、站台人数多的现象增多;最大等待时间15 min与9 min相比,离开人数减少77.0%,带惩罚的总旅行时间降低超过10.0%,留乘发生率一样,但最大留乘人数增加94.1%,最大等待人数增加29.6%.
基于手机信令数据的出行端点识别效果评估
杨飞, 姜海航, 姚振兴, 刘好德
2021, 56(5): 928-936. doi:10.3969/j.issn.0258-2724.20200086
摘要:
为了研究利用手机信令数据识别个体出行端点的应用效果,开展实地采集手机信令数据的出行试验,且同步采集相应的GPS轨迹数据和出行日志作为算法评估的真实数据,提出出行端点识别的3阶段处理算法. 首先,提出等时距补点算法平衡各信令定位点的时间权重;然后,利用凝聚层次聚类算法将定位点聚类成不同的类簇;最后,针对已有研究中缺乏关注的类簇震荡现象,提出新的震荡修正算法对聚类结果做进一步优化. 案例结果表明:本文提出的方法对出行端点识别的精度、距离误差和时间误差上均有较好的效果,出行端点识别个数的精度在84%以上,端点位置识别距离平均误差在220 m以内,出行端点的离开和到达时间的平均误差分别为7.7 min 和5.3 min;在不同的出行目的的比较中,以工作为目的的端点识别效果最好,以娱乐购物为目的的端点识别效果相对较差.
地铁正线40.0‰最大坡度对行车特性的影响
王仲林, 曾勇, 易思蓉
2021, 56(5): 937-944. doi:10.3969/j.issn.0258-2724.20200025
摘要:
地铁线路穿越山岭或跨江渡河时,适当提高正线最大坡度标准有利于减少建设成本、降低设计和施工难度. 为了研究地铁正线40.0‰ 最大坡度取值的可行性,结合苏州市轨道交通8号线车线系统特点,采用理论分析、列车纵向动力学、车辆-线路系统动力学以及有限元等方法,从动车功率、列车起动与制动能力、故障列车救援、列车运行状态与动力特性、轨道力学特性等方面分析了地铁正线40.0‰ 最大坡度对行车特性的影响. 研究结果表明:当采用4动2拖B2型车时,地铁正线最大坡度值可采用40.0‰;列车通过40.0‰ 大坡道地段时,行车安全性、平稳性、列车起动制动以及故障救援能力均能满足要求;钢轨所受最大应力仅为容许应力的37%,纵向最大位移值仅为0.443 mm.
温梯荷载下桥上CRTS型板式无砟轨道的力学特性
张鹏飞, 涂建, 桂昊, 雷晓燕, 刘林芽
2021, 56(5): 945-952. doi:10.3969/j.issn.0258-2724.20200244
摘要:
为研究横向和竖向温度梯度对桥上CRTSⅡ型板式无砟轨道纵向力学特性的影响,以梁-板-轨相互作用原理为基础,建立大跨度连续梁桥上 CRTSⅡ型板式无砟轨道无缝线路空间精细化有限元模型,计算了轨道板竖向温度梯度和阴阳面横向温度梯度荷载作用下各轨道和桥梁结构的纵向力和位移. 结果表明:在其他温度荷载相同的情况下,轨道板竖向温度梯度对钢轨的纵向力和位移影响不大;当阴阳面横向温度差为10 ℃时,连续梁上背阴侧钢轨最大的纵向力是向阳侧的1.4倍,背阴侧桥墩最大的纵向力是向阳侧的3.5倍;在横向温度梯度作用下,钢轨纵向附加力由梁体伸缩和扭曲变形共同作用产生,横向温度梯度越大,背阴侧钢轨纵向力、位移最大值越大,向阳侧钢轨纵向力、位移最大值越小;横向和竖向温度梯度的存在不利于轨道和桥梁结构安全使用,因此,在高温差地区设计东西走向的大跨度桥上无缝线路需重点关注钢轨、轨道板和桥梁墩顶受力,并且对无缝线路的横向稳定性进行验算.
