• ISSN 0258-2724
  • CN 51-1277/U
  • EI Compendex
  • Scopus 收录
  • 全国中文核心期刊
  • 中国科技论文统计源期刊
  • 中国科学引文数据库来源期刊

2022年 第57卷 第5期

显示方式:
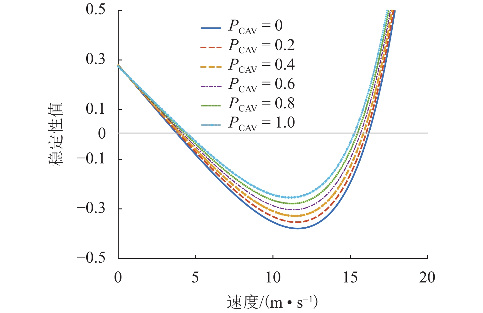
智能网联混合交通流稳定性解析方法综述
蒋阳升, 顾秋凡, 姚志洪
2022, 57(5): 927-940. doi:10.3969/j.issn.0258-2724.20210560
摘要:

交通流稳定性分析是研究交通拥堵形成机理、车队队列控制的基础,面向智能网联环境下的混合交通流队列线性稳定性分析已成为近年来的研究热点. 根据受到的扰动大小和范围,介绍了线性稳定性、非线性稳定性、局部稳定性和队列稳定性的相关概念,并指出了交通流队列稳定性的基本判别准则. 基于控制理论,回顾了交通流车队队列线性稳定性条件的经典解析方法,其中,特征方程法评估了交通流内部扰动的增长速度,传递函数法依托于拉普拉斯变换构建了扰动的传递关系. 从经典跟驰模型、考虑时延的跟驰模型和考虑多前车驾驶信息反馈的跟驰模型出发,系统分析并总结了国内外学者对于混合交通流稳定性问题的研究现状,同时回顾了交通流稳定性理论研究在车队队列控制等方面的实验和工程应用. 最后,展望了混合交通流稳定性分析领域的研究前景,指出了在后车跟驰行为、智能网联汽车的交互协同、复杂混合交通流等几个方面是今后需要重点研究的领域.

基于动态罚函数的铁路车流分配与径路优化模型
薛锋, 刘泳博, 户佐安, 陈逸飞
2022, 57(5): 941-948, 959. doi:10.3969/j.issn.0258-2724.20210226
摘要:

为解决铁路车流分配与径路优化模型中的难约束问题,避免群智能算法在应对该问题时难以求解的不足,提出了一种基于惩罚函数的约束优化方法. 首先,在车流分配及径路优化基本模型的基础上设置虚拟弧,在目标函数中增加惩罚项的方式松弛掉模型中的弧段能力约束,同时对惩罚项中的惩罚力度和惩罚因子设计动态更新的策略;然后,将改进灰狼算法(improved grey wolf algorithm,IGWO)应用于车流分配与径路优化模型的求解;最后,结合某一地区的路网数据,对改进前、后的模型和算法进行对比分析. 算例结果表明:与改进前的模型相比,引入惩罚项之后,IGWO可以在限定的范围内找到满足弧段能力约束的可行解;与灰狼算法(gray wolf algorithm,GWO)相比,IGWO计算所得的配流方案使OD (origin-destination)货流的平均绕行率和货物总走行公里数分别下降了2.6%和5.2%.

基于贝叶斯网络的CTCS-3级列控车载系统韧性
吕彪, 刘于萌
2022, 57(5): 949-959. doi:10.3969/j.issn.0258-2724.20210102
摘要:

为弥补现有指标的不足,引入韧性作为非常态事件下CTCS-3级(China train control system-3)列控车载子系统运行稳定性的测度指标. 提出了车载子系统韧性量化评估方法,构建了基于贝叶斯网络(Bayesian network, BN)的韧性评估模型,并定义了5种基于韧性的部件重要度指标;进一步利用贝叶斯网络双向推理功能,计算了车载子系统在不同扰动情景下的韧性及部件重要度指标. 研究结果表明:韧性可全面描述车载子系统抵御扰动和从扰动中恢复的能力,非常态事件扰动下,韧性与可用性指标存在明显差异;不同扰动情景下系统韧性明显不同,扰动发生时,车载子系统面临磁暴影响时的韧性为0.8017,而遭遇雷电时的韧性为0.8819,面临冰雪扰动时的韧性为0.9880;部件重要度存在情景依赖,同一部件在不同扰动情景下重要度排序可能不同,且可能随时间动态变化.

