• ISSN 0258-2724
  • CN 51-1277/U
  • EI Compendex
  • Scopus 收录
  • 全国中文核心期刊
  • 中国科技论文统计源期刊
  • 中国科学引文数据库来源期刊

2025年 第60卷 第2期

显示方式:
基于剪压强度准则的UHPC键齿接缝抗剪承载力
徐略勤, 徐意宏, 陈亮, 江林松, 周建庭
2025, 60(2): 253-261. doi:10.3969/j.issn.0258-2724.20230042
摘要:

为探明超高性能混凝土(UHPC)键齿接缝的抗剪承载力及其计算方法,以接缝类型、侧压应力为参数开展5个UHPC键齿接缝和1个UHPC平接缝的足尺模型试验,研究UHPC接缝试件的破坏模式和抗剪承载力变化规律;基于混凝土剪压强度准则,采用八面体应力公式推导UHPC键齿接缝的抗剪承载力计算公式,并与试验结果进行对比验证;通过收集62个UHPC键齿接缝的已有试验数据,对本文所提的计算公式进行精度分析. 研究结果表明:UHPC键齿接缝因键齿根部出现竖向贯通主裂缝而破坏,具有明显的脆性特征;在相同侧压应力下,胶接缝试件的极限荷载比干接缝大21.3%,当侧压应力由3 MPa增大至12 MPa时,胶接缝试件的极限荷载增大了26.9%;本文计算公式可较准确地预测UHPC键齿接缝的抗剪承载力,且离散性较低,计算结果总体偏保守,其中本文5个键齿接缝试件的平均绝对误差为11%,62个已有试件的平均绝对误差为21%.

基于重现期的落石尺寸设计值确定方法
王玉锁, 吕宁宁, 王明年, 唐建辉, 杨竣翔, 赵状, 肖鹏, 安博
2025, 60(2): 262-270. doi:10.3969/j.issn.0258-2724.20240240
摘要:

山区交通落石事件频发且具有突发性和随机性,基于概率的防护结构可靠性设计是降低灾害风险的必要和有效手段,然而,作为设计基本参数的落石尺寸设计值的确定方法还不明确,使得可靠性设计不能有效进行. 介绍基于泊松-广义帕累托分布(GPD)复合模型的落石尺寸-重现期预测方法,结合宝成铁路白—上段落石记录数据,进行GPD阈值选取,并分析记录中缺失的最大、最小落石尺寸对阈值选取和对预测结果的影响;与地震作用标准值超越概率对应,提出以“小落石不坏、中落石可修、大落石不塌”三水准设防为标准的落石尺寸设计值确定方法. 研究表明:记录中缺失的最大落石尺寸对阈值选取影响小,但对落石尺寸预测结果影响大,与重现期对应的落石尺寸预测值随设定的最大落石尺寸呈指数型增大趋势,而记录的最小落石尺寸对阈值选取和预测结果的影响都较小;以宝成铁路白—上段落石记录数据为例,根据选取出的合理阈值,设定不同最大落石尺寸值,利用本文方法,预测得到宝成铁路白—上段50、100、 1000 10000 a重现期落石尺寸区间范围,计算得到50、100 a设计基准期三水准设防标准对应的落石尺寸标准值即设计值,可为类似工程设计提供参考.

基坑开挖对邻近既有道路影响的两阶段分析法
张坤勇, 李俊吉, 张弛, 李福东, 朱诚
2025, 60(2): 271-281. doi:10.3969/j.issn.0258-2724.20220850
摘要:

针对城市基坑开挖过程中邻近道路沉降开裂问题,基于Winkler理论,将研究对象从一维结构扩展到二维结构. 首先,建立道路在基坑开挖引起沉降场下的计算模型,推导出道路挠曲变形控制方程;其次,采用两阶段分析方法,考虑基坑开挖深度、宽长比、支护刚度以及坑底以上软土层厚度等因素,给出基坑开挖引起沉降场修正公式和地表最大沉降预测方法;接着,将沉降场代入道路挠曲变形控制方程,通过有限差分法求解四阶非线性偏微分方程;最后,通过工程实例对上述关于基坑开挖条件下道路计算分析模型进行验证. 现场监测数据与理论解、数值模拟结果比较发现:道路沉降的误差分别为15.0%和8.3%,均在合理范围内,确定本文所提出的基坑开挖条件下道路计算分析模型的可靠性.