基于三参数区间泛灰数的技术站能力表示与估计方法
薛锋, 袁野, 户佐安, 白瑞
2021, 56(5): 953-959. doi:10.3969/j.issn.0258-2724.20190982
摘要:
铁路技术站能力是衡量其运输生产效能的重要指标,为了体现能力的伸缩性并提高能力测定的精度,分析了三参数区间与泛灰数应用于能力表示的适用性,通过三参数区间保证能力上下界的取值范围,引入泛灰数来降低能力运算可能带来的区间扩张,并根据作业系统的状态界定了收缩、平衡和松弛3种能力. 通过多种区间估计方法的比对,采用JAB (Jackknife-after-Bootstrap)区间估计方法对铁路技术站能力的伸缩范围进行测定. 郑州北编组站的实例分析表明:相较于原有的能力定值表示方法,基于三参数区间泛灰数的能力表示与估计方法测定的区间宽度更小,区间位置更加精确,当置信水平为95%时,置信区间为[9.6933,10.2043],区间宽度为0.511;当置信水平为90%时,置信区间为[9.7358,10.1653],区间宽度为0.429;郑州北站通过能力的收缩度为0.99,松弛度为1.01,改编能力的收缩度为0.94,松弛度为1.07,说明能力测定结果呈现一定的松弛和收缩现象.
反射隔热涂料对轨道板温度及应力的影响
冀磊, 王鑫, 周燚杭, 周干, 赵静存, 程永红, 孙知远
2021, 56(5): 960-966. doi:10.3969/j.issn.0258-2724.20200006
摘要:
为了降低无砟轨道板板温及板内应力,缓解夏季高温期无砟轨道胀板导致的各类病害,使用钛白粉、玻璃微珠等组份配置了一种无砟轨道用反射隔热涂料;探究了各组份使用量的合理性,并在红外光及自然光下测试了其降温性能;分析了轨道板板表及内部温度差对轨道板内部应力的影响. 研究结果表明:该种涂料可在夏季高温期降低轨道板板表温度最高达16 ℃,可使轨道板板表与180 mm深处温度差由24 ℃下降至12 ℃,降幅约50%,并可有效降低轨道板应力0.4 MPa;该种涂料可有效降低因温度应力产生的各种轨道病害风险.
基于Kriging算法的压气机健康参数主从式插值建模
曾力, 陈仁祥, 董绍江
2021, 56(5): 967-972. doi:10.3969/j.issn.0258-2724.20191118
摘要:
针对航空燃气轮机压气机数字化建模过程中由于缺少压气机流量系数导致模型精度偏低的问题,基于Kriging插值算法构造了面向压气机流量系数估计的主从式建模方法,分析了高维空间下对应于不同压气机换算转速的流量系数分布特征;基于流量系数的特征提取方法探索了流量系数、换算转速、增压比之间的映射关系,并提出了关于这三类参数的多维样本向量构造方法;基于Kriging算法建立了适用于燃气轮机过渡工况下压气机流量系数主从式插值模型. 研究结果表明:与传统的Kriging插值方法及牛顿插值法相比,基于主从式模型的流量系数计算结果更接近实际值,计算精度提高了近10%;主模型可输出流量系数的估值向量,插值效率相比传统Kriging模型提高了近15%.
基于物元-阴性选择算法的轴箱轴承故障检测
赵聪聪, 刘玉梅, 赵颖慧, 白杨
2021, 56(5): 973-980. doi:10.3969/j.issn.0258-2724.20191103
摘要:
针对高速列车轴箱轴承故障数据获取困难的问题,提出了一种无需先验知识的利用物元和阴性选择算法进行轴承故障检测的方法. 首先利用多维物元构建阴性选择算法的检测器模型,以检测器与训练样本之间的综合关联度作为匹配规则,并在综合关联度约束范围内引入控制参数,实现检测器对非己空间的更大覆盖;其次,根据匹配规则和控制参数构建适应度函数,采用粒子群优化算法生成候选检测器,分析控制参数对检测器生成和粒子群优化算法收敛速度的影响;此外,为降低候选检测器集合的冗余度,基于关联度提出了检测器特征参数区间的合并规则,将成熟检测器个数降低至18个;最后,通过信号模拟方法生成轴箱轴承的各类故障信号,建立100组测试样本,并利用18个成熟检测器进行故障检测. 研究结果表明:成熟检测器对不同类轴承故障均具有较好的检测性能,正常样本的检测器激活率为1.11%,故障样本的检测器激活率不低于96.67%.