接触网检修计划自动编制模型构建与应用
林珊, 陈吉刚, 卜立峰, 张伟, 程宏波
2022, 57(5): 960-966. doi:10.3969/j.issn.0258-2724.20210034
摘要:

针对接触网检修计划人工编制效率低又难以实现优化的问题,将接触网检修计划编制转化为一个规划优化问题,利用整数规划方法,同时考虑接触网检修作业的连续性,将设备检修状态作为决策变量,以超周期惩罚费用与检修路径代价最小为优化目标,建立基于弹性周期区间的接触网检修计划自动编制模型,并基于多目标规划中分层序列法提出模型的启发式求解算法. 通过实际算例验证证明:该方法可实现接触网检修计划的自动编制与优化,编制时间相对于人工节省99.98%,巡检路径节省33.16%,提高了接触网检修计划的编制效率和效果.

运行图驱动的城轨供电系统负荷过程动态仿真
刘炜, 刘童童, 王辉, 李鲲鹏, 张戬, 桑国阳, 吴拓剑
2022, 57(5): 967-975. doi:10.3969/j.issn.0258-2724.20200752
摘要:

针对城轨供电系统采用平铺运行图进行负荷过程仿真分析与实际负荷过程差别大,不能准确反应供电系统运营阶段的诸多问题,将运行图中各列车运行时分作为约束条件,建立列车定时节能运行的指标函数,以提高仿真模型准确性;基于固定阶梯级目标速度搜索算法优化列车操纵序列,还原多列车具有电气信息的运行轨迹;以实迹运行图为驱动,实现了供电系统正常运行与异常情形下的负荷过程仿真分析. 算例分析结果表明:基于实迹运行图的仿真结果与实测牵引变电所负荷过程曲线的Pearson相关系数在0.89以上,负荷过程特征值仿真与实测的最大误差不超过6.85%,较平铺运行图仿真结果准确度最高可提升12.91%.

强迫油循环风冷式牵引变压器的动态温度场模型
王韬, 张壮, 赵康发, 邵坤, 游永华, 易正明, 贺铸, 吴达
2022, 57(5): 976-981, 999. doi:10.3969/j.issn.0258-2724.20200824
摘要:

牵引变压器散热涉及冷却油与绕组的共轭传热和热油在油冷却器的二次散热. 为准确模拟其温度场随时间和空间的变化规律,在一维假设基础上,建立了牵引变压器(含绕组和冷却油)和油冷却器的分布参数模型,并与油泵和管道等集中参数模型耦合,建立了牵引变压器动态温度场数学模型,同时提出了一套数值求解算法;对一台牵引变压器及其散热系统进行动态温升实验,以此检验了模型预测精度. 研究结果表明:模型预测的牵引变压器冷却油温过渡时间(58 min)与实验值(61 min)吻合良好,稳定工作的冷却油和绕组温度与实验值的偏差分别为1.3 ℃和2.5 ℃,可以用于指导牵引变压器散热系统的工程设计及优化.

一种基于差分隐私保护的skyline查询方法
张丽平, 杨玉, 金飞虎, 李松, 郝忠孝
2022, 57(5): 982-989. doi:10.3969/j.issn.0258-2724.20200714
摘要:

为了解决差分隐私保护机制中重复攻击会泄露用户隐私的问题,提出了一种基于动态页敏感度调节的skyline查询方法. 首先,提出了依据最优主导页的计算页敏感度方法,提高页敏感度计算的效率;其次,为了合理设置隐私预算值,提出了基于置信率的隐私预算值调节方法;最后,基于隐私预算值动态更新查询次数的上界,实现了基于差分隐私保护的skyline查询方法. 实验结果表明:所提出方法在隐私预算值设定小于0.8时,隐私数据的泄露数由787个降低到423个.

