• ISSN 0258-2724
  • CN 51-1277/U
  • EI Compendex
  • Scopus
  • Indexed by Core Journals of China, Chinese S&T Journal Citation Reports
  • Chinese S&T Journal Citation Reports
  • Chinese Science Citation Database

2025 Vol. 60, No. 3

Display Method:
Impact of Interconnected Power Supply for Electrified Railways on Power Grids and Its Solutions
LI Qunzhan
2025, 60(3): 533-540, 549. doi:10.3969/j.issn.0258-2724.20240503
Abstract:

To realize the interconnected power supply for electrified railways, it is essential not only to address the bilateral power supply between two or more traction substations within the railway network but also to solve the impacts of interconnected power supply for railways on power grids. In this paper, the influence of single-end and interconnected power supply systems on the grid, as well as their differences, was compared, and the feasibility of bilateral power supply according to the grid loop closing regulation was discussed. A calculation model of through power for the interconnected power supply was developed, and a method for monitoring the through power was proposed. Three types of solutions for through power were introduced: tree-structured power supply, co-built substation, and through power utilization. A multi-functional intelligent traction substation was then proposed, integrating negative sequence control and regenerative power utilization to mitigate the adverse effects on the power grid. This can facilitate broader implementation of interconnected power supply in railways, eliminate phase separation, and address areas without power. The finding indicates that when power is supplied by dedicated lines from the grid and the distance between traction substations does not exceed 80 km, the voltage difference in the closed loop remains below 16.00% for a bilateral power supply, and the phase angle difference is within 12.00°, both of which are within the specified limits for loop closing regulation. Compared to the co-phase single-end power supply, interconnected power supply shows better performance in solving the issue of through power in power grids. Additionally, it enhances the utilization of regenerative power, offering better technical performance.

Optimal Design of Power Supply Scheme for Sharing Resources in Urban Rail Interchange Stations
LIU Wei, DENG Haotian, XU Qian, RAO Xiaoming
2025, 60(3): 541-549. doi:10.3969/j.issn.0258-2724.20230146
Abstract:

In the context of power supply resource sharing between different lines through interchange stations, optimizing the power supply system design can help reduce active power losses in the network. By considering the constraints of multi-operation scenarios, a novel optimal design method for a power supply scheme for sharing resources in urban rail interchange stations based on a triple-checking algorithm was proposed. A topological model for centralized power supply systems for urban rail and a mathematical model for resource sharing in interchange stations were established. A multi-branch tree topology search was employed to generate a candidate solution set, which was then optimized using the triple-checking algorithm to identify the optimal power supply scheme with the lowest active power loss in the network. An analysis was performed using the actual power supply system of five lines as an example. The results show that compared to the traditional main substation-based power supply scheme for sharing resources, the proposed power supply scheme for sharing resources in urban rail interchange stations reduces the initial construction costs of the overall power supply system and reduces annual operational network losses by 2 296.580 MW•h.

Hybrid Energy Storage Capacity Configuration for Traction Power Supply Systems Considering Ladder-Type Carbon Trading Mechanism
GUO Wenkai, WANG Guo, MIN Yongzhi
2025, 60(3): 550-560. doi:10.3969/j.issn.0258-2724.20230693
Abstract:

To promote the low-carbon transformation of the railway industry in the context of “carbon peaking and carbon neutrality” , a hybrid energy storage capacity configuration method was proposed, with an optimization objective of minimizing the total cost of the traction power supply system. Firstly, by considering factors such as multi-source complementarity and efficient consumption of new energy, a comprehensive energy system framework integrating new energy generation systems, electric–hydrogen hybrid energy storage systems, and traction power supply systems was constructed, and trading schemes for the carbon trading market were provided. Secondly, a planning–operation model was developed. The electric–hydrogen hybrid energy storage configuration scheme was determined at the planning level, and a ladder-type carbon trading mechanism was introduced at the operation level to calculate the daily operating cost of the traction power supply system. Finally, the improved seagull optimization algorithm was utilized to solve the model, and the actual data of the traction power supply system and new energy were combined to verify the effectiveness of the proposed model. The results show that compared with that of scenarios considering only ladder-type carbon trading schemes or electric–hydrogen hybrid energy storage schemes, the total system cost of the proposed method is reduced by 48% and 36%, respectively, while the renewable energy curtailment rate decreases by 11% and 3%, respectively. Compared with that of scenarios considering only ladder-type carbon trading combined with single energy storage media (battery or hydrogen energy storage), the total system cost is reduced by 19% and 40%, respectively, while the new energy consumption rate is improved by 4% and 6%, respectively.

Nonlinear Buckling Analysis of Suspended Domes Considering Initial Curvature of Members
JIANG Zhengrong, QIU Junming, SHI Kairong, SU Changwang
2025, 60(3): 561-568. doi:10.3969/j.issn.0258-2724.20230234
Abstract:

In order to reveal the influence laws of the initial curvature of members on the stability bearing capacity of suspended domes, a nonlinear buckling analysis of suspended domes was carried out by applying the multi-beam method to simulate the initial curvature of members and the random imperfection mode method to introduce the initial curvature of members with different shapes and amplitudes. The overall imperfection and the initial curvature of members were introduced to investigate the effect of the two kinds of imperfections imposed jointly on the structural stability behaviors. The results show that the mean coefficients of stability bearing capacity of suspended domes are significantly reduced when only the initial curvature of members is considered, and the maximum reduction is 33.84%, which indicates that the structure is sensitive to the initial curvature of members. Compared with the sinusoidal full-wave, the sinusoidal half-wave as the shape of initial curvature is more unfavorable to the structural stability. When the overall imperfection and the initial curvature of members are both considered, the coefficients of stability bearing capacity are further reduced for the suspended domes compared with the perfect structure, with the maximum reduction being 44.80%, but the reductions are smaller than the sums of reductions when the two kinds of imperfections are introduced separately. The joint action of the two kinds of imperfections has coupling effects on the structural stability bearing capacity, which weakens the adverse effects when the two kinds of imperfections are introduced separately to some extent.

