• ISSN 0258-2724
  • CN 51-1277/U
  • EI Compendex
  • Scopus 收录
  • 全国中文核心期刊
  • 中国科技论文统计源期刊
  • 中国科学引文数据库来源期刊

2022年 第57卷 第2期

显示方式:
U型不完全多目标拆卸线平衡问题建模与优化
张则强, 蒋晋, 尹涛, 许培玉
2022, 57(2): 235-244. doi:10.3969/j.issn.0258-2724.20200694
摘要:

针对U型布局所具有的生产柔性强、效率高等优点,结合仅需考虑需求零部件和危害性零部件的实际拆卸过程,提出U型不完全拆卸线平衡问题(U-shaped partial disassembly line balance problem,UPDLBP) ,以最小化工作站数量、空闲时间均衡指标、拆卸深度和拆卸成本为优化目标建立数学模型. 在此基础上,提出一种自适应反向学习多目标狼群算法(adaptive opposition-based learning multi-objective wolfpack algorithm,AOBL-MWPA)进行求解计算. 该算法采用自适应游走行为,兼顾算法迭代前期的全局寻优性能和后期的稳定性;在满足优先关系约束前提下对召唤行为和围攻行为进行离散化;引入反向学习策略(opposition-based learning,OBL)以避免算法陷入局部最优;利用Pareto解集思想和非支配排序遗传算法Ⅱ(NSGA-Ⅱ)拥挤距离机制筛选获得多个非劣解;将所提算法应用于19个基准算例中,并与现有文献算法对比;最后,将所提模型和算法应用于某汽车U型不完全拆卸线的实例设计中. 结果表明:针对工作站开启数量和空闲时间均衡指标而言所提算法能求解获得小规模问题的最优值,且在中大规模问题中所得结果优于其他算法,危害指标和需求指标均能获得最优值,寻优率为100%;实例设计获得10组可选方案,验证了所提算法的实用性和有效性.

影响猪胰管封闭效果的电刀参数分析
郑靖, 刘祎程, 张浩, 杨丹, 李可洲
2022, 57(2): 245-252. doi:10.3969/j.issn.0258-2724.20200391
摘要:

高频电刀的组织热效应可以使胰腺组织表面生成焦痂,具有止血防胰瘘的效果. 高频电刀机电参数对焦痂止血防胰瘘功能具有显著影响,但尚缺乏对其作用规律的深入研究. 采用体外模拟试验方法,结合胰管爆破压测试和焦痂形貌研究了干燥模式下3种关键机电参数(电刀功率、作用时间和电极前端直径)对胰管封闭效果的影响规律;基于此,采用响应面分析法获取电刀功率、作用时间和电极前端直径之间的交互作用关系以及具有最佳胰管封闭效果的机电参数. 研究结果表明:单一变量下,电刀功率为60 W时胰管爆破压处于峰值,作用时间为2.00 s时胰管爆破压处于峰值,电极前端直径为2.00 mm时胰管爆破压处于峰值;干燥模式下的最佳机电参数为电刀功率59.39 W、作用时间2.18 s、电极前端直径2.31 mm;此外,电极前端直径是影响胰管封闭效果的独立因素,电刀功率和作用时间有显著性的交互作用,共同影响胰管封闭效果.

TOPSIS在山区铁路线路方案比选中的二次改进
李远富, 蒋频, 樊敏, 樊惠惠, 吴文芊, 杨昌睿
2022, 57(2): 253-260. doi:10.3969/j.issn.0258-2724.20200056
摘要:

为克服传统TOPSIS(逼近理想解排序法)在山区铁路线路方案比选中不能排除指标间相关性干扰、易使决策工作复杂化的缺点,同时为能充分考虑决策工作的不确定性特征,首先,以马氏距离代替传统TOPSIS中的欧氏距离,实现第一次改进;接着,以相关系数矩阵代替马氏距离中的协方差矩阵,实现第二次改进;然后,运用语言类模糊数、区间数、云模型等实现定性指标的定量化,并以二次改进的TOPSIS为基础构建山区铁路线路方案综合比选模型;最后,研究了综合比选模型在某山区铁路巴塘至昌都段局部线路走向方案比选中的应用. 研究结果表明:二次改进的TOPSIS能有效排除决策工作中指标间的相关性干扰,简化决策过程;云模型的运用能有效克服决策方法在处理定性语言不确定性方面的不足;线路方案综合比选模型的应用研究结果与该山区铁路工程预可研中的推荐结果一致,即比选结果均为经白玉、江达的线路方案,故该模型可作为今后线路方案比选工作中一种新的应对途经.

6号对称道岔区防脱轨装置的作用机理
司道林, 王猛, 王树国, 王璞
2022, 57(2): 261-266. doi:10.3969/j.issn.0258-2724.20200298
摘要:

为防止6号对称道岔脱轨事故发生,阐述了迎轮护轨和新型防脱轨装置的结构特征及工作原理,并建立了车辆-道岔动力学模型,分析了迎轮护轨和防脱轨装置对道岔区动力学响应的影响规律. 研究结果表明:迎轮护轨和新型防脱装置均可明显有效约束轮对通过道岔时的横移量,改变轮对运动轨迹,分别使轮缘在距尖轨尖端0.493 m和0.705 m处接触尖轨,防止轮缘与尖轨尖端接触,成功避免不利轮轨接触状态的出现;当迎轮护轨双侧同时安装时,轮缘槽宽度增加对轮对约束效果降低,无法起到有效的防护作用;新型防脱轨装置延伸至道岔内,可实现轨道两侧对称安装,保证对称道岔双方向的行车安全,从而有效避免对称道岔区脱轨事故的发生.

钢轨轧制不平顺激扰下的动车组动力响应特性
杨飞, 吴细水, 孙宪夫, 魏子龙, 柯在田, 杨爱红
2022, 57(2): 267-276, 294. doi:10.3969/j.issn.0258-2724.20210481
摘要:

以某有砟客运专线中出现波长为3.2 m的轨道周期性高低不平顺、继而引起“抖车”现象的线路区段为对象,基于同步压缩小波变换提取了轨道几何动、静态检测数据在大机捣固前后的时频分布特征,并结合钢轨轧制流程的梳理分析,明确了轨道周期性高低不平顺的成因,即可能由钢轨轧制过程中复合矫直工艺不良引起. 在此基础上,探究了钢轨轧制不平顺与车辆各部件振动加速度以及轮轨接触力的关联关系,获取了钢轨轧制不平顺对车辆动力响应的影响规律. 结果表明:轧制不平顺使得轴箱、转向架、车体垂向加速度的相干函数分别达到0.97、0.96和0.76,较正常区段分别增长了5%、25%和300%;轮轨垂向力相干函数增长42%,达到0.94,说明轧制不平顺与车辆各部件的振动响应和轮轨接触力密切相关;轧制不平顺将轴箱和车体垂向加速度均方根(root mean square,RMS)值分别放大1.00 m/s2和0.05 m/s2左右;轧制不平顺与轴箱垂向加速度和轮轨垂向力RMS值线性相关性最强,相关系数分别达到0.9和0.8.

高速铁路长大坡道动车组运行性能分析方法
胡彦霖, 凌亮, 王开云
2022, 57(2): 277-285. doi:10.3969/j.issn.0258-2724.20210097
摘要:

当动车组运行通过长大坡道时,车辆与轨道的耦合振动作用会对列车牵引制动效率产生重要的影响. 为更准确地分析动车组列车通过长大坡道时的运行性能,基于车辆-轨道耦合动力学理论,考虑列车牵引制动行为与线路平纵断面的影响,建立高速铁路长大坡道动车组运行性能分析模型,采用线路试验数据对模型进行验证,对比分析三维模型与传统一维模型的差异,并将模型应用到西安—成都高速铁路(西成高铁)动车组运行性能研究中. 结果表明:本文提出的方法能反映长大坡道对动车组运行速度和动力学性能的影响;传统的一维模型对长大坡道动车组的降速量评估不足,与本方法相比,两者差异为每10 km 5%左右;CRH3A型动车组在西成高铁长大坡道运行会出现严重的降速现象,列车功率提升50%后,降速超过20%的区间减少了7个,全线运行时长缩短了13%,为提高列车运营效率与曲线通过性能,需提高动车组牵引功率.