轨道参数对高速道岔轮轨接触行为的影响
徐井芒, 郑兆光, 赖军, 杨怀志, 闫正, 钱瑶, 王平
2022, 57(5): 990-999. doi:10.3969/j.issn.0258-2724.20210449
摘要:

为研究60N钢轨350 km/h 18号高速道岔合理的轨距和轨底坡,利用60N钢轨高速道岔关键断面和实测LMA磨耗车轮,基于迹线法原理和Kalker三维非赫兹滚动接触理论,分析不同轨距和轨底坡参数下的轮轨接触几何和力学特性,并与CHN60钢轨高速道岔计算结果进行对比. 结果表明:在保证安全的前提下适当将轨距加宽可改善轮轨匹配关系,提升列车过岔平稳性,减小轮对横移量大于8 mm时的轮轨接触应力和表面滚动接触疲劳因子,延长尖轨使用寿命;轨底坡为1/30、1/40和1/50时,轮轨接触参数相差较小,匹配性能较优;轨底坡为1/10和1/20时,横向不平顺和轮轨滚动接触疲劳因子普遍较大,且1/10轨底坡对车轮磨耗的适应性较差;与CHN60钢轨高速道岔相比,60N钢轨高速道岔的等效锥度普遍更小,列车过岔平稳性更优;车轮磨耗易导致车轮在轮轨过渡区段空转,引起尖轨伤损.

弹性分开式扣件板下组合刚度理论模型设计方法
韦凯, 王显, 丁文灏, 骆婷, 赵泽明
2022, 57(5): 1000-1007. doi:10.3969/j.issn.0258-2724.20200860
摘要:

为探究弹性分开式扣件系统板下组合刚度的科学设计方法,明确传统计算模型(简称传统模型)的设计误差并提高设计精度,提出了一种基于非线性弹性地基梁的板下组合刚度理论计算模型(简称理论模型). 首先,将弹性垫板非线性弹性引入地基梁系统中,并将梁段划分为多个计算单元,从而建立反映铁垫板实际变形特征与板下支承特征的板下组合刚度理论模型,并采用中点刚度法求解锚固螺栓紧固扭矩与列车荷载施加过程中铁垫板的变形曲线与板下组合刚度;其次,采用力学试验机测试DZ Ⅲ型扣件系统在真实服役状态下铁垫板的变形与组合刚度,验证本文理论模型的正确性;最后,分析传统模型与理论模型在不同安装状态(螺栓扭矩)、铁垫板设计参数(铁垫板厚度、锚固螺栓间距)下的板下组合刚度,明确传统模型设计误差在不同铁垫板设计参数下的变化规律. 对比分析表明:由于未考虑铁垫板变形与板下垫板非线性弹性的影响,传统模型在安装扭矩范围(150 ~ 250 N•m)内的设计误差范围为37.75% ~ 94.27%,已无法满足工程设计的误差要求;本文提出的理论模型最大误差仅为2.91%,符合工程设计要求;铁垫板厚度较低或螺栓间距较宽时,铁垫板实际变形状态与传统模型中的计算假设差异将被放大,传统模型的设计误差也将进一步变大.

曲线轨道上重载货车悬挂相对位移的仿真计算方法及应用
杨春雷, 王开云
2022, 57(5): 1008-1016. doi:10.3969/j.issn.0258-2724.20210158
摘要:

为准确求解曲线轨道上重载货车悬挂的相对位移,首先,建立曲线轨道数学模型,推导出曲线外轨超高、顺坡角、侧滚角和中心角随线路长度的变化公式,再根据车辆各刚体部件进出曲线的时间和所处曲线位置差异,编程计算悬挂点刚体间的超高及转角差;其次,以刚体质心为坐标原点建立本体坐标系,分别给出悬挂点在两刚体本体坐标系中的坐标表达式,通过坐标变换法将本体坐标转换到同一坐标系下,计算悬挂点瞬态相对位移;最后,结合车辆曲线动力学仿真程序计算,即可求出车辆曲线通过时各悬挂点的动态相对位移. 计算结果表明:车辆悬挂相对位移是车辆参数和曲线轨道参数综合作用的结果,当单独不计线路侧滚角差、顺坡角差、中心角差时,对应悬挂相对位移的最大偏差率可达42.85%、24.03%、71.42%;利用坐标变换结合动力学仿真计算的方法可全面考虑车辆和轨道参数,求解车辆悬挂相对位移更为准确.

钢轨波磨预测模型验证工况的研究
陈光雄
2022, 57(5): 1017-1023, 1054. doi:10.3969/j.issn.0258-2724.20200842
摘要:

钢轨波磨会降低乘坐舒适性,增大轨道结构伤损,甚至影响列车的安全运行. 为判断钢轨波磨预测模型的准确性,首先,基于钢轨波磨现场调研数据,统计地铁线路和干线铁路的钢轨波磨发生率;其次,针对现有钢轨波磨预测模型验证方法的局限性,同时结合钢轨波磨发生的规律性,提出预测模型验证的3种基本工况:线路曲线半径≤350 m时的内轨波磨和外轨波磨、曲线半径 ≥ 650 m时的非科隆蛋扣件曲线线路或者直线线路钢轨的波磨,并进行实例验证;最后,根据基于轮轨蠕滑力饱和情况,提出了一种快速预测钢轨波磨发生的新方法. 研究结果表明:现有的波磨预测模型验证工况缺乏一般性,大部分没有考虑线路曲线半径的影响,忽视了从新轨到波磨出现阶段的钢轨振动演变规律,造成通过验证的波磨预测模型预测准确率偏低;所提出的波磨快速预测方法准确率可达到85.00%.