基于聚类和随机森林耦合模型的崩滑灾害易发性评估
杜映锦, 席传杰, 胡卸文, 吴建利, 刘波, 何坤
2025, 60(2): 282-289. doi:10.3969/j.issn.0258-2724.20220864
摘要:

灾害易发性评估通常是基于灾害空间分布特征进行概率建模,然而灾害本身存在空间异质性. 本文以汶马高速汶川至理县段沿线崩滑灾害为例,为解决灾害的空间异质性问题,利用K-means算法将研究区灾害威胁对象(人员、财产)及危险程度(损毁房屋面积、损毁道路长度)进行空间聚类并赋予研究区不同聚类属性;从水文、地质、地貌条件等方面综合选取坡度、高程、坡向、曲率、地表切割度、河型弯曲系数、距构造带距离、岸坡坡体结构和地层岩性9个因子,将样本划分为70%的训练数据、30%的测试数据,对比K-RF模型与传统RF模型在易发性评估中的性能,以期为高速公路的运营安全及灾害防治提供理论支撑. 结果表明:K-RF模型极高易发区共包含82.95%灾害点,相较于单一RF模型取得了更好的评价结果(AUC值提高5.4%);采用聚类的方法解决灾害空间异质性是可行的,但本文局限性在于未能从灾害本身反映灾害空间异质性,耦合模型结果本质上是易发性和易损性的综合反映.

线性法修正HVSR的场地效应研究
陈学良, 陈科霖, 兰景岩, 李兴哲
2025, 60(2): 290-298. doi:10.3969/j.issn.0258-2724.20230094
摘要:

为进一步研究工程地震动场地效应的影响,基于水平垂直谱比法(HVSR)、线性反演法2种经验方法对四川强震区地震动场地效应进行对比分析. 首先,依据震级、台站、震中距离等因素挑选出汶川地震余震中由17个强震动台站捕获的233组强震动波形;其次,基于龙门山地区铰链三段式衰减模型,采用线性反演法估计S波的品质因子 Q s,同时应用旋转HVSR、多向HVSR 2种方法解释了地震波传播中方位角对HVSR场地效应的影响机制;最后,分析了线性反演法与HVSR法计算的场地效应产生差异性的原因,在此基础上提出了改进的HVSR法以提高场地效应评估的准确性. 研究结果发现:该区域S波的品质因子与频率相关,且在0.4~20.0 Hz内近似等于199.2 f 0.8 f 为频率);HVSR的结果具有优势方向,随着方位角的改变,场地效应会在某一角度突然增大,与场地土层的各向异性有关;竖向地震动的放大,即场地土层、工程基岩或中深部硬岩层耦合形成的竖向场地效应,是HVSR法与线性反演法产生差异的主要原因.

考虑多充电桩排队和时间窗的电动货车路径规划
胡路, 乐诗彤, 朱娟秀
2025, 60(2): 299-307. doi:10.3969/j.issn.0258-2724.20230084
摘要:

在带时间窗的电动货车路径规划问题(EVRPTW)中,电动货车(EV)在前往充电站充电时可能需要排队. 为研究不同充电站配置方案对车辆路径和系统性能的影响,首先构建排队模型,刻画充电站中的排队现象;在EVRPTW基础上,综合考虑电量和流量约束,建立路径优化模型,并将充电站排队模型嵌入其中;优化目标包括最小化车辆耗电成本、司机工资、时间窗惩罚成本、充电桩总成本;为求解该模型,提出一种结合节约里程(C-W)和改进大邻域搜索(LNS)的混合启发式算法,其中,充电站的系统性能指标采用递归算法获得. 18组实验结果表明:同步增加充电桩数量可将车辆单次充电的平均排队时间控制在1~5 min,并有效减少2.6%~21.0%的总成本;增加充电站数量可缩短排队时间,但会增加整体路径总成本;当客户时间窗较短或服务时间较长时,充电桩数量变化对时间窗满足的影响更为显著.

“碳减排”视域下内河流域梯级枢纽联合通航调度优化
高攀, 方志伟, 赵旭
2025, 60(2): 308-316. doi:10.3969/j.issn.0258-2724.20230002
摘要:

为解决梯级枢纽联合通航调度中船闸运行规则不统一、船舶调度不同步等问题,以船舶综合通航效率、待闸成本和碳排放为决策目标,构建考虑船舶优先级的多维非线性规划(MDNP)模型;随后,拟用改进的回溯多目标模拟退火算法(IBMOSA)对MDNP进行求解,提出梯级枢纽联合调度的优化方案;最后,以“三峡-葛洲坝”梯级枢纽为例,验证MDNP模型与IBMOSA的有效性与可靠性. 结果表明:MDNP模型能够有效兼顾船舶通航效率和公平性,且IBMOSA具有较好的收敛性和全局性;通过编制协同排闸计划,对各船闸闸次安排进行合理布局,可规避梯级船闸的倒闸现象,减少船舶整体过坝时间;与原始调度方案相比,联合调度方案对3个决策目标的优化效率均接近40%,梯级枢纽通航拥堵缓解率约为16%,有效化解了梯级枢纽间的通航矛盾,提升了三峡水域的整体通航效益.