Restraints on Seismic Performance of Slab Stone Walls of Tibetan and Qiang Residential Buildings by Reinforcement Skeleton System
MO You, YANG Baoshan, BAO Zhonghui, XU Yuanmin, CHEN Fan, LIU Baijiang, CHEN Feiyang, ZENG Yusheng
2025, 60(3): 569-579, 598. doi:10.3969/j.issn.0258-2724.20230235
Abstract:

In order to improve the seismic performance while maintaining the original style of the slab stone walls of Tibetan and Qiang residential buildings, the construction method of putting restraints on the slab stone walls of Tibetan and Qiang residential buildings by using a reinforcement skeleton system was proposed. Firstly, a typical wall of stone and wood structure in Lixian County was selected as the prototype, and a 1/2 scale ordinary slab stone wall W-1 and a wall W-2 with reinforcement skeleton system were designed. Secondly, comparative pseudo-static tests were carried out to study the failure forms, hysteretic properties, energy dissipation capacity, and deformation capacity of the two walls. Finally, the skeleton curves and hysteretic curves of the two walls were obtained by ABAQUS finite element numerical simulation and compared with the experimental results. The results show that the failure process of the wall under low cyclic load has an obvious stress stage, as well as crack initiation, expansion, and failure stages. Compared with those of the ordinary slab stone wall, the ultimate bearing capacity, energy dissipation performance, and failure displacement of the slab stone wall with reinforcement skeleton system are increased by 225%, 183%, and 67%, and the cracking and damage degree of the wall are significantly reduced. The trend of skeleton curves obtained by numerical simulation and experiment is similar, with a S-shaped pattern. The shapes of hysteretic curves are different, but the hysteretic ring area of W-2 is larger than that of wall W-1. The ultimate loads of W-1 and W-2 obtained by numerical simulation are 21.62 kN and 78.04 kN, respectively, with a relative error of less than 20% compared with the ultimate load measured by the experiment.

Analysis of Longitudinal Force Distribution Characteristics and Arching Mechanism of Longitudinally Connected Track Slabs in Bridge-Subgrade Transition Section
CAI Xiaopei, WANG Changchang, DONG Bo, CHEN Zelin, ZHANG Qian
2025, 60(3): 580-588. doi:10.3969/j.issn.0258-2724.20230424
Abstract:

The mechanical behavior of longitudinally connected ballastless track slabs in the transition section of subgrade and bridge is complex, and arching disease is frequent. The П-type end spine ballastless track in the transition section of subgrade and bridge was taken as the research object, and a track-bridge-end spine-subgrade integrated finite element model was established. The bilinear cohesive force model was introduced to simulate the bonding relationship between the slabs and the interlayers, and the longitudinal force distribution of the longitudinally connected track slabs in the transition section of subgrade and bridge under different temperature loads and end spine displacements was analyzed. The stress-sensitive area of the end spine, namely, the longitudinal stress characteristics of the track slabs at the junction of the transition section and the supporting layer and the relationship between the extrusion deformation of the junction and the arching deformation, were studied. The results show that the longitudinal compressive stress level of the track slabs at the main end spine and the junction of the transition plate and the supporting layer is the highest, and the maximum value under the extreme positive temperature gradient is 19.91 MPa. The friction plate and the bridge section are small, which corresponds to the limit capacity of each structure of the end spine. With the development of diseases such as deterioration and void of subgrade materials, the longitudinal resistance and interlayer friction decrease continuously, which leads to the increase in longitudinal deformation of the end spine, the decrease in longitudinal stress of the track slabs in the end spine area, and the increase in longitudinal stress of the supporting layer of the junction. When the longitudinal deformation reaches 6 mm, the longitudinal compressive stress of the supporting layer of the junction reaches 18.55 MPa, and the crushing risk of the structure is very high. The compressive arching of the junction greatly affects the bonding between the slabs and the layers of the track structure and increases the risk of arching disease. The research results can provide a reference for further optimizing and renovating the diseases of the transition section of the longitudinally connected ballastless track slabs and ensuring the safe and stable operation of high-speed railways.

Determination Method of Rock Strength Based on Digital Drilling Parameters
JIA Chaojun, CHEN Fanlei, LEI Mingfeng, HUANG Juan, SHI Chenghua, LIU Di
2025, 60(3): 589-598. doi:10.3969/j.issn.0258-2724.20230328
Abstract:

Rock strength is a critical parameter for assessing rock stability and safety. Efficient and accurate prediction of rock strength can effectively guide tunnel excavation and support. Digital drilling parameters and mechanical property data of rock were collected from various devices. By analyzing energy transfer during the drilling process, a quantitative relationship between digital drilling parameters and uniaxial compressive strength (UCS) was established. Meanwhile, machine learning methods were employed to develop a rock strength prediction model based on drilling parameters. Four algorithms, including a back-propagation (BP) neural network, random forest, convolutional neural network (CNN), and long short-term memory network were chosen to compare their prediction effects and identify the optimal model. The results indicate that compared to the theoretical formulas and the other three machine learning algorithms, the BP neural network algorithm excels in rock strength prediction, with a root mean square error of 5.794, a mean absolute error of 4.129, and a correlation coefficient of 0.9749 .

Nonlinear Aerodynamic Force Identification and Nonlinear Flutter Analysis Based on Autoencoder
MEI Hanyu, LIAO Haili, WANG Changjiang
2025, 60(3): 599-607. doi:10.3969/j.issn.0258-2724.20230261
Abstract:

In order to identify the nonlinear aerodynamic forces and calculate nonlinear flutters of a nonlinear dynamic system, an autoencoder model based on the neural network method and numerical solution of motion equation was proposed. The 5∶1 rectangular cross-section was taken as the research object. Through free vibration wind tunnel tests of the sectional model, the amplitude dependence of the nonlinear damping and the steady-state amplitude responses of the nonlinear flutter of the system were tested, and it was clarified that the tested cross-section had the only steady-state flutter response at different reduced wind speeds. Based on the experimental data, the proposed autoencoder model was trained. The nonlinear aerodynamic force encoder model that accurately described displacement and speed was obtained to realize motion time-history analysis of the nonlinear flutter of the 5∶1 rectangular cross-section under different dynamic parameters. Research results show that the proposed autoencoder model can accurately identify the nonlinear aerodynamic force time-history containing high-order harmonic components only by relying on a free vibration wind tunnel test without the need to carry out force or pressure tests; the proposed model can accurately reproduce the motion time-history of nonlinear flutter under different initial conditions and the steady-state amplitude responses at different reduced wind speeds. The maximum error of torsional steady-state amplitude is less than 5%, and the average error is 1.15%. It has high extensibility and can provide a reference for subsequent related research.