考虑材料高温蠕变的螺纹副轴向承载分布规律
何联格, 张斌, 郑建军, 周蓝, 苏建强, 石文军
2022, 57(5): 1024-1031. doi:10.3969/j.issn.0258-2724.20200417
摘要:

为了研究高温蠕变对螺纹副承载的影响,分别在常温、250、300、350 ℃下对铝合金试样进行单轴拉伸蠕变试验,通过试验数据拟合得到不同温度下铝合金的时间硬化蠕变模型参数;基于ABAQUS建立螺纹副承载分布有限元模型,描述螺栓连接组合结构在高温环境下的工作情况,研究螺纹副材料在线弹性、塑性、蠕变情况下的承载分布. 结果表明:螺栓连接组合结构在高温环境下工作时,被连接件铝合金材料发生蠕变,导致螺纹副1号螺纹牙受轴向载荷大幅减少;考虑材料线弹性后,1号螺纹牙承载比例为22.88%~23.15%;考虑材料塑性后,1号螺纹牙承载比例为20.80%~20.95%;考虑材料蠕变后,1号螺纹牙承载比例为20.65%~21.02%;考虑材料塑性和蠕变后,1号螺纹牙承载比例有所降低,所有螺纹牙所受轴向载荷趋于平均.

载重车辆-伸缩缝耦合系统的垂向振动数值模拟方法
张露, 李冰, 王少华, 李怀仙
2022, 57(5): 1032-1039. doi:10.3969/j.issn.0258-2724.20200712
摘要:

为研究车辆对大位移伸缩缝振动特性的影响,考虑轮胎载重车辆过大位移桥梁伸缩缝时的真实激励特性,提出了一种载重车辆-伸缩缝耦合系统垂向动力学模型,同时引入新型快速积分法对数值模型进行求解. 以ZL1600模数式大位移伸缩缝为研究对象,通过仿真结果与试验测试结果的对比验证模型有效性,并基于此模型分析了轮胎载重车辆对大位移伸缩缝的冲击效应. 研究结果表明:中梁测点垂向速度的动力学模型仿真结果能较好地匹配试验测试结果,仿真得到中梁测点最大下沉位移的偏差均小于10.0%,表明该模型具有较高的计算精度;车辆轮胎力的最大冲击系数出现在车轮驶上伸缩缝后方桥面时,需要考虑对此处结构进行加强;车辆轮胎对伸缩缝中梁和后方桥面的冲击系数均随车速的增大而增大,最大冲击系数分别为0.67和0.82,均超过了国内现行规范的推荐值0.45,应得到重视.

考虑畸变的起重机薄壁箱梁的自由振动分析
谭敏尧, 程文明, 李杭飞, 臧付连
2022, 57(5): 1040-1046. doi:10.3969/j.issn.0258-2724.20200613
摘要:

为了提高薄壁箱梁固有频率的计算精确度,基于广义坐标原理,对薄壁箱梁的动力特性进行了分析. 首先,通过虚功原理且考虑畸变形变的影响,获取了5种高度耦合模态(延伸、弯曲、扭转、翘曲和畸变)的自由振动微分方程组;其次,考虑转动惯性运动项的影响,建立了简支边界条件下的运动学模型,获得了薄壁箱形梁自由振动固有频率的四阶代数方程,进而求得固有频率的精确解;最后,通过算例将考虑畸变的固有频率精确解与Prokić 理论以及有限元分析方法的结果进行比较,验证了该方法的有效性和准确性. 结果表明:考虑畸变效应能够更准确地反映高阶状态下薄壁箱形梁的自由振动固有频率;对自由振动的4阶固有频率进行比较,当箱形梁长度为3 m时,本文理论的相对误差相较于Prokić 理论的0.42%下降至0.38%;当箱梁长度分别为4 m和5 m时,相对误差进一步下降至0.30% 和0.40%.