基于级联失效的航路网络脆弱性分析
田文, 周雪芳, 方琴, 宋津津
2025, 60(2): 317-325, 355. doi:10.3969/j.issn.0258-2724.20220755
摘要:

为探究级联失效所造成的航路网络脆弱性变化规律,基于不同攻击方式的级联失效过程对航路网络脆弱性进行分析. 首先,结合航路网络超容运行实际,提取非失效状态节点的过载运行、节点失效的概率性和节点所经负载的可分流性3个特点,构建航路网络级联失效模型和不同攻击方式的级联失效过程;然后,从航路点运行能力损失角度提出航路网络级脆弱性指标以及与级联失效模型相结合的脆弱性分析方法;最后,以民航华东区域为实例,分析航路网络脆弱性与所建模型参数的关联性,探究不同参数条件下航路网络脆弱性指标的变化规律,并设计了3种攻击实验. 研究表明:各航路点运行能力随着负载流量的超容范围增加而提升,航路网络脆弱性随之降低;航路网络对选择性攻击方式较为敏感,尤其是基于介数的攻击.

基于多源数据融合的城市土地利用精细识别方法
李林超, 钟良剑, 苏庆, 任璐, 杜博文
2025, 60(2): 326-335. doi:10.3969/j.issn.0258-2724.20230296
摘要:

我国土地利用类型复杂,为解决依靠单一遥感图像或POI(point of interest)数据而难以准确识别城市土地利用类型的困境,提出一种遥感图像和POI数据相结合的精细识别方法. 首先,为精细识别城市地块功能,选取500 m栅格为研究单位;其次,提取POI数据并生成各类土地利用的核密度分布图,对遥感、POI图像数据进行数据预处理、数据切分、数据增强以提取有效信息;最后,将POI核密度分布图和高分遥感影像数据融合,以现状土地利用数据为标签,构建UNet++网络对城市地块分类,并运用CA算法对模型参数进行优化. 以深圳市为实例开展实验,并在罗湖区和南山区进行迁移验证,结果表明:融合POI数据的城市土地利用精确识别模型平均精度为70.6%,比仅使用遥感数据识别模型精度高6.7%;使用CA算法后,模型精度提高1.5%;对模型进行迁移验证,模型平均精度为72.6%,表明模型具有较高的稳健性;此外,POI数据弥补了遥感影像仅涉及光谱、纹理和地物结构物理属性的不足,能较好识别商服用地、公共管理与公共服务用地,相较于单一数据识别模型精度分别高了7.5%、6.0%.

高寒动车组温变特性对运行性能的影响分析
祁亚运, 李龙, 石怀龙, 宋烨, 戴焕云
2025, 60(2): 336-345. doi:10.3969/j.issn.0258-2724.20220876
摘要:

高寒动车组服役环境长期受温度的影响,车辆悬挂元件参数和轨下参数具有很强的季节变化特性,为了探究高寒动车组中橡胶元件温变特性对运行性能的影响,本文建立高寒动车组多体动力学模型,分析不同温度下的车辆动力学特性;利用Jendel磨耗模型探究不同温度下的车轮磨耗特性;基于疲劳预测模型提出车轮表面疲劳因子. 结果表明:温度变化会改变悬挂参数的刚度和阻尼值,随着温度降低,悬挂参数刚度增大;低温状态下,动车组动力学性能整体下降,随着温度降低车辆磨耗都会增大,当运行20万里程后,−40 ℃下车轮的磨耗深度最大,较20 ℃ 时增大6.2%;随着温度降低,表面接触疲劳指数也逐渐增大,温度分别为20、−20、−40 ℃时,车轮表面疲劳因子分别为 6.4648 ×10−4 6.6150 ×10−4 6.7885 ×10−4;温变特性对高寒动车组悬挂参数有较大影响,低温下整体动力学性能下降,磨耗增大,车轮表面疲劳增大.