多人共站第一类混流装配线平衡问题的优化
杨武成, 程文明
2021, 56(5): 981-988. doi:10.3969/j.issn.0258-2724.20191135
摘要:
针对使用传统模型和算法求解第一类多人共站混流装配线的平衡问题,兼顾工作站数、工人数和工作站负荷均衡,引入了新变量和不对称约束来构建新的数学模型. 提出了一种改进的鸡群算法,使用基于优先权值的编码方式在解码过程中优先选择能最早开始作业的工人来减少序列相关空闲时间,设定工位分配接受准则来分配工人数量以减少工位平均空闲时间;根据适应值大小将种群分为3个不同的群体来实现系统的有效搜索,其中,公鸡群个体基于其适应值差异在不同大小的邻域范围内搜索,母鸡群个体基于适应值相关的参数分别向所归属的公鸡或者其他公鸡/母鸡方向搜索,小鸡群个体则向其归属的母鸡方向搜索;最后将新模型和改进的鸡群算法用于求解标杆算例. 研究结果表明:在算例验证中,对比传统的模型,新模型多找出8个算例的最优解,且寻优速度更快;在算法平均收敛运算时间相似的情况下,本文所提算法求得的平均工人数、工位数以及平滑指标系数等评价指标分别提高了10.74%、16.05%和44.89%,验证了所提模型和算法的有效性和优越性.
群智协同设计活动复杂性的度量模型及方法
郑庆, 丁国富
2021, 56(5): 989-994, 1010. doi:10.3969/j.issn.0258-2724.20200238
摘要:
群智创新通过网络社区聚集企业外部大规模设计资源参与产品创新设计,成为互联网环境下企业拓展设计能力、解决设计难题、实现转型升级的重要方式. 针对群智协同设计活动的复杂性难以定量描述,导致互联网社区中设计活动的发布、推送和动态调整缺乏量化依据等问题,提出一种基于信息熵的群智协同设计活动复杂性度量方法. 通过分析互联网社区中群智协同设计过程特点、用户角色和能力特点,从过程复杂性、问题复杂性、可解复杂性3个维度建立群智协同设计活动复杂性度量模型,采用信息熵理论实现复杂性的量化分析;最后以Local Motors社区LM SF-01项目中的悬架设计活动为例,计算该设计活动3个维度的复杂性分别为318.15、477.66、134.46 bit,根据项目特点采用加权的方式得到其统一复杂性为331.76 bit,验证了该复杂性度量模型和方法的可行性和有效性.
基于神经网络的数据挖掘模型在吸能装置上的应用
车全伟, 雷成, 李玉如, 朱涛, 唐兆, 姚曙光
2021, 56(5): 995-1001. doi:10.3969/j.issn.0258-2724.20200266
摘要:
针对传统有限元分析方法对机车车辆结构耐撞性计算效率低的问题,在已有仿真分析数据基础上,引入机器学习方法,对车辆关键结构的耐撞性以及碰撞安全性进行分析预测. 首先,建立基于神经网络的数据挖掘模型,在此基础上构建车辆关键结构的碰撞响应预测方法;其次,通过试验验证了防爬吸能装置有限元模型的正确性,以此模型为基础获得不同壁厚防爬吸能装置的碰撞响应仿真数据;然后,以吸能装置壁厚作为模型输入,不同壁厚所对应的位移、速度、界面力和内能等碰撞响应作为模型输出,将有限元仿真数据用于模型训练,优化后的数据挖掘模型的拟合优度在0.922以上;最后,为验证模型预测的准确性,将碰撞数学模型的预测结果与有限元仿真结果进行对比,速度、位移、界面力和内能的平均相对误差分别为7.10%、4.51%、6.20%和2.50%. 研究结果表明:基于神经网络构建的数据挖掘模型在保证精度的情况下,能很好地反映防爬吸能装置的碰撞特性,大幅降低了计算时间,提高了计算效率.