混凝土Ⅰ型裂缝扩展的氯离子渗透特征
张云国, 张俊俊, 韩玥
2022, 57(5): 1047-1054. doi:10.3969/j.issn.0258-2724.20200741
摘要:

为了研究荷载作用下混凝土结构裂缝扩展过程中的氯离子侵蚀问题,更加准确地描述不同扩展阶段裂缝周边的氯离子侵蚀特征,依据混凝土断裂准则,采用ANSYS参数化设计语言APDL进行二次开发,自编程序模拟了混凝土小梁Ⅰ型断裂裂缝开展过程;在断裂分析的基础上通过参数等效,采用结构-热分析方法,基于体应变-损伤变量-氯离子扩散系数一一映射关系,实现了混凝土裂缝扩展过程中各个阶段氯离子侵蚀的数值分析. 结果表明:不同裂缝扩展阶段,三点弯曲混凝土小梁裂缝周边氯离子侵蚀结果与试验结果吻合,荷载作用下混凝土裂缝尖端氯离子侵蚀呈现加剧现象,在混凝土结构耐久性寿命分析中起决定性作用;双 K 断裂准则和基于损伤参数的氯离子扩散模型能够模拟混凝土开裂过程氯离子侵蚀问题.

外掺丙烯酸镁水泥基材料的自修复性能
李福海, 高浩, 姜怡林, 文涛, 王江山, 余泳江
2022, 57(5): 1055-1062. doi:10.3969/j.issn.0258-2724.20200487
摘要:

以抗压强度修复率、裂缝修复率、电化学阻抗谱(EIS)为表征手段,对不同龄期、修复温度的水泥砂浆试件进行自修复性能试验,同时,结合SEM (scanning electronic microscope)探究了丙烯酸镁水泥基材料的自修复性能及微观机理. 试验结果表明:早龄期时丙烯酸镁修复体系对砂浆试件抗压强度修复及表观修复效果不明显,随着龄期增长,抗压强度修复效果逐渐显著,且7 d龄期试件表观裂缝修复率达100.0%;中高温有利于丙烯酸镁修复体系的自修复效果,但40 ℃ 以上提高温度对修复效果提升不再明显;电化学阻抗谱测试表明,28 d龄期时试验组的等效电路参数全面优于对照组;高龄期下丙烯酸镁修复体系的修复效果显著优于水泥基材料水化反应带来的修复效果.

复合成层地层浅埋隧道开挖地表沉降规律分析
袁冉, 熊维林, 何毅, 崔凯
2022, 57(5): 1063-1069. doi:10.3969/j.issn.0258-2724.20210473
摘要:

为探究本构模型对浅埋隧道开挖诱发地表沉降规律的影响,考虑摩擦性与临界状态土体本构模型,对复合成层地层浅埋隧道开挖诱发的地表沉降槽进行了分析. 首先,基于PlAXIS 3D有限元平台建立砂-黏复合地层浅埋隧道数值模型,材料模型选用3类本构模型(莫尔库伦(MC)、修正剑桥(MCC)、硬化小应变(HSS))及其组合模型;其次,利用参数等值转换关系,深入探讨了本构模型的选取对隧道开挖地表沉降槽宽度与深度的影响;最后,结合经验公式计算并对比分析,研究基于3类本构模型及其组合模型的沉降槽数值模拟与经验计算结果存在差异的原因. 结果表明:上、下地层均采用HSS模型时,最大沉降量及沉降槽宽度与经验公式的计算结果吻合度较高,最大沉降量相差不超过7.3 mm;上、下地层均采用MC模型时,出现地表隆起的不合理现象;下卧地层采用MCC模型、上伏地层分别采用MC模型和HSS模型,即采用MC -MCC模型和HSS -MCC模型时,其数值预测的最大沉降量高于经验公式计算值,达24.8 mm,而沉降槽形状相对于经验公式预测结果“窄而陡”;在针对HSS模型的参数敏感性分析中发现,若卸载再加载模量与初始剪切模量变化值为5%,将导致地表最大沉降量分别改变1.5%和1.0%.