考虑等效锥度离散度的JM3车轮型面优化
孟凡愚, 沈龙江, 邓小星, 姚远
2025, 60(2): 346-355. doi:10.3969/j.issn.0258-2724.20230173
摘要:

轮轨匹配对轨道车辆动力学性能有着重要影响,针对现行标准JM3车轮型面与国内不同类型钢轨廓形匹配时等效锥度差异过大,以及在大轨底坡条件下匹配打磨钢轨时因等效锥度过低而引发机车晃车的问题,本文以减小车轮型面在不同轨底坡条件下与CN60型和CN60N型2种钢轨匹配对应的等效锥度离散度为优化目标,采用圆弧、直线组合的车轮型面描述方法,应用NSGA-Ⅱ遗传算法优化滚动圆附近两段圆弧圆心横向位置参数,对JM3型面进行优化,并对优化前后的车轮型面进行轮轨接触特性和机车动力学性能仿真对比分析. 结果表明:优化型面在与上述钢轨匹配时,轮对3 mm横移量处的名义等效锥度均在0.1左右,显著降低原JM3踏面等效锥度离散度,提高了车轮型面对不同钢轨廓形和线路条件的适应性;同时,优化后的型面对应机车蛇行稳定性、横向平稳性、曲线通过性能和磨耗性能指标较原型面均得到提升,消除了特定线路机车的低频晃车现象.

可动心轨辙叉转换位移计算及设计优化
赵振华, 王璞, 高原, 王树国
2025, 60(2): 356-363, 461. doi:10.3969/j.issn.0258-2724.20230294
摘要:

为减小可动心轨辙叉心轨/翼轨密贴区域不足位移、降低心轨牵引点转换力、提高辙叉直向平顺性,提出可动心轨辙叉的设计参数和关键部件优化设计方法. 以18号可动心辙叉最小轮缘槽宽度为优化目标,基于既有结构尺寸和有限元方法建立心轨转换计算模型,并采用逐次逼近法优化心轨转换位移曲线的设计方法;在满足辙叉直、侧向不同形位公差条件下,提出第2牵引点动程为50.7 mm的优化设计方案和直向开通状态下辙叉关键部件的结构设计方法. 研究表明:心轨计算转换位移与设计转换位移最大偏差为6.64 mm,位于弹性可弯中心;最小轮缘宽度计算值(90.7 mm)与实测平均值(90.9 mm)差异较小,满足车辆安全通过要求;第2牵引点动程较既有辙叉减小8.3 mm,减小了第2牵引点转换力.

基于机电液耦合的钢轨打磨模型
曾鲁庆, 崔大宾, 李立
2025, 60(2): 364-373. doi:10.3969/j.issn.0258-2724.20220577
摘要:

钢轨打磨发生在钢轨打磨车行驶过程中,会受到钢轨打磨车动力学性能的影响. 钢轨打磨一般设置为恒功率打磨,涉及砂轮钢轨接触关系、砂轮钢轨磨削关系、液压系统、控制系统等,是一个机电液耦合过程. 在考虑机电液耦合的钢轨打磨过程中,基于车辆轨道耦合动力学,建立机电液耦合的钢轨打磨整体模型,包含车辆轨道耦合动力学子模型、砂轮钢轨接触子模型、磨削子模型、液压系统子模型;通过与已有的实验数据对比,对该钢轨打磨模型进行验证. 研究结果表明:车辆轨道动力学模型验证时,脱轨系数最大误差为11.11%,轮重减载率最大误差为7.69%,轮轴横向力最大误差为11.68%;液压控制模型验证时,在0.7 Hz与1.7 Hz波磨下,无杆腔压力偏差率分别为−2.96%~2.92%、−0.32%~1.38%,无杆腔流量偏差率为−24.11%~0、−48.72%~0;磨削模型验证时,整体趋势一致,最大偏差点处偏差量为0.036 mm;以上偏差均在可接受范围内,此模型能应用于实际的钢轨打磨研究中.

车辆油气悬架技术研究综述
刘秀梅, 李永涛
2025, 60(2): 374-394. doi:10.3969/j.issn.0258-2724.20230168
摘要:

油气悬架具有缓冲减振、车身姿态调整等功能,其结构复杂、压力冲击大、耐磨性与密封性要求高. 优良的悬架油缸结构、油气悬架系统及控制方法是决定车辆行驶性能的重要条件. 从悬架结构、工作特性与控制方式等方面系统阐述了油气悬架的构成型式,归纳总结油气悬架的分类与原理;基于悬架可控制性角度,从油气悬架的结构设计与优化、数学建模、控制算法与策略等方面论述油气悬架技术,分析现有结构的特点与不足后得出:被动悬架结构简单、技术成熟,但缺乏自适应性;半主动悬架能耗小、成本较低、响应快、可靠性高,但自适应性有限;主动悬架性能优良,但能耗大、成本高、系统结构与控制策略复杂. 总结与展望3种悬架的发展现状和研究方向,为车辆油气悬架设计与控制方法的深入研究和发展提供参考.