轨底坡变化对高速车辆运行行为的影响
杜星, 陶功权, 杨城, 温泽峰, 金学松, 吴军
2022, 57(2): 286-294. doi:10.3969/j.issn.0258-2724.20210068
摘要:

现有轨道精调和养护维修过程中往往只针对轨道的高低、方向、水平、扭曲等相关因素进行调整,对轨底坡的相关规定较少. 对现有客运专线同一轨道的一段区间进行轨底坡现场测量,发现轨底坡变化较大. 通过建立国内某时速250 km动车组车辆模型,考虑LMD车轮型面与标准60 kg/m (CHN60)钢轨匹配,分析了在同一轨道具有标准轨底坡(1∶40)、对称变化轨底坡和非对称变化实测轨底坡条件下的车辆动力学行为. 计算结果表明:轨底坡对称变化和非对称变化对车辆直线运行时的平稳性、舒适性影响很大,较标准轨底坡(1∶40)布置时车辆垂向平稳性指标分别增加了32.96%和34.52%,横向平稳性最大值增加了40.65%;直线段的标准、对称变化与非对称变化轨底坡布置对车轮的磨耗影响逐渐增大;直线段非对称、对称变化轨底坡情况较标准轨底坡最大磨耗指数分别增加136.71%和27.65%,最大表面损伤指数分别增加25.14%和15.86%. 车辆曲线通过对称变化与非对称变化轨底坡布置时,增大车辆横向晃动;曲线段轨底坡变化对车轮磨耗和疲劳指数相对于标准布置情况影响较小,但曲线段轨底坡变化对车轮磨耗和疲劳指数均大于直线段. 最后根据以上结论给出了针对轨底坡的工程化建议.

基于子模型方法的地铁车体疲劳寿命评估
李新康, 王苏秦, 刘潮涛, 张嘉, 陈逸斐
2022, 57(2): 295-300, 330. doi:10.3969/j.issn.0258-2724.20200301
摘要:

车体是地铁车辆的重要承载部件,针对全尺寸车体疲劳试验综合难度高的问题,基于端部底架子模型包含了牵枕缓等在车体中受力最严苛结构的特点,提出采用端部底架子模型代替全尺寸车体进行疲劳试验的方法;建立了端部底架子模型和全尺寸车体的有限元模型,并参照EN 12663标准所确定的疲劳载荷,通过设置合理的边界条件使得端部底架子模型与全尺寸车体关键位置应力分布一致;将试验测得端部底架关键位置的应力与仿真结果进行对比,验证了有限元模型的准确性,进而采用名义应力法和Eurocode 9标准规定的疲劳寿命-应力( S - N )曲线对车体和底架焊缝部位进行了疲劳损伤计算. 结果表明:端部底架3个最大损伤位置与全尺寸车体一致,并且同一位置处端部底架的损伤值均大于车体损伤值,因此采用子模型法评估全尺寸车体的疲劳寿命易于获得相对保守的结果,针对地铁车体采用子模型法进行疲劳寿命评估是可行的.