Freeze-Thaw Damage Characteristics of Anhydrite Rock Pore Structures Based on Nuclear Magnetic Resonance Technology
HOU Chao, JIN Xiaoguang, HE Jie, FANG Zhiyuan
2025, 60(3): 608-617. doi:10.3969/j.issn.0258-2724.20230314
Abstract:

In order to study the damage characteristics of meso and micro pore structures of gypsum rock subjected to freeze-thaw cycles in cold regions, anhydrite rock was taken as the research object, and the porosity, pore size, and pore throat distribution characteristics of anhydrite rock were obtained based on nuclear magnetic resonance (NMR) experiments. According to fractal theory, the calculation formulas of the fractal dimension of pore size and pore throat of rock were derived, and the influence of freeze-thaw cycles on the fractal dimension of pore structures of anhydrite rock was discussed. The relationship among different pore structures, fractal dimensions of pores, and porosity was established, and the pore structure types that had a greater impact on porosity were revealed. The results show that the pore size of anhydrite rock under freeze-thaw cycles presents a “three-peak” distribution. With the increase in freeze-thaw cycles, the micropore ( r ≤0.100 μm), PT-Ⅰ ( r ∈(0, 0.100] μm) of pore throat, fractal dimension of pore ( D P), and fractal dimension of pore throat ( D PT) decrease exponentially. While, the mesopores ( r ∈(0.100, 1.000) μm), macropores ( r ≥1.000 μm), PT-Ⅱ( r ∈(0.100, 4.000] μm) of pore throats, and porosity increase exponentially. It can be concluded that larger pores, as well as smaller pore throats and fractal dimension of pore throats, have a greater influence on the porosity of anhydrite rock.

Characteristics of Seepage Field and Structural Safety Analysis of Small Interval Tunnels with Asymmetric Seepage Boundaries
YU Bingxin, CHEN Ziquan, HE Chuan, LI Zheng, CAI Penglin, ZHANG Hang
2025, 60(3): 618-627. doi:10.3969/j.issn.0258-2724.20230408
Abstract:

To study the characteristics of the seepage-stress field and the safety of the lining structure of small interval tunnels under asymmetric seepage boundary conditions, based on the Liantang Tunnel in Shenzhen, China, a seepage model experiment for the small interval tunnels was developed. In addition, through model experiment and analog simulation, the distribution law of seepage water pressure in the surrounding rock of the small interval tunnels under unilateral water source conditions was analyzed, and the evolution law of the seepage field and the safety of the lining at different distances from the water sources were revealed. The results indicate that the surrounding rock seepage field of the small interval tunnels exhibits a significant asymmetric distribution under unilateral water source conditions. The water level decreases nonlinearly from the water replenishment boundary to the other side. Besides, the water pressure in the surrounding rock near the tunnels is distributed in an asymmetric “W” shape. The asymmetric distribution of the surrounding rock seepage field leads to the asymmetry of water pressure, water inflow, and safety coefficient in the left and right tunnels. Compared with the tunnel farther from the water source, the average water pressure and water inflow of the tunnel closer to the water source increases by 10.4% and 5.5%, respectively, and the safety coefficient decreases by 3.0%. Moreover, the water pressure asymmetry of the tunnel closer to the water source is more significant. The asymmetry of water pressure distribution in the surrounding rock and lining slightly increases from the construction period to the operation period. As the distance from the water sources increases, the water pressure of the lining linearly decreases, and the safety coefficient and the asymmetry coefficient of the water pressure increase. The research results can provide a reference for the construction and operation of tunnels with asymmetric seepage boundaries in water-rich areas.

Comparison of Shear Behaviors of Different Concrete-Filled High-Strength Steel Tubes
WANG Jiali, WANG Ying, CHEN Xiwen, YANG Dongxu, LAI Zhichao
2025, 60(3): 628-638. doi:10.3969/j.issn.0258-2724.20230485
Abstract:

A total of 16 concrete-filled high-strength steel tube specimens were designed to evaluate the effects of shear-to-span ratio and concrete strength on the shear behavior of concrete-filled high-strength steel tube specimens. The failure mode and shear-displacement curve of the specimens were obtained through the test, and the effects of shear-to-span ratio, core concrete strength, and other parameters on the failure mode, shear-displacement curve, shear-shear strain curve, shear strength, and shear stiffness were compared. The results show that similar to conventional concrete-filled steel tube specimens, the shear-to-span ratio is the key parameter controlling the failure mode of the concrete-filled high-strength steel tube specimens. When the shear-to-span ratio is 0.2 or 0.5, shear failure occurs; when the shear-to-span ratio is 0.8 or 1.0, shear-flexural failure occurs. By implementing ultra-high performance concrete (UHPC), the deformation capacity of the concrete-filled high-strength steel tube specimens (with a shear-to-span ratio of 1.0) is reduced by 61.4%. However, shear strength and stiffness increase by 38.9% and 85.7%, respectively. Additionally, local buckling of the steel tubes is effectively delayed, and the damage degree of the specimens is reduced. The inclination angle of the main diagonal cracks in the core concrete decreases with an increase in the shear-to-span ratio but is not affected by the concrete strength. The average value of tested shear strength/calculated shear strength ( V exp/ V u) is 0.97, with a deviation of 0.03, showing higher accuracy and smaller dispersion. It is considered that the formula can accurately predict the shear strength of concrete-filled high-strength steel tubes.