基于AMESim的矿用自卸车悬架系统平顺性分析
刘启航, 冯汉队, 刘申, 李贝贝, 刘秀梅
2025, 60(2): 395-402. doi:10.3969/j.issn.0258-2724.20230135
摘要:

矿用自卸车主要用于小型矿山运输,常在道路条件恶劣、超载严重等工况下工作. 油气悬架因其刚度和阻尼的非线性特性,能较好适应外载荷激励变化,在大型工程车辆中广泛应用. 以徐工生产的XDR80t型矿用自卸车为研究对象,针对采集到的轮胎质心加速度以及车身加速度数据,利用频域积分的方法求解活塞杆相对位移量数据. 采用AMESim仿真平台建立机液联合仿真模型,研究了不同悬架结构参数下车身振动特性的变化趋势. 研究发现:阻尼孔直径对于车身振动状态影响较为明显,当阻尼孔直径由8 mm变化至14 mm时,加速度峰值减小约49.27%,均方根值RMS减少约49.42%,但相应的俯仰角却呈增加趋势;随着缸径/杆径由180/150 mm增加至200/170 mm,加速度峰值和RMS分别降低16.84%与18.62%;当预充压力从1.50 MPa增加至2.25 MPa时,加速度峰值及RMS均方根值分别减小27.67%及27.49%,俯仰角也减小.

基于SRCKF算法的轨道车辆轮轨垂向力识别
陈清华, 閤鑫, 王开云
2025, 60(2): 403-410. doi:10.3969/j.issn.0258-2724.20230048
摘要:

轮轨作用力是评估轨道车辆运行品质的关键指标,为实现对轨道车辆轮轨垂向力的在线监测,提出一种基于平方根容积卡尔曼滤波(SRCKF)算法的识别方法. 以考虑悬挂元件非线性的车辆-轨道垂向耦合动力学模型为例,建立包含轮轨垂向力和车辆部件状态变量的非线性过程函数,将车体、构架和轮对垂向加速度作为观测量,基于SRCKF算法递推识别轮轨垂向力;在此基础上,建立整车动力学模型及其对应的17自由度轮轨垂向力估计模型,对车辆在实际不平顺激扰下的左右侧轮轨垂向力进行识别. 仿真结果表明:所提方法识别垂向车辆模型在随机不平顺、钢轨波磨不平顺和钢轨焊缝不平顺作用下的轮轨垂向力时,轮轨垂向力识别值在时域和频域同仿真值均有较高的吻合度,相关系数分别为0.988、0.999和0.969;在识别整车模型的轮轨垂向力时,左、右侧轮轨垂向力的相关系数最低分别为0.747和0.720,左、右侧轮轨垂向力之和的相关系数为0.999.

两种合金密封环与浸渍石墨配副的损伤失效
郑靖, 何佳欣, 雷磊, 杨丹, 黄元宝, 张尔卿, 张车宁
2025, 60(2): 411-417. doi:10.3969/j.issn.0258-2724.20220641
摘要:

某石油化工泵分别采用Cr合金密封环和YG-6硬质合金密封环,在300~400 ℃与浸渍石墨密封环配副,发现Cr合金密封环长期服役仍能保持良好的密封性能,而硬质合金密封环运行一段时间后发生气体泄漏. 为探究2种合金密封环服役性能差异的缘由,对失效密封环进行表面形貌、化学成分与力学性能表征,分析失效机制. 研究结果表明:Cr合金密封环材质为含Cr的马氏体钢,未作表面强化处理,表面硬度和弹性模量分别为(629.8±14.2) HV30和(244.7±17.4) GPa,与浸渍石墨配副接触区出现以轻微犁削效应为主的环形磨斑,磨损表面粗糙度显著降低;硬质合金密封环表面硬度和弹性模量分别为( 1 475.3 ±60.1) HV30和(815.3±57.2) GPa,密封环表面残余应力高,存在氧化腐蚀诱导的材料脆化,配副接触区无明显磨损,但出现氧化开裂导致的块状缺损;Cr合金密封环表面的低刚度和高粗糙度导致其配副接触区发生磨粒磨损,但磨损表面存在打磨抛光行为,与浸渍石墨配副仍能保持良好的密封性能,而YG-6硬质合金密封环表面高残余应力和高温服役环境诱导的材料氧化脆化,导致配副接触区发生开裂破坏,密封失效.

地铁弓网系统摩擦自激振动研究
冯晓航, 陈光雄, 梅桂明, 董丙杰, 赵鹏鹏, 李先航
2025, 60(2): 418-424. doi:10.3969/j.issn.0258-2724.20220873
摘要:

为研究弓网系统摩擦自激振动对碳滑板与接触线之间接触损耗的影响,基于摩擦自激振动理论,建立地铁刚柔过渡段处受电弓-接触网系统有限元模型,并利用复特征值分析方法研究不同弓网参数对该系统摩擦自激振动的影响. 分析结果显示:弓网系统由摩擦自激振动引起接触线波磨产生的主频为399.61 Hz;当摩擦系数大于或等于0.11时,受电弓-接触网系统出现不稳定振动,且摩擦系数越大,该系统出现不稳定振动的趋势越强;法向接触力、碳滑板与接触线的接触位置以及弓头弹簧刚度对弓网系统摩擦自激振动的产生有很大影响;摩擦系数低于0.11并且选择合适的法向接触力或调整弓头弹簧刚度可以抑制甚至消除弓网系统的摩擦自激振动,进而减少弓/网间摩擦引起的接触损耗.