溶蚀岩体各向异性力学性质的试验研究
穆成林, 李华东, 裴向军, 王超, 王睿
2022, 57(5): 1070-1076, 1112. doi:10.3969/j.issn.0258-2724.20210556
摘要:

溶蚀岩体通常对岩体工程稳定性具有关键控制作用. 为了揭示富含层理溶蚀岩体各向异性力学性质演化规律,分别针对不同溶蚀率( K = 0%,5%,10%,15%,20%)的岩体进行室内单轴抗压试验,获取每种溶蚀率条件下不同夹角( α = 0°,30°,45°,60°,90°)抗压强度和弹性模量,分析岩体破坏特征,依据试验结果建立含层理溶蚀岩体抗压强度和弹性模量的预测模型,并进行实验验证. 结果表明:抗压强度在 α = 0°,90° 时最大, α = 45° 时最小,整体呈现对称U形;弹性模量在 α = 60° 最小, α = 90° 最大,整体呈现不对称U形;完整岩体抗压强度以及弹性模量的各向异性指数最大,分别为1.98、3.05,随着溶蚀率增大其值逐渐减小, K = 20%时,分别为1.10、1.36;溶蚀率较小岩体变形破坏受岩体基质和层理控制,以劈裂、错动剪切和滑动剪切为主;随着溶蚀率增大,变形破坏受溶蚀孔隙和骨架控制明显,以骨架鼓胀剪切错动、压碎破坏为主.

隧道高地温的地质成因研究
胡政, 田茂中, 郭维祥, 刘金洋
2022, 57(5): 1077-1085, 1112. doi:10.3969/j.issn.0258-2724.20200180
摘要:

为研究隧道高地温的地质成因,以云南某在建高速公路隧道——尼格隧道为研究对象,该隧道兼有高水温与高岩温,最高水温达63.4 ℃,最高岩温达88.8 ℃. 从区域地质构造及地震特征、水化学特征、地热储特征等对区域性的热因控制、水源、热源、导热通道等进行了分析,利用氢氧同位素分析法、锶同位素分析法、微量元素分析法、放射性元素分析法等对隧址区的热水来源及演变过程、热源成因进行了研究,并结合隧道工程地质、水文地质条件及开挖揭示状况,对隧道高水温段及高岩温段的地质成因过程进行了剖析. 研究结果表明:灰岩段高水温的成因过程与花岗岩段高岩温有所差异,隧道高水温的成因过程为热源(深部热异常体)—主要传热通道(深循环)—次级传热通道—浅表水体混合、水岩作用,其过程伴随着冷热水混合作用、离子交换作用等;隧道高岩温的成因过程为热源(深部热异常体、放射性元素衰变生热)—主要传热通道(深循环)—次级传热通道—热气沿裂隙传至隧道岩体,其过程伴随着S元素的富集,易形成H2S或SO2有毒有害气囊.

颗粒离散元分层建模法及颗粒尺寸效应
陈龙, 吴顺川, 金爱兵
2022, 57(5): 1086-1095. doi:10.3969/j.issn.0258-2724.20210023
摘要:

离散元分析方法是研究岩石力学行为、完善岩石力学基础理论的重要工具之一,为提高颗粒离散元法模拟室内岩石力学及大规模工程尺度试验的精确度,提出分层建模法,该方法对岩石或岩体关注区域采用小尺寸颗粒进行精细化模拟,外侧非重点关注区域采用大尺寸颗粒建模以扩大计算区域. 采用分层建模法进行单轴压缩、巴西劈裂试验并与常规建模计算结果进行对比,初步验证了分层建模法模拟室内力学试验的可行性. 研究结果表明:分层建模法与常规建模一样受颗粒尺寸效应影响,但可以减少颗粒流模型中的颗粒数量,计算效率提高50%以上;分层模型的单轴抗压强度和起裂应力分别与外层对应的常规模型相比,最多仅减小2.7%和1.9%,匹配单轴抗压强度时可先以外层材料常规模型作参照,单轴抗压强度和起裂应力的变异系数(coefficient of variation,COV)普遍大于常规模型,但依然在2%的可接受范围内;分层模型中粒径分布的不均匀性对模型弹性阶段的变形性质影响较小,分层模型的弹性模量与外层对应的常规模型相比减小1.3% ~ 2.3%;分层模型的巴西劈裂抗拉强度与外层对应的常规模型增大了1.32% ~ 2.35%,宏观破裂特征与小粒径常规模型相似,但在加载板附近有更多的裂纹.