Experimental Study on Rapid Determination of Soil Gravimetric Water Content and Dry Density Based on Frequency Domain Reflectometry Combined with Static Penetration
ZANG Yaohui, WANG Liujiang, MAO Hangyu, LIU Biao, LIU Sihong, FU Zhongzhi
2025, 60(3): 639-647. doi:10.3969/j.issn.0258-2724.20230639
Abstract:

To overcome the labor-intensive and time-consuming limitations of conventional methods for determining soil gravimetric water content ( w ) and dry density ( ρ d), a rapid determination method integrating frequency domain reflectometry (FDR) and static penetration was developed. Parameter calibration tests were conducted to establish a second-order response surface model describing the relationships between dielectric constant, electrical conductivity, and penetration resistance with respect to w and ρ d, along with the introduction of a conductivity correction model. Systematic validation was subsequently performed on the applicability and advantages of this method through preliminary verification tests, laboratory model tests, and inversion calculations utilizing particle swarm optimization. The results indicate that the second-order response surface model effectively captures the complex multivariate relationships between soil dielectric constant, electrical conductivity, and penetration resistance with respect to w and ρ d, with correlation coefficients exceeding 0.950. The integration of penetration resistance measurements into the FDR method effectively mitigates issues of non-unique inversion solutions and anomalies associated with measuring only dielectric constant and electrical conductivity, reducing the root mean square errors for w and ρ dfrom 3.838 and 0.143 to 0.853 and 0.069, respectively. Compared to the traditional FDR method, the proposed method significantly improves detection accuracy, with maximum errors for w and ρ dlimited within [−1.5%,1.5%] and [−0.1,0.1] g/cm3, respectively.

Influence of Stress-Free Temperature Difference on Force Characteristics of Seamless Turnouts in Plateau Areas
GAO Yuan, YANG Dongsheng, WANG Shuguo
2025, 60(3): 648-655. doi:10.3969/j.issn.0258-2724.20230222
Abstract:

To investigate the feasibility of laying seamless turnouts in plateau areas and the influence of plateau climate on the stability of seamless turnouts across areas, the effect of stress-free temperature difference on the force characteristics of seamless turnouts under different climates, elevations, and structural types was analyzed. First, based on the physic-geographical environment and operating conditions of railways in plateau areas, the typical seamless turnouts of the Qinghai−Xizang line during upgrading were selected as research objects, and then the parameter tests of key force transmission components with force characteristics in turnouts under different structural types were conducted, clarifying the influence of the low temperature of plateau climate on resistance force of fasteners and ballast beds. At last, the calculation model of seamless turnouts considering the multi-field coupling effect and plastic resistance force was established, and the relationship between stress-free temperature difference and stress deformation of seamless turnouts was revealed. The results show that when the temperature difference is high, the growth rate of temperature additional force induced by stress-free temperature difference increases from 4.5 kN/℃ (Daqiongguo Station) to 6 kN/℃ (Tanggulabei Station); the stress-free temperature difference between seamless turnouts and adjacent lines or adjacent turnouts has great impact on stress formation of seamless turnouts, and the growth rate of lateral displacement caused by the stress-free temperature difference of the line/turnout rail section increases from 0.010 mm/℃ (Daqiongguo Station) to 0.011 mm/℃ (Tanggulabei Station). The impact of the stress-free temperature difference between left/right or straight/side rails on turnout stability is small. In plateau areas, the turnout involves the locking of multiple strands of rail, which is easy to cause a large stress-free temperature difference. To increase safety redundancy, the stress-free temperature difference should be controlled within [−3, 3] ℃, while that of the adjacent rail section should be no more than 5 ℃.

Comparison of Stress-Dilatancy Rules and Research on Stress-Dilatancy Rule for Rocks
LIANG Jiguan, HUANG Linchong, MA Jianjun, CHEN Wanxiang
2025, 60(3): 656-664. doi:10.3969/j.issn.0258-2724.20230231
Abstract:

In order to evaluate the prediction accuracy of typical stress-dilatancy rules on the mechanical response of common geomaterials, propose a stress-dilatancy rule suitable for rocks, and improve the accuracy of constitutive models, typical stress-dilatancy rules were compared with experimental data to propose a stress-dilatancy model suitable for rocks. Firstly, based on the thermodynamic framework and the energy conservation equation, three typical stress-dilatancy models were sorted out, and the stress-dilatancy data of various geomaterials were compared with those typical stress-dilatancy rules. Then, by taking the Rowe dilatancy model as the basic framework and considering the influence of various factors, an improved Rowe stress-dilatancy model suitable for rocks was proposed, and its fintness on the experimental data was analyzed. The fitness of the proposed model and the variable dilatancy angle model on the evolution of dilatancy angle during loading was compared. Finally, the modified Rowe dilatancy rule was coupled with the modified Cam-clay model, and the simulation results and test data of the classical modified Cam-clay model were compared and verified. The results show that the classical stress-dilatancy rule based on the pure friction hypothesis cannot accurately describe the stress-dilatancy response of geomaterials with cohesion due to the influence of cohesion. The modified Rowe dilatancy model can effectively reflect the stress-dilatancy response of rock and simulate the “turning hook” phenomenon in the data. Furthermore, the proposed stress-dilatancy model is not only simple in form but also has fewer parameters than the mobilizing dilatant angle models. The proposed modified Rowe dilatancy model can improve the accuracy of the constitutive model in deformation prediction.