Taylor-Couette波状涡流场环隙波动的变化特征
毛玉红, 陈超, 李亚蓉, 付海煜
2025, 60(2): 425-433. doi:10.3969/j.issn.0258-2724.20230308
摘要:

为研究Taylor-Couette环隙流场波状涡涡间的波动变化情况,采用大涡模拟(LES)方法对Taylor-Couette波状涡流场进行瞬态数值模拟,并从二维和三维的角度对环隙间波状涡流场进行分析. 结果表明:波状涡流场中二维环隙子午面速度矢量场存在周期性波动变化特征,在周期始末时刻速度矢量场基本保持一致;涡交界位置处的轴向速度方向在不断发生周期性变化,径向和切向速度方向保持不变;涡对间各向速度值均大于涡对内的涡间,主流液体传递主要发生在外向流的涡对间;另一方面,三维波状涡流场涡旋周期波动现象明显,也具有周期特征,各工况(10、20、30、40 r/min)的周期分别为12.94、6.80、1.93、1.49 s;随着旋转雷诺数增大,涡旋波动幅度大幅减小,波动周期也缩短;环隙间主流液体在涡间的周期性流动带动流体微团在环隙间绕内筒做螺旋偶合涡旋转运动.

刚性接触网-受电弓系统快速仿真方法
陈龙, 刘志刚, 段甫川, 胡泽尧, 徐钊, 陈可
2025, 60(2): 434-444. doi:10.3969/j.issn.0258-2724.20230206
摘要:

针对当前刚性接触网-受电弓系统有限元模型仿真速度慢、计算时间成本高的问题,对采用三维接触算法的弓网仿真方法与流程进行改进. 首先,采用中心差分思想,将求解弓网接触副相对运动速度时需迭代计算的方程转换为可直接计算的显式方程;然后,将刚性接触网在静平衡处进行线性化处理,以避免刚度矩阵组装耗时,并加快刚性网内力计算;其次,对弓网接触状态进行惰性判断以减少计算量;最后,对本文所提快速仿真方法在不同情况下的计算效率与精度进行分析. 研究结果表明:在30跨8 m跨距的刚性接触网-受电弓仿真算例中,快速仿真方法相比标准仿真方法节省97.67%的仿真时间,且接触力结果最大偏差仅为0.48%;随着模型规模的增大,其节省的时间迅速增加,计算效率优势愈发显著,同时接触力结果偏差均小于1.00%;随着运行速度的提高,所节省的时间占比基本不变,接触力结果偏差略有增大趋势,在230 km/h以下的速度工况中,接触力标准差偏差均小于1.00%.

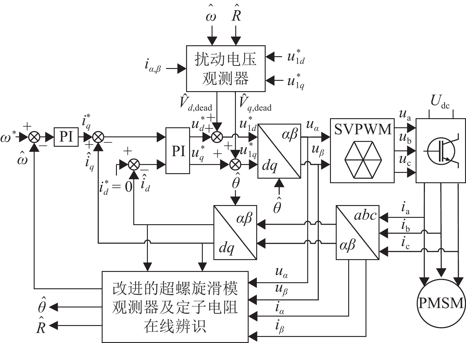
基于改进Super-Twisting滑模观测器的永磁同步电机无传感器控制
王涛, 黄景春, 周行之, 金靖
2025, 60(2): 445-453. doi:10.3969/j.issn.0258-2724.20220793
摘要:

在无传感器控制宽调速范围内,传统super-twisting二阶滑模观测器算法在永磁同步电机中存在转子位置估计误差随速度变化而发生抖动的问题. 为减小转子位置估计误差并提升电机调速控制性能,本文基于双曲函数提出一种改进的滑模观测器,并设计定子电阻的在线辨识方案,同时开发扰动电压观测器以在线估计逆变器非线性引起的失真电压;最后,通过电机硬件在环实验测试进行验证. 测试结果表明:位置估计误差减小7.6%,速度估计精度提高5.8%.