多尺度注意力学习的Faster R-CNN口罩人脸检测模型
李泽琛, 李恒超, 胡文帅, 杨金玉, 华泽玺
2021, 56(5): 1002-1010. doi:10.3969/j.issn.0258-2724.20210017
摘要:
针对在佩戴口罩等有遮挡条件下的人脸检测问题,提出了多尺度注意力学习的Faster R-CNN (MSAF R-CNN)人脸检测模型. 首先,为充分考虑人脸目标多尺度信息,相较于原始Faster R-CNN框架,引入Res2Net分组残差结构,获取更细粒度的特征表征;其次,基于空间-通道注意力结构改进的Res2Net模块,结合注意力机制自适应学习目标不同尺度特征;最后,为学习目标的全局信息并减轻过拟合现象,在模型顶端嵌入加权空间金字塔池化网络,采用由粗到细的方式进行特征尺度划分. 在AIZOO和FMDD两个人脸数据集上的实验结果表明:所提出MSAF R-CNN模型对佩戴口罩的人脸检测准确率分别达到90.37%和90.11%,验证了模型的可行性和有效性.
乙丙橡胶电缆终端气隙局部放电过程及特征提取
郭蕾, 曹伟东, 白龙雷, 邢立勐, 项恩新, 周利军
2021, 56(5): 1011-1019, 1028. doi:10.3969/j.issn.0258-2724.20200157
摘要:
高速列车乙丙橡胶(ethylene propylene rubber,EPR)电缆终端由于制作、安装不规范,导致终端内部出现气隙,气隙部位的局部放电将严重影响高速列车的正常运行. 为了分析气隙缺陷下25 kV乙丙橡胶电缆的局部放电过程及特性,制作了含气隙缺陷的电缆试样,测量了试样自起始放电至击穿全过程的放电参量及局部放电相位(phase resolved partial discharge,PRPD)谱图发展过程,并基于Gaussian金字塔与灰度共生矩阵的方法对放电全过程的PRPD谱图进行了特征提取. 研究表明:根据放电参量的变化规律,可将整个放电过程分为放电发展阶段、放电持续阶段、临近击穿阶段;基于各阶段的PRPD谱图呈现的不同形貌,使用多尺度的灰度共生矩阵方法提取出的角二阶矩、熵、对比度等特征可用于放电阶段的表征.
基于MCD-AHP的预装式变电站城市化属性指标评价
王峰, 刘波峰, 柴淑颖, 王丹璐
2021, 56(5): 1020-1028. doi:10.3969/j.issn.0258-2724.20200172
摘要:
为提高城市轨道交通预装式变电站建设的城市化属性效果,需要对其城市化属性指标做出准确评价. 首先,构建了包含经济属性、社会属性、节能属性3类指标的预装式变电站城市化属性指标评价体系,并给出了评价指标的量化模型;然后,引入最小协方差行列式 (minimum covariance determinant,MCD)稳健分析法对层次分析法 (analytic hierarchy process,AHP)中专家组所给出的判断矩阵进行检测,去除由于专家组成员之间主观认知的差异性而产生的离群矩阵;最后,应用改进后的层次分析法(MCD-AHP)对预装式变电站城市化属性指标权重进行计算并评价. 结果表明:去除离群矩阵样本后,上、下限矩阵计算所得指标权重差值的绝对值为0~0.0103、相对变化比率为0~9.31%,明显优于全样本状态下权重差值的绝对值率0.0138~0.1355和相对变化比15.99%~106.23%,该方法可有效提高判断矩阵的逻辑一致性和权重值的聚合性.