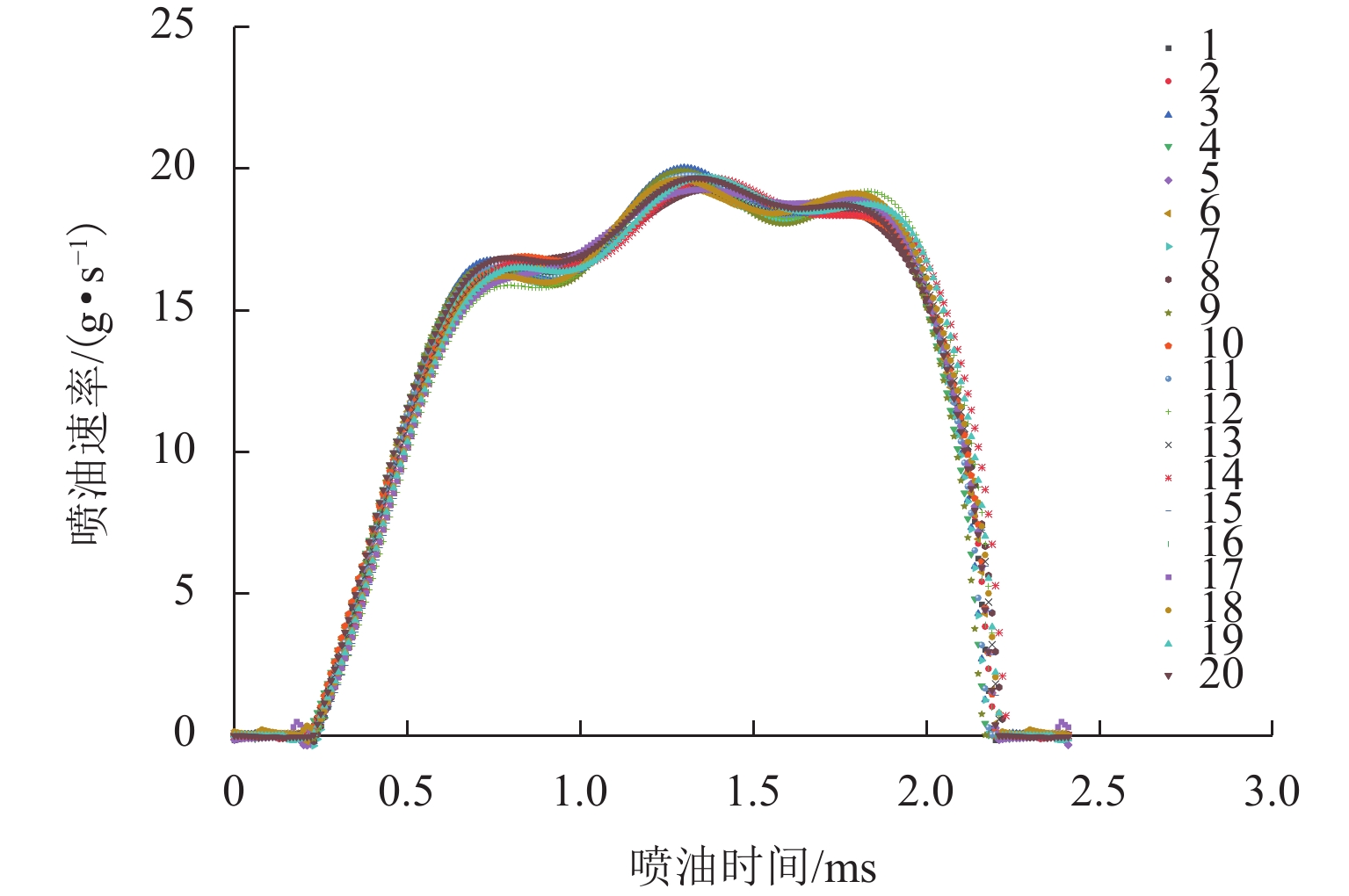
Experimental Study on Injection Stability of Common Rail Injector Based on Spray Momentum Method
ZHAO Jianhui, XU Yu, YANG Guichun, XU Dan, WANG Wei
2025, 60(3): 665-670. doi:10.3969/j.issn.0258-2724.20230335
Abstract:

In order to study the injection law of each nozzle hole of the common rail injector, an injection pattern measuring device for multi-hole injectors was developed based on the momentum method. Under different load conditions, the developed device was used to measure the injection rate of each nozzle hole of the injector, and the difference was compared with the measurement results of the commercial single injection instrument EMI 2. Under different injection pressures, the injection stability of the single injection hole was studied. The research findings indicate that at low injection pressure, the fluctuation rate of the injection decreases with increasing injection pulse width, with an overall fluctuation rate of 10%–20%. At this point, the needle valve cannot fully open, leading to significant fluctuations in the injection due to unstable fuel flow between the needle valve and its seat. At high injection pressure, the needle valve is more likely to reach maximum lift, and thus the inconsistency in nozzle hole parameters becomes the key factor causing fluctuations in the nozzle hole injection. Within the range of injection pulse width of 0.5–2.0 ms, the fluctuation rate of the injection is within 5%, much lower than the fluctuation rate of nozzle hole injection under low injection pressure conditions. This indicates that the inability of the needle valve to reach maximum lift is the primary cause of injection instability in common rail injectors.

Research on Vehicle Head-on Collision Accident Reconstruction System Based on Inverse Analysis
LIU Yongtao, GAO Longxin, FANG Tengyuan, YAN Xingpei, YANG Jingshuai, HUA Haining
2025, 60(3): 671-678. doi:10.3969/j.issn.0258-2724.20240169
Abstract:

To enhance the precision and effectiveness of vehicle collision reconstructions, equations for calculating collision velocities were formulated based on the conservation of momentum and angular momentum. By using rotational transformations of the collision coordinate system, an analytical model of the vehicle dynamics at the moment of collision was developed. Subsequently, the collision process was segmented for analysis, and a three-dimensional dynamic model of the vehicle body was developed. Fianlly, by utilizing 3D MAX and OpenGL graphics technology, along with fundamental database techniques, a collision reconstruction system was designed, and simulation analyses of real-world head-on collision cases were performed to verify its accuracy and effectiveness. The findings reveal that the system achieves an average relative error of less than 5.1% in simulated vehicle speeds, with an average trajectory alignment correlation of 0.85. This system effectively resolves the analytical challenges of inverse uncertainty equations at the moment of collision.

Iterative Optimization Design for Dynamic Performance Parameters of High-Speed Trains
JIANG Jie, DING Guofu, ZOU Yisheng, ZHANG Haizhu, HUANG Haiyu, LI Rong, ZHANG Jian
2025, 60(3): 679-687, 697. doi:10.3969/j.issn.0258-2724.20220071
Abstract:

To optimize the dynamic performance parameters of high-speed trains, an iterative design framework for dynamic performance optimization of high-speed trains was established. First, dynamic design parameters were extracted, and a dynamic performance analysis model was constructed. Next, the design space was reduced through importance analysis of the design parameters combined with self-organizing mapping, and an experimental dataset of performance parameters was generated through multidisciplinary coupled simulation. Finally, a multi-objective optimization model was established under multiple working conditions. Based on Bayesian optimization and random forest, a surrogate model for multiple working conditions was developed. An improved non-dominated sorting genetic algorithm Ⅱ (NSGA-Ⅱ) was employed to identify a set of optimal design parameters. Following optimization, the experiment conducted under a representative working condition demonstrates performance improvements of 1.14%, 3.19%, 2.86%, 2.30%, 8.33%, 2.77%, and 8.11% in lateral ride comfort, vertical ride comfort, vertical wheel-rail force, lateral wheelset force, derailment coefficient, wheel load reduction ratio, and overturning coefficient, respectively. These findings validate the feasibility and effectiveness of the proposed iterative design method, providing references for the forward innovative design of complex equipment.