一种压缩感知测量矩阵的联合优化算法
杨柳, 白朝元, 范平志
2025, 60(2): 454-461. doi:10.3969/j.issn.0258-2724.20230032
摘要:

对于压缩感知算法,其测量矩阵与稀疏基之间的相关性往往决定了信号恢复精度. 为提升大规模通信场景下压缩感知算法重构信号的性能,基于矩阵分解与等角紧框架理论对测量矩阵进行改进. 首先,基于测量矩阵和稀疏基构造字典矩阵,并进一步构造Gram矩阵,利用特征值分解降低Gram矩阵的平均相关性;然后,基于等角紧框架理论与梯度缩减理论,通过使Gram矩阵逼近等角紧框架矩阵来减小Gram矩阵非主对角线元素的最大值,从而降低测量矩阵与稀疏基之间的最大相关性;最后,以正交匹配追踪(orthogonal matching pursuit, OMP)为重构算法进行仿真验证. 仿真结果表明:相比于优化前,矩阵相关系数降低40%~50%;在信道估计与活跃用户检测中,本文在较高稀疏度下的算法错误估计数比其他优化算法降低50%以上,信道估计的均方误差相比其他矩阵提升3 dB,误码率性能提升2 dB.

小型化轨旁双频天线设计及其电磁兼容性
周文颖, 许进京, 逯迈, 李宇新
2025, 60(2): 462-471. doi:10.3969/j.issn.0258-2724.20240220
摘要:

为满足隧道内5G通信需求并提高轨旁天线利用率,提出一种基于超材料的双频轨旁天线,该天线具有同时支持列车自动控制系统和民用5G无线通信的能力. 首先,根据5G通信部署方案设计小型化双频轨旁天线,并使用有限元法模拟其在小型化前后的电磁特性,评估对隧道内电磁环境及其他辐射源的影响;其次,构建包含躯干、颅骨、大脑、心脏等重要组织的轻量化人体模型,以对比仿真传统单频轨旁天线和小型化双频轨旁天线的辐射对人体组织比吸收率(specific absorption rate, SAR)的影响. 研究结果表明:与传统单频轨旁天线相对,小型化双频轨旁天线工作在2.45 GHz和3.40 GHz频段的体积分别减小40%和20%,其周围隧道空间电场分别降低2.09%和6.57%以上,漏泄同轴电缆上的感应电场强度分别减小19.67%和32.41%,天线小型化后降低了对周围辐射源的影响,提高隧道内轨旁天线的电磁兼容性;小型化双频天线使人体躯干、颅骨、大脑、心脏的SAR值分别降低19.76%、46.60%、55.62%、55.28%以上,显著减小了天线对轨旁工作人员的辐射影响.

ECC和预制榫卯混合连接装配式桥墩抗震试验及计算方法
林上顺, 林永捷, 张建帅, 赵锦冰
2025, 60(2): 472-483. doi:10.3969/j.issn.0258-2724.20230040
摘要:

为提高装配式桥墩的受力性能和耐久性,提出采用现浇纤维增强水泥基复合材料(ECC)和预制榫卯混合连接的装配式桥墩,开展不同设计参数(凹槽深度和现浇ECC层厚度)的桥墩拟静力试验,建立经试验验证的ABAQUS有限元模型;同时进行拓展参数分析,在此基础上进行理论推导,提出混合连接装配式RC (reinforced concrete)桥墩的骨架曲线特征值计算方法和恢复力模型. 结果表明:3根桥墩试件破坏模式均为压弯破坏,各试件的ECC现浇段均未发生破坏;凹槽深度、现浇ECC段高度的变化对桥墩的延性系数、极限位移的影响较为显著;理论分析计算结果与有限元分析结果吻合良好,除峰值位移外,各公式计算值与有限元计算值之比均在0.85~1.14,计算结果可靠;混合连接装配式桥墩恢复力模型计算的滞回曲线与试验曲线吻合较好,可用于桥墩弹塑性计算.

极端气候下交通基础设施脆弱性研究综述
贾宏宇, 肖楚照, 康炜, 王传琦, 郑史雄
2025, 60(2): 484-502. doi:10.3969/j.issn.0258-2724.20230650
摘要:

全球气候变化日益剧烈,极端强降水、高温、低温以及干旱等极端气候事件对现有交通基础设施的运行性能造成影响,甚至导致严重损坏. 与此同时,随着交通强国战略的深入实施,大量新的交通基础设施在恶劣环境中被建设,新建设施的功能性、耐久性和维护管理面临前所未有的挑战. 极端气候荷载变化迅速且难以预测,常常伴随多种灾害的耦合效应,使得交通基础设施在其作用下的破坏机理极为复杂. 为确保极端气候条件下交通基础设施的安全和效能,在国内外极端气候及多灾害耦合研究的基础上,系统梳理了极端气候的时空演变、多灾害耦合作用的研究历程以及多重灾害对工程结构的影响机理. 在此基础上,明确了极端气候影响的特性,并提出交通基础设施在设计、施工和维护阶段的防灾减灾设计原则. 同时,综合总结了在极端气候条件下交通基础设施的多灾害风险评估方法,并对未来的研究方向进行展望,指出利用人工智能和机器学习技术进行极端气候灾害的快速预测和评估,以及在全寿命周期内分析交通基础设施系统性能的变化将成为重要的发展趋势. 为桥梁、道路和隧道等交通基础设施在极端气候条件下的抗灾设计、性能评估和韧性提升提供了宝贵的参考.