货运索道支架位置自动搜索方法
秦剑, 张飞凯, 李其莹, 刘晨
2022, 57(5): 1096-1102. doi:10.3969/j.issn.0258-2724.20210106
摘要:

针对货运索道支架位置自动搜索方法缺失的问题,提出了凸包点遍历法、地形自适应法和干涉点搜索法等3种索道支架位置自动搜索方法,均能够实现二维地形剖面上的索道支架位置自动搜索. 其中:凸包点遍历法在地形凸包点建立支架,通过冗余支架筛除获得支架位置;地形自适应法通过判断索道承载索曲线在下降过程中与地形的干涉条件确定支架位置;干涉点搜索法采用在承载索曲线与地形的最大干涉位置添加中间支架的方法实现支架位置搜索. 3种方法的支架位置搜索成功率差别不大,分别为9.12%、8.38%和8.26%,但干涉点搜索法的计算速度分别是凸包点遍历法和地形自适应法的5.8倍和3.5倍. 因此,在实际工程应用中,建议使用速度最快的干涉点搜索法进行输电线路货运索道支架位置自动搜索.

黏土与粉土复合地层及其中地铁隧道的车致长期沉降
马龙祥, 靳永福, 张超, 汪乐
2022, 57(5): 1103-1112. doi:10.3969/j.issn.0258-2724.20200685
摘要:

为了探明列车荷载对黏土与粉土复合地层及其中地铁隧道的长期影响,以无锡某地铁区段为研究对象,建立了轨道-隧道-地层系统的耦合2.5维数值模型,分析了运行列车诱发地铁隧道下覆黏土及粉土复合地层的动应力响应规律,进而结合循环荷载作用下黏土及粉土的不排水累积变形特征及孔压累积特征,采用分层总和法研究了列车振动荷载长期作用诱发该复合地层及其中地铁隧道的长期沉降量值及发展规律. 研究结果表明:1) 隧道下覆地基土的动偏应力沿深度方向呈先增大后减小的变化趋势,其最大值出现在隧道下覆约1.3 m深度处,可达2.80 kPa;2) 地铁列车运行导致复合地层中隧道结构的沉降主要发生在地铁列车前20万次运行期内,且隧道结构的沉降在此期间发展得较为迅速;3) 复合地层中隧道结构稳定后的车致沉降量值可达13.44 mm,其中由土体不排水累积塑性应变引起的沉降为11.40 mm,占比85%,由累积孔压消散引起的固结沉降为2.04 mm,占比15%;4) 隧道下覆黏土与粉土复合地层长期变形主要发生在隧道下方15 m范围内,该范围内的土体沉降对隧道结构长期沉降量值的贡献占比达90%.

外置可更换耗能装置的节段拼装CFST桥墩抗震性能分析
赵建锋, 刘雪飞, 孟庆一, 李晰
2022, 57(5): 1113-1121, 1145. doi:10.3969/j.issn.0258-2724.20200796
摘要:

为顺应桥墩震后使用功能快速修复的新要求,提高预制拼装桥墩在中、高烈度地震区的适用性能,提出了一种外置可更换耗能装置的节段拼装钢管混凝土(CFST)桥墩. 基于ABAQUS有限元分析软件建立了三节段后张预应力预制拼装CFST桥墩分析模型,对外置3种不同控制参数(截面贡献率、耗能钢棒长细比及其布置方式)耗能装置的桥墩模型在往复加载作用下的抗震性能进行了分析. 研究结果表明:外置耗能装置的节段拼装CFST桥墩墩身损伤可控,能够通过更换耗能装置等措施实现震后的快速修复;与未设置耗能装置的桥墩相比,该类桥墩的侧向承载力、初始刚度和耗能能力分别提升了11%~88%、2.86%~6.87%和2.3倍~12.9倍;为保证震后修复的可行性,建议耗能装置的截面贡献率宜低于1.9%;中部接缝处设置的耗能钢棒直径过小将阻碍墩底处耗能钢棒充分发挥耗能作用,耗能装置沿墩高方向布置的折减系数大于0.5;耗能钢棒长细比的改变会影响墩柱的抗侧强度和延性,长细比减小,桥墩耗能能力逐渐提升,但残余位移也逐渐增大,建议耗能钢棒长细比的取值宜大于4.5.