Dimensional Synthesis Approach for Planar Open Path Based on Chord Angle Descriptor
ZHU Liuxian, WEI Wei, LI Li
2025, 60(3): 688-697. doi:10.3969/j.issn.0258-2724.20230148
Abstract:

To deal with huge computation and low retrieval efficiency in extracting planar open path features by a numerical atlas method, a dimensional synthesis approach was proposed for planar open paths based on chord angle descriptors. Firstly, by using the invariance of translation, rotation, and scaling of chord angle descriptors, the open path shape features independent of the frame position, orientation, and overall scaling of linkages were obtained. Secondly, based on the self-contained properties of chord angle descriptors, a partial matching algorithm not affected by the sampling resolution was proposed for open paths. Furthermore, the chord angle descriptors were compressed into two-dimensional features by multi-dimensional scaling. The numerical atlases of 16 000 groups of planar four-bar linkages were established by combining the hierarchical clustering algorithm. On this basis, the linkage dimension type suitable for design requirements was retrieved according to the similarity between the chord angle descriptors and those in the atlases. Finally, this method was validated by two-dimensional synthesis examples of planar open paths. The research findings show that overall dimensional results of planar open paths satisfying the design requirements can be achieved through the dimensional synthesis approach, and normalization is not required for paths. Compared with that of the curve descriptor, the curvature descriptor, and the Fourier descriptor of the B sample, the total open path matching time of the chord angle descriptors decreases by 43%, 35%, and 38%, respectively.

Time-Dependent Reliability Analysis of LS-FA-211001 Suction Anchor Under Cyclic Load
YANG Shunqi, QIAN Huaming, ZHONG Zeqi, XU Guohua, HUANG Hongzhong
2025, 60(3): 698-703. doi:10.3969/j.issn.0258-2724.20230185
Abstract:

To effectively evaluate the reliability level of the LS-FA-211001 suction anchor during application, the cumulative effect of external loads was considered, and a time-dependent reliability model was established under cyclic loads. The time-dependent reliability analysis of the suction anchor was carried out based on the quantified uncertainty data. The Monte Carlo simulation (MCS) method was adopted to verify the reliability of the suction anchor. The results show that the life of LS-FA-211001 suction anchor can reach 100 times even in harsh exploratory points under the reliability of being over 95%. At the same time, under different cycles of load, the error of the time-dependent reliability model of the suction anchor established in this paper is less than 2.15% compared with the reliability results evaluated by the MCS method, which verifies the effectiveness of the proposed method.

Cutter Layout on Special-Shaped Cutterhead for Shaft Boring Machine
HUANG Hongying, GUAN Huisheng, MU Guowang, LUO Yi, XIE Yuan
2025, 60(3): 704-713, 730. doi:10.3969/j.issn.0258-2724.20230496
Abstract:

In order to solve the problem of difficult cutter layout on a W-shaped cutterhead for a shaft boring machine, the influence of cutter installation and arrangement parameters on the rock breaking effect of cutters was studied based on the discrete element method, and the overall layout optimization scheme of cutters was obtained by particle swarm optimization algorithm. Firstly, the two-dimensional discrete element model of the cooperative rock breaking of cutters at the depression area and the conical surface of the tunnel face was established, respectively. Then, the cooperative rock breaking effect of cutters with different cutter spacing at the depression area was studied, and the influence of different cutter spacing and tilt angles at the conical surface on the rock breaking condition, cutter load, and rock breaking efficiency was revealed. The reasonable cutter spacing and tilt angle at the conical surface were obtained by taking the specific energy of rock breaking as the index. Finally, it was found that the star-shaped layout was suitable for cutters on the special-shaped cutterhead, and the particle swarm optimization algorithm was used to optimize the cutter layout scheme. The results show that cutter spacing of cutters should be reduced at the depression area of the phyllite strata. When cutters on the special-shaped cutterhead at the conical surface adopt the vertical conical installation method, the rock breaking efficiency is higher. After the optimization of the cutter layout, the radial load of the special-shaped cutterhead is reduced by 24.07%, and the resultant moment of the cutterhead is reduced by 40.83%. The research results can provide a reference for cutter layout on the special-shaped cutterhead in shaft engineering.

Cause of Rail Corrugation on Ladder Sleeper Track
SONG Qifeng, CHEN Guangxiong, DONG Bingjie, ZHANG Juncai, FENG Xiaohang
2025, 60(3): 714-721. doi:10.3969/j.issn.0258-2724.20230573
Abstract:

To study the formation mechanism of inner rail corrugation on the ladder sleeper track in the small-radius curve, a finite element model of the leading wheelset–ladder sleeper track system was developed based on the theory that self-excited frictional vibration triggered by saturated wheel-rail creep force causes rail corrugation. In this model, solid elements were used to model the fastening system. Complex eigenvalue analysis and transient dynamic analysis were applied to solve the motion stability and dynamic time-domain response of the wheel-rail system, respectively. Furthermore, the effects of the parameters of the cushioning pad and ladder sleeper structure on the self-excited frictional vibration of the wheel-rail system were studied. The results show that the self-excited frictional vibration with a frequency of 150 Hz caused by the saturated wheel-rail creep force is the cause of inner rail corrugation on the ladder sleeper track in the small-radius curve section. The predicted corrugation wavelength is 69 mm, which agrees well with the measured wavelength. Parameter sensitivity analysis shows that increasing the damping of the lateral cushioning pad and laying ladder sleepers with a spacing of 1.25 m between lateral steel pipes can suppress rail corrugation on the ladder sleeper track to a certain extent.

4D Trajectory Prediction of Continuous Descent Operation in Congested Terminal Control Area
WANG Chao, CHEN Hanlu, QIN Hongkun, LIU Bo
2025, 60(3): 722-730. doi:10.3969/j.issn.0258-2724.20230380
Abstract:

In order to implement continuous descent operation (CDO) in a congested terminal control area and estimate its CO2emission reduction benefits, a 4D trajectory prediction method for CDO based on data drive and optimal control theory was proposed. Firstly, the affinity propagation trajectory clustering method was employed to recognize typical horizontal arrival routes. According to typical horizontal arrival routes, a multi-phase optimal control model for CDO in vertical profiles was established, with the objectives of minimizing time and fuel consumption. Additionally, a novel solving method, namely genetic algorithm-based CDO (GACDO) for optimal control model was proposed. Finally, 4D trajectory prediction and emission reduction benefit comparison experiments in typical horizontal arrival route identification and CDO modes were conducted by using actual trajectory data in the terminal control area. The experimental results show that ideal 4D trajectories for CDO can be achieved. With the minimum time as the optimization objective, the average operation time and CO2emission are reduced by 26% and 8%, respectively. With the minimum fuel consumption as the optimization objective, the operation time and CO2emission are decreased by 17% and 20%, respectively.