城市轨道交通靴轨关系的安全测试评估方法
靳守杰, 李鲲鹏, 占栋, 万永胜, 钟尉, 冯超
2021, 56(5): 1029-1034. doi:10.3969/j.issn.0258-2724.20200075
摘要:
为实现城市轨道交通初期运营前靴轨关系的安全评估,采用激光摄像、紫外光电传感、光纤光栅应变传感技术对接触轨动态几何参数、靴轨燃弧、靴轨动态接触力、集电靴硬点进行检测. 根据各项检测参数的特征分别确定各参数评定标准;选择接触轨工作高度、接触轨偏移值、靴轨燃弧率和靴轨动态接触力4项检测参数,采用Topsis评价方法构建接触轨质量指数评价函数;基于各参数评定标准和质量指数评价函数提出一套城市轨道交通初期运营前靴轨关系安全评估方法;利用运营车靴轨关系检测装置对广州地铁21号线镇龙西—员村段进行了全线数据检测. 研究结果表明:全线接触轨动态几何参数与设计值偏离均不超过 ± 5 mm,最大燃弧时间为53 ms,最大燃弧率为0.025%,区间平均接触力最大值和最小值分别为135.6 、119.8 N,集电靴硬点最大为29.8 g,全线质量指数评分 大于 92.89分.
地下结构抗震分析中基床系数取值试验研究
徐琨鹏, 景立平, 宾佳, 程新俊, 梁海安
2021, 56(5): 1035-1042. doi:10.3969/j.issn.0258-2724.20191073
摘要:
在对地下结构进行抗震分析时,基床系数的准确性直接决定了反应位移法的计算精度. 针对基床系数相关研究的不足,提出了一种拟静力试验法,自主研发了大型拟静力模型箱,围绕砂土场地开展了有无轴压两组试验;在此基础上,提出了基床系数沿深度修正法,并进行了算例验证. 结果表明:水平基床系数随推覆水平的增大而减小,随土层深度的增大而增大;附加应力对基床系数取值存在较大影响;采用修正基床系数可显著提高反应位移法的计算精度,较规范中基床系数静力有限元法,地下结构弯矩误差最大可由16.7%降低至9.1%,顶底板相对位移的计算误差可由35.0%降低至18.8%,验证了该新型室内基床系数测试方法的可行性及基床系数沿深度修正法的合理性.
砌体剪压复合强度的试验研究
信任, 王美瑶, 王庆霖, 王燕
2021, 56(5): 1043-1049. doi:10.3969/j.issn.0258-2724.20190444
摘要:
为避免现有砌体结构剪压复合作用下较为繁琐的双向控制强度测试模式,采用一种以单向加载替代传统双向加载的改进试验装置,借助试件角度旋转获取了不同应力比下砌体剪切滑移破坏、受拉破坏、受压破坏3种破坏形态;通过数值分析对试验现象进行对比验证,揭示了不同剪压复合应力状态下砌体抗剪强度的破坏规律;以0.2和0.6为界限采用三段式剪压相关曲线构建出不同应力条件下剪压复合强度破坏准则,以0.2为界限提出了砌体剪压复合受力状态下材料应力应变关系. 结果表明:改进试验方法简捷高效误差小,理论计算与试验结果之比的均值为1.07,变异系数为0.180;试验结果丰富了砌体材料本构关系,可为砌体结构破坏准则的完善与数值分析模型的构建提供理论依据.
风屏障的突风效应对桥上列车走行性的影响
徐昕宇, 李永乐, 陈星宇, 郑晓龙, 廖海黎
2021, 56(5): 1050-1055, 1093. doi:10.3969/j.issn.0258-2724.20191201
摘要:
为研究列车进出风屏障段时所受突风效应的影响,以一高速铁路多跨简支梁桥为研究对象,通过风洞试验测试了风屏障在100.0%、43.5%和0透风率情况下车-桥系统的气动特性;基于哑元耦合法,建立了风-车-桥系统分析模型,开展了两种风屏障布置形式(通长和非通长)时风屏障透风率和列车车速对列车动力响应的影响分析. 研究结果表明:设置风屏障时桥上列车的气动特性存在较大差异,尤其列车气动阻力系数在风屏障透风率0比透风率100.0%时减少87%;当风屏障通长布置时,风屏障防风效果显著,随着透风率的减小,列车动力响应大幅减小,其中轮重减载率减小达53%;当风屏障非通长布置情况时,列车在进入和离开风屏障区段时,突风效应对列车的横向加速度和竖向加速度均影响显著,透风率越低,加速度响应变化越剧烈,但对于轮轴横向力和轮重减载率的影响有限;随着车速的提高,突风效应造成的加速度响应总体上增大,呈明显的非线性变化.