基于自适应嵌套抽样和贝叶斯理论的桥梁有限元模型修正
徐希堃, 洪彧, 许靖业, 周志达, 蒲黔辉, 文旭光
2025, 60(2): 503-512. doi:10.3969/j.issn.0258-2724.20230358
摘要:

在基于有限元模型的桥梁健康监测中,贝叶斯模型修正技术通常被用于量化有限元模型中重要参数的不确定性,以解决模型修正中由于测量误差、建模误差、计算误差等造成的非唯一解问题. 为解决由于大量调用有限元模拟运算,导致修正效率低下的问题,基于自适应嵌套抽样(ANS)算法,提出一种贝叶斯模型修正方法. 该方法利用模态参数构建概率目标函数,并采用 ANS 算法对其进行逼近,ANS 保留了嵌套抽样(NS)的性质,通过逐层缩小抽样范围,使得样本最终逼近最优参数;通过逐层近似,将高维积分问题转化为简单的一维积分问题,简化了证据值和后验概率密度值的计算过程;在此基础上,ANS 算法在迭代过程中通过自适应地调整样本数量,减少对有限元模型的调用;最后,对一座人行桁架桥进行了贝叶斯有限元模型修正试验. 结果表明:在相同算法参数设置下,ANS 算法相比传统 NS 算法降低了约 84% 的有限元模拟调用次数,节省了约 86% 计算时间,并能获得同等精度的不确定性修正结果.

复杂海况下跨海桥梁钢沉井基础下放过程及影响优化
陈明林, 黄博, 薛泽辰, 周建庭
2025, 60(2): 513-523. doi:10.3969/j.issn.0258-2724.20230712
摘要:

跨海桥梁大型预制钢沉井的定位下放施工面临着海洋复杂环境中极端波浪和水流的巨大威胁,深入研究波流作用下钢沉井定位下放过程中的动力特性,对钢沉井的定位准确性、下放稳定性及施工安全性具有重要意义. 基于LS-DYNA有限元程序构建波流作用下三维全尺寸钢沉井流固耦合模型,通过与Stokes二阶波浪解析解和已有水槽耦合实验结果进行对比,验证该三维流固耦合模型的准确性;使用已验证模型探究波浪参数、水流参数、锚缆布置形式以及结构下放位置等对钢沉井定位下放过程中所受的波流荷载和动力特性影响规律. 研究结果表明:所提出的锚缆布置形式可以有效降低钢沉井结构在不同波流作用下的位移和倾角,最大倾角不超过2°;相较于水流单独作用,波流共同作用对钢沉井造成的最大水平力、水平位移和倾角至少分别增加了约86.34%、25.15%和112.96%;随着钢沉井淹没深度的增加,钢沉井所受最大水平力和水平位移分别增大了约41.90%和50.62%,钢沉井的最大倾角却减小了约31.06%;在钢沉井定位下放研究中,应充分考虑结构在不同下放深度时所受的波流荷载和位移等的影响,为分析钢沉井下放过程中的稳定性提供可靠的理论基础.

方幂好格子点法在车-桥系统随机动力分析的应用
周子骥, 张楠, 严国兵
2025, 60(2): 524-532. doi:10.3969/j.issn.0258-2724.20220831
摘要:

针对难以精确选取具有代表性的超高维随机相位角问题,采用方幂好格子点法生成代表性轨道不平顺样本,并将该样本作用于车-桥系统,得到轮轨力的均值与标准差;然后,通过对比虚拟激励法、确定性时程法和蒙特卡洛法的计算结果来探究该方法的计算精度与计算效率;最后,采用线性与非线性轮轨接触关系研究考虑列车日运营量的脱轨系数阈值. 以和谐号通过桥梁为例,计算结果表明:与蒙特卡洛法相比,采用方幂好格子点法生成不同方向的轨道不平顺样本之间的均匀性较好;方幂好格子点法求得的随机动力响应的概率特征参数与其他方法相比,具有较高的计算精度,其计算效率较蒙特卡洛法提高了近5倍;分别采用线性与非线性轮轨接触关系时所得的脱轨系数阈值相差达4.68%,方幂好格子点法具有较广泛适用性.

Baidu
map