Crew Rostering Schedule Optimization for Urban Rail Transit Through Resource Sharing
LIU Gehui, JIN Hua, PENG Qiyuan, LIU Ling, RAN Xinchen, LAN Zhen
2025, 60(3): 731-740. doi:10.3969/j.issn.0258-2724.20230165
Abstract:

Given the context of network-level operation conditions of urban rail transit, crew resource sharing is significant for resource allocation optimization, operation cost reduction, and transport efficiency improvement. Firstly, targeted at existing fixed rostering patterns in urban rail transit systems, crew resource sharing among various lines was applied to crew rostering schedules. By considering cross-line duty and attendance and departure preferences of the crew based on traditional single line rostering, a crew rostering optimization model was proposed to achieve coordinated optimization of crew schedules for regional line networks. Secondly, the crew was grouped according to preferences for attendance and departure locations, and crew rostering in the groups was optimized separately, so as to balance the workload for crew rostering schedules. A quantified index was brought up to evaluate the workload of different crew shifts according to the shift working time, connecting time between shifts, and working time in morning and evening hours. Finally, through an improved swarm algorithm based on the characteristics of fixed crew rostering patterns and crew resource sharing, the model was solved efficiently by improving initial solution generation and iterative search methods. The results show that crew resource sharing can improve the balance of the crew workload, accommodate the crew preferences for attendance and departure locations, and enhance crew schedule efficiency and crew satisfaction under the existing crew rostering patterns of urban rail transit.

Optimization Model and Algorithm of Additional Trains Scheduling in High-Speed Railway Timetables Considering Passenger Demand
ZHAO Tianyin, ZHANG Yongxiang, WANG Wei, PENG Qiyuan, GUO Jingwei
2025, 60(3): 741-751. doi:10.3969/j.issn.0258-2724.20240637
Abstract:
Objective

Railway operators enhance the alignment between transportation services and passenger demand by making quarterly adjustments to the basic train timetable and preparing next-day train operation plans based on it. However, the structural complexity of the basic timetable significantly complicates the generation of these two technical plans. To address this challenge within the framework of manually generated transport plans, railway operators commonly insert additional spatio-temporal train paths into the basic timetable while making reasonable adjustments to the original paths. Furthermore, incorporating passenger demand into the generation of these two technical plans can evidently result in train timetables that better meet market needs.

Methods

To effectively utilize the remaining capacity of the basic timetable, two adjustment measures were applied to trains in the original train timetable: flexible adjustment of train stop patterns and time, including departure time at origin stations, and dwell time at intermediate stations. An integer linear programming model was developed for the integrated optimization of line planning and additional train scheduling problems based on a spatio-temporal network modeling framework. The objective function was formulated from the perspective of balancing the interests of both railway operators and passengers. The benefits of railway operators were represented by the total travel time of all trains and penalties imposed for adjusting stop patterns, as well as departure and dwell time of original trains, whereas passenger benefits were reflected in maximizing the number of passengers transported. The coefficients of the sub-objectives were determined based on practical operations and empirical experience. Moreover, practical constraints were considered, including the uniqueness of train stop patterns, train capacity, the relationship between passenger demand allocation decision variables and train stop pattern selection variables, minimum headway requirements, and the coupling of subproblems. Given the characteristics of the model, a Lagrangian relaxation-based heuristic algorithm was designed. By dualizing the headway requirements and coupling constraints into the objective function through Lagrangian multipliers, the original problem was decomposed into two independent subproblems: a line planning subproblem and an additional train scheduling subproblem. The algorithm iteratively solved subproblems by calling the commercial solver and a forward dynamic programming algorithm, respectively.

Results

To evaluate the effectiveness of the proposed model and algorithm, a set of numerical experiments based on the Beijing–Shanghai high-speed railway corridor was conducted. Moreover, the same scenarios were also solved using a sequential solving approach commonly employed in practical operations, where the line planning problem was optimized first, followed by the generation of the train timetable. The efficiency of the proposed algorithm was more comprehensively evaluated by comparing the solution results of the two methods.In all scenarios, the proposed algorithm successfully obtained the optimal upper bound solution within the maximum number of iterations, with an average optimality gap of 3.21%. Compared to the sequential solving approach, the proposed model and algorithm improve the quality of the upper bound solutions by an average of 4.58%. This improvement is attributed to the fact that the sequential solving approach prioritizes higher-quality solutions in the line planning subproblem, which, in turn, leads to a more significant deterioration in the solution quality of the additional train scheduling subproblem. Besides, the proposed algorithm is able to achieve a feasible upper bound solution within the first 200 iterations, while further iterations can yield even better results.The optimized train timetable shows that approximately 5% of the original trains undergo time adjustments exceeding 10 minutes throughout their entire journey. Moreover, for around 10% of the original trains, significant adjustments have been made to certain timings along the journey, whereas their departure from origin stations and arrival time at destination stations remain unchanged. Both findings reflect the structural complexity of the timetable and its inherent robustness. Passenger demand allocation results indicate that over 10% of the trains have seat occupancy rates below capacity across three or more segments. However, compared to short-distance passengers, a larger proportion of long-distance passengers remains unserved.

Conclusion

By considering passenger flow demand, integrating the additional train scheduling with the line planning can generate train timetables that provide higher overall system efficiency. To reduce the difficulty of basic timetable adjustments and train operation plan generation, spatio-temporal paths of additional trains should be scheduled in a way that maintains the arrival and departure time of higher-priority trains and minimizes changes to the overtaking relationships among trains. Additionally, to lower operational costs for railway operators and better meet passenger travel needs, priority should be given to accommodating long-distance passenger travel demand in daily operations. In future research, more practical factors should be incorporated into the modeling process, such as more detailed and accurate representations of the interests of railway operators and passengers, as well as time-varying passenger demand. Besides, the problem-solving framework should integrate other operational aspects, such as platform track allocation and rolling stock circulation plan, so as to further enhance the feasibility of the generated train timetables.