桥隧过渡段高速列车行车抗风安全分析
何佳骏, 向活跃, 龙俊廷, 李永乐
2021, 56(5): 1056-1064. doi:10.3969/j.issn.0258-2724.20190623
摘要:
列车由隧道驶上桥梁时会承受突变的风荷载,列车的响应发生突变,导致列车的行车安全受到威胁. 以某客运专线桥隧过渡段为研究背景,通过计算流体动力学 (CFD) 数值模拟和车桥耦合振动分析,计算了CRH3型列车通过桥隧过渡段时受到的气动力及车辆响应;对比分析了头车、中间车及尾车的气动力及列车响应,研究了大风攻角对列车气动力及行车响应的影响,探讨了最不利的安全指标. 研究结果表明:越靠近车头的车体,气动力突变与列车响应越大;相比0° 攻角,正风攻角对行车相对有利,+7° 的风攻角下列车受到的气动阻力和力矩减小了约10%;负风攻角会增大列车的气动力突变效应和行车响应,−7° 风攻角下列车受到的气动阻力和力矩增加了约10%;风速在22.5 m/s以下时,CRH3列车能够以200 km/h的车速安全通过桥隧过渡段;20 m/s风速时,车速在325 km/h以下时列车能够安全通过桥隧过渡段;随着车速与风速的增加,轮轴横向力是首先超限的安全性指标.
粉煤灰基地聚物混凝土的耐久性研究新进展
赵人达, 杨世玉, 贾文涛, 曾宪帅, 靳贺松, 李福海
2021, 56(5): 1065-1074. doi:10.3969/j.issn.0258-2724.20190993
摘要:
地聚物是近10余年来国际上研究非常活跃的一种新型化学激发胶凝材料,可能成为大量取代水泥的绿色胶凝材料. 针对碱激发粉煤灰(AAFA)地聚物的耐久性问题,分别从抗碳化性能、抗冻融性能、抗氯离子渗透性能、抗酸和抗硫酸盐侵蚀能力及抗风化性能等方面对AAFA地聚物混凝土的国内外研究现状进行了系统的整理与分析. 结果表明:1) AAFA混凝土的抗碳化能力不如水泥混凝土(OPC)的,碳化后的地聚物的孔隙率增加,力学性能下降,热固化、添加Ca(OH)2、OPC、矿渣粉和纳米TiO2等可以改善AAFA混凝土的抗碳化性;2) AAFA混凝土的抗冻融性能较OPC的低,添加矿渣、偏高岭土等可以提高AAFA混凝土的抗冻融性能;3) AAFA混凝土的氯离子渗透率较高,掺入矿渣粉、降低液固比、高温固化及延长固化时间可以增强AAFA混凝土的抗渗透性;4) AAFA混凝土的抗硫酸、盐酸、硝酸、乙酸及硫酸盐的能力较强,吸水率较低;5) AAFA混凝土的抗风化能力较差. 延长热固化时间,掺入富铝添加剂、降低目标钠与铝的摩尔比、减少地聚物的含水量、添加纳米SiO2和硅烷表面改性都可以增强AAFA混凝土的抗风化性能.
跨断层桥梁抗震综述
贾宏宇, 杨健, 郑史雄, 赵灿晖, 杜修力
2021, 56(5): 1075-1093. doi:10.3969/j.issn.0258-2724.20200162
摘要:
在交通强国战略深入推进的时代背景下,中国公路、铁路网的发展使得跨越断层修建桥梁不可避免,川藏铁路的规划、设计和修建更让这个问题日益突出. 同时,公路和铁路抗震规范采用避让断层造桥的规定与无法避让造桥的实际情况之间的矛盾也日渐凸显. 在地震作用下跨越活动断层的桥梁比非跨越断层桥梁具有更复杂的受力特点、破坏形式和破坏机理,我国对跨断层桥梁的研究尚处于起步阶段,可供参考的相关文献资料、工程实例以及抗震设计规范缺乏. 为了确保跨断层桥梁的安全性,基于国内外对跨断层桥梁的研究现状,归纳总结了活动断层特征、断层处地震动、跨断层桥梁的破坏特征、跨断层桥梁分析方法以及跨断层桥梁概念设计措施. 梳理了当前跨越断层桥梁抗震存在的问题,并对未来跨断层桥梁的研究进行了展望,指出断层地震空间性、跨断层桥梁破坏机理、多灾害对跨断层桥梁的影响、跨断层桥梁快速抢修技术和人工智能技术在跨断层桥梁抗震中的应用将是未来发展方向,为未来跨断层桥梁抗震设计、性能评估和规范拟订提供参考.