矩形截面单箱双室箱梁的畸变效应分析
王兆南, 张元海
2022, 57(5): 1122-1129. doi:10.3969/j.issn.0258-2724.20200813
摘要:

为准确研究单箱双室箱梁在偏心竖向荷载作用下的畸变效应,引入双室箱梁反对称和正对称畸变的概念,补充矩形截面单箱双室箱梁畸变研究的假定. 采用不同定义的畸变角分别描述箱梁的反、正对称畸变,用板元分析法和能量变分法分析单箱双室箱梁的畸变;采用2个参数分别描述顶板、底板和腹板上的畸变正应力分布,以适应双室箱梁正对称畸变;考虑正对称畸变对双室箱梁畸变效应的影响,比较对应单室和双室箱梁的畸变效应,研究中腹板厚度改变时双室箱梁畸变角沿梁长的变化. 研究结果表明:考虑了正对称畸变影响的单箱双室箱梁畸变正应力的解析解和有限元数值解更吻合,误差不超过8.71%;正对称畸变正应力较小,最大只占反对称畸变正应力的28.08%;箱梁中腹板能有效减弱偏心竖向荷载作用引起的箱梁畸变,可使角点处的畸变正应力降低到对应单室箱梁的49.09%;采用2个参数描述箱梁正对称畸变时各板件上畸变正应力的分布比传统方法的更合理;改变中腹板厚度可使单箱双室箱梁畸变发生明显的变化,厚度增大时畸变逐渐减小.

缅甸某悬索桥主缆开缆检测及承载力评估
陈小雨, 唐茂林
2022, 57(5): 1130-1136. doi:10.3969/j.issn.0258-2724.20200393
摘要:

为研究在役悬索桥主缆的腐蚀状况以及剩余承载力,对缅甸某服役25 a的悬索桥主缆进行开缆检测以及承载力评估. 首先,除去主缆外层防护,用楔子将主缆局部楔开,建立主缆开缆截面腐蚀分布图;其次,将实桥主缆钢丝分为4个腐蚀阶段,从缆内截取各阶段的样本钢丝进行实验分析;最后,采用简化模型对主缆剩余承载力进行评估. 研究结果表明:钢丝沿主缆径向由外向内腐蚀程度依次降低,最外层钢丝发生严重的基体腐蚀,样本钢丝腐蚀斑随腐蚀程度加深而尺寸逐渐扩大,钢丝强度和延展性随腐蚀程度加深而降低约3.50%和9.00%,上下游主缆强度降低约5.7%.

基于Reissner原理的波形钢腹板箱梁约束扭转分析
黄洪猛, 张元海
2022, 57(5): 1137-1145. doi:10.3969/j.issn.0258-2724.20210613
摘要:

为更加合理地分析波形钢腹板箱梁约束扭转效应,考虑波形钢腹板的褶皱效应推演了翘曲正应力和剪应力计算式,应用Reissner原理建立了波形钢腹板箱梁约束扭转控制微分方程,给出了不同于乌曼斯基第二理论的翘曲系数公式. 通过简支梁数值算例验证了所推导公式的正确性,并分析了腹板厚度和悬臂板宽度变化对箱梁横截面应力的影响. 研究结果表明:相对于乌曼斯基第二理论,基于Reissner原理计算的应力与有限元解吻合更好;按乌曼斯基第二理论与按Reissner原理计算的翘曲系数的比值可达到4.70;波形钢腹板主要承担剪应力,几乎不承担翘曲正应力,而顶底板既承担翘曲正应力也承担剪应力,应对顶底板予以重视,防止斜裂缝的产生;腹板厚度增大能减小翘曲正应力;随着悬臂板宽度的增大,当悬臂板宽度比大于0.10时,翘曲正应力减小,而当悬臂板宽度比大于0.30时,总剪应力几乎无变化.

瑞利面波椭圆极化在盾构隧道地层扰动探测中的应用
王天, 张立, 陈雨翔, 孙康, 刘争平, 冯栋, 陈善林
2022, 57(5): 1146-1155. doi:10.3969/j.issn.0258-2724.20211015
摘要:

为解决传统物探方法在城市盾构隧道工程中难以对地层扰动达到较好探测和监测目的,提出了主动源瑞利面波椭圆极化方法. 采用二维有限元数值模拟对实际盾构隧道施工背景下的地层情况进行全波场正演模拟,并对其波场传播、速度频散和椭圆极化频散等特征进行分析;结合工程实例,进一步将椭圆极化方法和传统速度频散方法进行对比研究. 研究结果表明:主动源瑞利面波椭圆极化方法在探测地下介质结构分布及监测地下空洞等异常结构的变化方面具有和传统速度频散方法同样的探测效果,但由于其不需要长大检波器排列,对周围环境震动等噪声抗干扰能力相对较强,因此更适合城市等场地受限和具有一定震动和噪声干扰的环境,从而具有更广阔的应用前景.

《江南娱乐网页版入口官网下载安装学报》投稿须知
2022, 57(5): 1156-1156.
摘要:
Baidu
map