5G Antenna Parameter Planning for Intelligent Marshalling Station Based on Machine Learning Algorithm
CHEN Jianyi, YAN Lianshan, GUO Xinghai, ZHONG Zhangdui
2025, 60(3): 752-760, 792. doi:10.3969/j.issn.0258-2724.20220329
Abstract:

The 5th generation mobile communication technology (5G) has advantages such as a high connection rate and large system capacity, which can support the development of marshalling station communication systems. However, the 5G antenna parameter planning is challenging due to the large amount of calculation, and it is difficult to achieve both high efficiency and accuracy simultaneously. Therefore, Based on the CloudRT ray-tracing (RT) platform, the signal coverage scenario was simulated. By considering the problem of angle selection and power optimization of communication base station antenna, a planning method based on a machine learning algorithm was proposed. Firstly, based on the overlap complexity and the clustering algorithm, the antenna angle parameters were clustered, and the clustering results were evaluated. Secondly, according to the relationship between antenna gain and angle, the optimization algorithm was designed to simplify the selection process of antenna angle parameter combinations. Finally, the simulated annealing operator was introduced into the genetic algorithm to solve the optimal power combination, and Jiangcun Marshalling Station was taken as the scenario for verification. The results indicate that the total power derived by the proposed method is 5.6 dB higher than that of the traversal algorithm, and the time required is only 13.5% of the traversal algorithm. It achieves high efficiency and accuracy simultaneously, which is expected to be applied to the 5G system of high-speed railways and marshalling stations.

Location Information Perception of Onsite Construction Crew Based on Person Re-identification
YANG bin, HU Jinming, ZHANG Qilin, WANG Congjun
2025, 60(3): 761-769. doi:10.3969/j.issn.0258-2724.20230125
Abstract:

To obtain location information of onsite construction crew continuously with the consideration of dynamical changing, occluding, and high appearance similarity in construction scenes, a computer vision-based location information perception method for onsite construction crew was proposed. Firstly, a deep learning-based object detection method was utilized to percept targets preliminarily. Then, a data association method based on person re-identification was used, where ID assignment was completed by matching the deep learning-based feature. A distance metric method based on re-ranking was utilized to optimize the similarity measurement results, and the matching result was processed by using a buffering mechanism and a dynamical feature updating mechanism, so as to mitigate mismatch due to difficulties in construction scenes. 2D coordinates and movement information corresponding to ID were obtained using perspective transformation of images to provide basic data for productivity analysis. Finally, standard test videos were created from images collected at different construction stages to test the proposed method. The test results show that in different scenes, the average F1 score of ID (IDF1) and multiple object tracking accuracy (MOTA) of the algorithm are 85.4% and 75.4%, respectively. The proposed re-ranking method and post-processing mechanism for matching effectively improve the tracking accuracy. Compared with the algorithm after removing these optimization mechanisms, the average improvement of IDF1 and MOTA is 52.8% and 3.8%, respectively.

Lithium-Ion Battery Failure Identification Based on Segmented Penalty Parameter Support Vector Machine Algorithm
JIN Hui, HU Yinxiao, GE Hongjuan, LIU Weiwei, LI Binghao, LI Wenchen, SANG Yiqin
2025, 60(3): 770-780. doi:10.3969/j.issn.0258-2724.20230287
Abstract:

In the application scenarios of unbalanced samples such as airborne lithium-ion battery failure identification, the support vector machine (SVM) algorithm has the problem of hyperplane offset separation. To address this issue, the segmented penalty parameter support vector machine (SPP-SVM) algorithm was proposed. The SPP-SVM divided all samples into different segments during the training process and automatically adjusted the penalty parameters of each sample based on the identification errors within each segment, thereby achieving hyperplane offset suppression. The features were extracted and screened based on capacity increment analysis and grey correlation analysis methods, and then, the lithium-ion battery failure identification model was established based on the SPP-SVM algorithm. By utilizing the NASA lithium-ion battery dataset and the University of California Irvine (UCI) datasets as experimental subjects, comparative experiments were conducted. The results show that the SPP-SVM algorithm has better identification performance than SVM combined with optimization algorithms. On the lithium-ion battery dataset with a large degree of imbalance, the harmonic mean for precision and recall ( F 1score) is improved by 11.7%. The SPP-SVM algorithm reduces the training time on the lithium-ion battery dataset and UCI dataset, offering a tenfold improvement. These results demonstrate that the SPP-SVM algorithm can effectively suppress hyperplane separation offset and improve identification performance in cases of sample imbalance.

Voiceprint Recognition of Discharge Aliasing Signals from 750 kV Transformer and Pin-Plate Based on Sparse Representation Theory and Convolutional Neural Network
BAO Yanyan, YANG Guangze, CHEN Wei, FENG Tingna
2025, 60(3): 781-792. doi:10.3969/j.issn.0258-2724.20230177
Abstract:

Transformer insulation level and health state are crucial to the safety and stability of the power grid. In order to study the practical engineering problem that the audible acoustic signals collected outside the box may be mixed with other interference signals, such as corona sound and bird song when there is a discharge fault inside the 750 kV transformer, a voiceprint recognition of 750 kV transformer and pin-plate discharge aliasing signals based on sparse representation theory (SBSS) and convolutional neural network (CNN) was proposed. Firstly, the normal operation sound signal of Wusheng 750 kV Substation was collected as the background sound, and the discharge sound signal and the common interference sound in the field were used as the foreground sound by constructing the pin-plate discharge model. The aliasing sound signal was constructed by adding the foreground sound with different signal-to-noise ratios to the background sound. Secondly, the blind separation algorithm based on SBSS was used to realize the separation of target foreground and redundant background voiceprint spectra. Finally, the hyperparameters of the CNN model were optimized to improve the classification performance of the model on the separated various types of foreground voiceprint spectra. The results show that the blind source separation algorithm can eliminate the redundant background sound interference so that the neural network can focus on the classification and recognition of foreground sound. The proposed method can separate foreground voiceprint in the aliasing sound signals, and the recognition accuracies of the CNN, the support vector machine (SVM), and the back-propagation neural network (BPNN) after separation are improved by 7.6%, 17.2%, and 14.3%, respectively.

Baidu
map