自攻锚栓极限抗拉承载力计算方法
陈昭, 文涛, 吴昊南, 李福海
2021, 56(5): 1094-1099. doi:10.3969/j.issn.0258-2724.20200404
摘要:
自攻锚栓是一类具有装卸方便快速、施工可调性好、临界边界距离短等优点的混凝土后锚固机械锚栓,近年来得到了越来越多的工程应用. 为保证自攻锚栓承载力符合要求及所锚固结构的安全性,需对其受拉时不同破坏模式对应的极限抗拉承载力进行严格的计算和设计. 目前国内外对自攻锚栓承载力方面的相关研究均较少,对其受拉破坏机理的研究更是缺乏,使设计者仅通过厂家提供个别设计值对锚栓承载力进行估算和设计,不能准确计算理论承载力值. 为了促进对自攻锚栓受拉拔破坏机理及其极限抗拉承载力计算的进一步研究,本文系统地总结了自攻锚栓在受外部静拉力荷载作用下锚栓拉断破坏、混凝土锥体破坏与组合破坏模式的形成机理,指出锚栓极限抗拉承载力及破坏模式与锚固深度的对应关系;详细介绍并分析了针对自攻锚栓各破坏模式的极限抗拉承载力预测模型;重点讨论了有关组合破坏模式极限抗拉承载力预测模型的研究现状,并展望了对其进一步验证及改进的必要性;最后描述了现有锚栓群组、间距、边距效应的计算方法,指出了对自攻锚栓在该领域研究的需求.
单元板式轨道脱空伤损识别的柔度曲率特征值法
赵坪锐, 徐天赐, 刘卫星, 屈超广, 毕澜潇, 丁晨旭
2021, 56(5): 1100-1108, 1124. doi:10.3969/j.issn.0258-2724.20191149
摘要:
为了实现对CRTS Ⅲ板式无砟轨道结构中轨道板板底脱空伤损的识别和定位,首先通过轨道结构模型的模态分析,获取其结构的柔度矩阵,结合高斯曲率和降噪数据处理构建柔度曲率特征值矩阵,利用非伤损区域内反映不规则突起对伤损定位影响的准确性指标和反映识别伤损范围的有效性指标得到合理的测点密度,最后建立多种伤损工况,研究该指标识别的应用范围. 研究结果表明:已脱空轨道板的柔度曲率特征值在伤损区域内存在明显突起,且峰值位置与伤损区域中心吻合,可在无基准参数下有效识别CRTS Ⅰ及CRTS Ⅲ型两种材料性能不同的单元板式轨道板底的隐蔽伤损;针对板底大于0.4 m × 0.4 m的脱空伤损,采用测点密度为0.2 m时有利于降低噪声对伤损定位准确性的影响,提高伤损范围识别的有效性;当轨道板底伤损区域边长大于0.3 m时,可利用柔度曲率特征值进行伤损识别和定位;轨道板柔度曲率最大绝对值随脱空尺寸变大而增加,二者基本呈线性关系,结合柔度曲率特征值的可视化图形可进行伤损面积识别.