摩擦型轨枕道床的横向阻力研究
郭云龙, 王新雨, 廉栋, 宛洪宇, 井国庆
2022, 57(2): 301-305, 368. doi:10.3969/j.issn.0258-2724.20200464
摘要:

川藏铁路有砟道床断面尺寸受限,所处环境地震多发、日温差大且变化剧烈,这些情况容易导致横向阻力不足,对无缝线路稳定性和震区轨道韧性提出挑战. 为合理设计轨枕底部设有箭头型凹槽的摩擦型轨枕,并量化其提升无缝线路稳定性与韧性,采用道床横向阻力试验,测量摩擦型轨枕对道床横向阻力增幅情况;合理设计并优化了轨枕底部凹槽,制作了3种不同箭头型凹槽,除去凹槽排列方式不同外,箭头型凹槽面积、尺寸完全一致;并且验证砟肩宽度减小情况下摩擦型轨枕提供的横向阻力是否可以满足川藏铁路运维要求. 结果表明:各型摩擦型轨枕均可增大道床横向阻力,可最少提升横向阻力7%,最高提升21%;单向箭头型双向阻力存在较大阻力值差异,相比于普通轨枕顺向可增大7%,逆向可增大24%,因此在曲线地段铺设时候,应严格注意铺设方向;砟肩宽度由50 cm降低到30 cm,采用单向箭头型轨枕逆向仍然可达到Ⅲ型轨枕砟肩宽度50 cm横向阻力值.

基于轨道动检数据的轨道板的变形识别及预测
李晨钟, 利璐, 汪健辉, 冯晓云, 王青元, 黄传岳, 王永华, 何庆
2022, 57(2): 306-313. doi:10.3969/j.issn.0258-2724.20200555
摘要:

现有对高速铁路板式无砟轨道变形病害的检测效率不足,检测成本过高,而通过轨道动检数据能够一定程度上反映轨道板变形程度. 因此,搜集了CRTS Ⅰ、Ⅱ、Ⅲ型板线路3 a内的动检数据,引入小波能量作为轨道板变形评价指标,通过建立时空数据挖掘模型实现了不同轨道板的变形定位识别和劣化预测. 研究结果表明:受当地气温影响,轨道板变形程度具有一定的季节性规律,Ⅰ、Ⅱ型板在高温环境下出现翘曲或上拱,Ⅲ型板在低温环境下出现冻胀;3种轨道板中Ⅰ型板变形程度最小,Ⅱ型板最大,Ⅱ型板的残余变形会随时间累积,最终导致高低不平顺超限;长短期记忆网络能够实现对轨道板变形指标15~30 d内的短中期预测,Ⅰ型板变形的最佳预测结果R-square值接近0.9,而Ⅱ型板、Ⅲ型板变形的最佳预测R-square值均超过0.9.

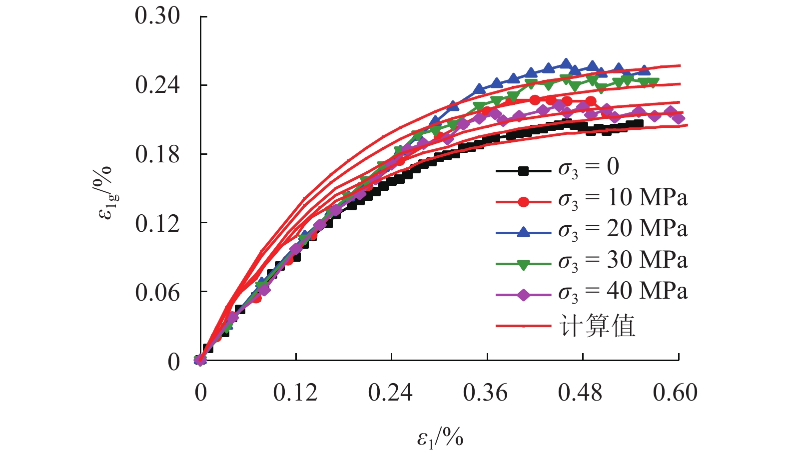
考虑初始空隙压密的岩石变形全过程本构模型
李修磊, 陈洪凯, 张金浩
2022, 57(2): 314-321. doi:10.3969/j.issn.0258-2724.20200220
摘要:

为了建立能够准确模拟岩石变形全过程的本构模型,深入分析了现有统计损伤模型难以描述岩石初始非线性变形阶段的局限性. 综合考虑岩石的变形机理,将岩石抽象为由空隙和骨架组成的材料,分析了岩石变形及空隙与骨架两部分变形之间的关系,提出了空隙应变比 K 的概念;利用岩石三轴试验结果,提出了岩石骨架和空隙两部分应变的计算方法,推导了 K 的演化方程;通过引入统计损伤理论,将岩石看作是由众多强度服从Weibull函数分布的微元组成,最终建立了能够反映岩石变形全过程的本构模型,并给出了模型相关参数的确定方法. 现有模型结果和试验结果比较分析表明:本文模型能够较好地模拟荷载作用下岩石变形破坏全过程的5个阶段,相关系数均在0.92以上,很好地解释了围压越大初始空隙压密阶段越短以及弹性模量、峰值强度和峰值应变均越大的力学行为特性.

花岗质侵入岩地层隧址区的初始地应力场反演分析
周子寒, 何川, 蒙伟, 汪波, 寇昊, 陈子全
2022, 57(2): 322-330. doi:10.3969/j.issn.0258-2724.20200074
摘要:

火山隧道隧址区地层主要以花岗闪长岩侵入砂、泥岩分布,隧道轴线穿越花岗质侵入岩附近,岩性变化剧烈,地应力分布复杂. 利用地应力实测数据反分析侵入岩体区域初始地应力场分布规律以对设计、施工提供理论指导. 根据火山隧道地勘资料建立三维数值模型,基于现场水压致裂法实测原位地应力数据,采用多元线性回归法反演得到工程区域初始地应力场,重点讨论了花岗闪长岩侵入面附近地应力分布规律. 结果表明:花岗质侵入岩区域初始地应力场分布规律十分复杂,主应力量值及水平主应力方向均在侵入体内外侧发生剧烈变化(隧道轴线的主应力量值变化幅度为2.0~5.3 MPa,角度变化幅度为50.7°~178.8°);埋深和侵入体分布形态成为影响初始地应力场分布的重要因素,埋深越大或侵入体岩床横截面越小,初始地应力量值越大;同时侵入体前沿区域受到挤压构造作用显著,应力集中现象较为明显.

鲜水河构造带某隧道地应力反演与分析
索朗, 徐正宣, 冯涛, 王哲威, 伊小娟, 林之恒, 李伟
2022, 57(2): 331-338. doi:10.3969/j.issn.0258-2724.20210945
摘要:

地应力的分布规律严重影响地下工程建设,获得开展工程区域地应力场分布对指导支护结构的设计具有重要意义.在鲜水河断裂带某隧道工程区采用钻孔水压致裂法进行了深孔地应力测试,基于地应力测试结果,得到了开展工程区域地应力随深度的变化规律,并利用数值模拟进行地应力反演. 结果表明:地应力随深度的增加而逐渐增加,其中最大水平地应力的递增梯度为0.385 MPa/km,最小水平主应力递增梯度为0.257 MPa/km;隧道纵断面水平最大主应力为41.69 MPa,最小主应力为29.84 MPa,侧压力系数为1.363~1.438,围岩应力以水平应力为主;地应力在断层部位得到了一定程度的释放,断层两侧的完整岩体应力存在一定程度的集中,应力值较高.