半刚性基层沥青路面结构高速弯沉仪应用误差
吴朝阳, 蒋鑫
2021, 56(5): 1109-1115. doi:10.3969/j.issn.0258-2724.20200247
摘要:
为评估高速弯沉仪在半刚性基层沥青路面结构中的适用性,采用2.5D有限元方法建立高速弯沉仪移动荷载作用下路面结构数值模型,并评估其应用误差. 首先,利用两个前人研究成果验证2.5D有限元程序的可靠性;其次,对比了常用式、全厚式和半刚性基层3种典型沥青路面结构的弯沉斜率曲线,并总结了弯沉斜率特征;最后,针对半刚性基层沥青路面结构的高速弯沉仪应用误差予以评估. 研究结果表明:半刚性基层沥青路面结构弯沉斜率曲线存在多个峰值点;高速弯沉仪应用于半刚性基层沥青路面结构时,参照传感器读数不为0,将其应用于典型半刚性基层沥青路面结构时,因参照传感器误差引起的弯沉误差高达87.3%;为保证工程测试精度,高速弯沉仪应用于半刚性基层沥青路面结构时宜延长横梁长度至8.0 m.
开挖方法影响下的深埋隧道形变压力计算方法
王明年, 王志龙, 桂登斌, 张霄, 赵思光, 童建军, 刘大刚
2021, 56(5): 1116-1124. doi:10.3969/j.issn.0258-2724.20191124
摘要:
为了研究开挖方法对围岩形变压力的影响,采用理论分析、文献调研及现场测试方法明确了其对围岩形变压力的影响规律;根据相应变化规律,基于多元非线性回归方法,考虑围岩级别、隧道跨度及隧道开挖方法因素建立了围岩形变压力定量计算公式;对54座隧道的205个实测形变压力断面数据(108个大型机械化配套大断面开挖施工监测断面、97个常规分部开挖施工监测断面)进行分析.结果表明:采用大型机械化大断面开挖方法,隧道开挖后围岩稳定,所产生的围岩形变压力小;采用常规机械化分部法开挖方法,所产生的围岩形变压力大;围岩形变压力计算公式中开挖方法影响系数kc的取值范围为1.00~1.15,且围岩级别越大,kc取值越大,开挖方法对围岩所产生形变压力的影响越明显.
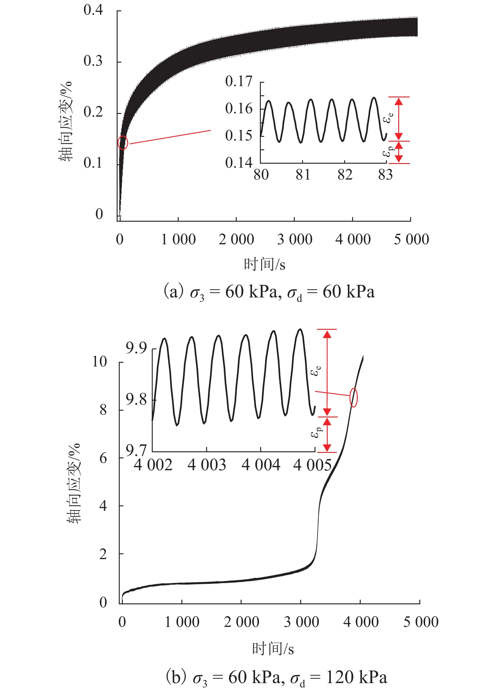
考虑时间间歇效应的粉土动力特性
聂如松, 董俊利, 梅慧浩, 冷伍明, 李亚峰, 程龙虎
2021, 56(5): 1125-1134. doi:10.3969/j.issn.0258-2724.20190642
摘要:
列车荷载是揭示路基真实动力响应特性的前提,以往的动三轴试验将列车荷载视为连续动荷载,忽略了追踪列车间隔时间对路基土体动力特性的影响. 利用室内动三轴仪对粉土开展了连续加载和间歇加载(连续加载与间歇交替循环)的动三轴试验,分析了两种加载方式下粉土超孔隙水压力、回弹模量、累积塑性应变等的发展规律. 研究结果表明:持续动荷载作用下累积的超孔隙水压力在间歇阶段会发生消散,轴向应变在间歇阶段得到一定程度恢复,进而提高了试样抵抗变形的能力;室内动三轴试验忽略间歇效应将高估列车动荷载作用下试样超孔压和塑性应变的累积量及发生破坏的可能性;间歇加载下试样的永久变形行为可依据安定理论划分为塑性安定、塑性蠕变和增量破坏.
Baidu
map