基于驱替效应的盾构壁后注浆微观模型分析
叶飞, 秦楠, 梁兴, 韩兴博, 韩鑫
2022, 57(2): 339-345. doi:10.3969/j.issn.0258-2724.20200344
摘要:

当盾构隧道位于水位线以下时,为了分析壁后注浆浆液驱动地下水体过程,基于毛细管组渗透理论,将浆液的渗流路径概化为毛细管,考虑牛顿流体浆液驱动地下水(牛顿流体)进行扩散,推导了半球形及柱形模型浆液渗流扩散半径计算式,并讨论了注浆压力、浆液水灰比、地层渗透系数的影响. 研究结果表明:浆液扩散半径主要与注浆压力、渗透率、注浆时间、孔隙率、浆液和地下水黏度等因素有关,浆液水灰比对于浆液扩散半径影响最为显著,浆液的黏度由0.004 7 Pa•s降至0.001 9 Pa•s时,浆液扩散半径在注浆时间为1 h时降低幅度为46.7%,相同注浆条件下可增大水灰比来增大浆液扩散半径;浆液扩散半径随渗透系数的增大而增大,地层的渗透系数大小一定程度上反映了浆液扩散的难易程度;在计算出浆液扩散半径(浆液加固范围)的基础上提出了注浆压力下限值计算方法,用以指导盾构隧道壁后注浆工程施工.

三维岩体滑坡诱发冲击波近场波的特性试验研究
韩林峰, 王平义, 牟萍, 王梅力, 吴国茂
2022, 57(2): 346-352. doi:10.3969/j.issn.0258-2724.20200078
摘要:

为了预测水库库岸滑坡入水后产生的冲击波(涌浪)到达承灾体的时间及立波高度,以水库岩体滑坡所诱发的冲击波为研究对象,对近场区涌浪的波场特征进行研究. 首先,根据弗劳德相似准则,并结合三峡库区典型岩体滑坡参数及其裂隙发育情况,建立碎裂岩体滑坡涌浪三维物理模型;其次,通过模型试验揭示了近场涌浪的产生机理及传播规律;最后,通过多元回归分析建立了近场涌浪预测模型. 研究结果表明:初始涌浪产生的主要驱动力是滑坡体对水体的置换和拖拽所致,其中初始波谷振幅大小主要取决于水面塌陷的持续时间;根据滑坡水下运动过程,引入两种临界水深,提出初始波谷产生时间的计算方法;初始波峰的传播速度与孤立波波速非常接近,而初始波谷、第二波波峰与波谷的传播速度则要小于孤立波波速,其无量纲相位波速分别为孤波波速的0.90倍、0.78倍、0.68倍.

基于振动响应的高铁声屏障结构体系研究
卫星, 张靖, 魏欢博, 胡喆, 温宗意
2022, 57(2): 353-359, 409. doi:10.3969/j.issn.0258-2724.20200243
摘要:

为了研究不同开口形式的封闭式声屏障在高速列车所产生风压作用下的受力特征,以某高铁声屏障为研究对象,利用有限元软件Midas建立顶部不同开口间距的双侧封闭式声屏障及顶部不同覆盖长度的单侧封闭式声屏障整体模型;将速度为350 km/h的列车驶过时产生的脉动风压激励时程作用于声屏障结构整体模型,计算得到声屏障结构的静力响应和动力时程曲线;最后计算动力放大系数. 研究结果表明:双侧封闭式声屏障顶部增加开口间距和单侧封闭式声屏障顶部覆盖长度减小都有利于风压的释放,改善结构受力情况,随着开口间距增加或覆盖长度减小,有利作用愈加明显;对于双侧封闭式声屏障,开口2 m时立柱最大动应力是开口8 m时立柱最大应力的1.15倍,放大系数也增加0.12;对于单侧封闭式声屏障中,覆盖8 m时立柱的最大动应力是覆盖2 m时立柱的最大动应力的1.28倍,放大系数也增加0.37.

基于元胞自动机的开裂混凝土氯离子扩散模拟与分析
马俊军, 蔺鹏臻, 刘应龙, 何志刚
2022, 57(2): 360-368. doi:10.3969/j.issn.0258-2724.20210359
摘要:

为获得氯离子在开裂混凝土中的浓度分布以及分析裂缝形状、分布形式、偏转角度对混凝土中氯离子扩散效应的影响,根据氯离子在开裂混凝土中的扩散机理,利用元胞自动机和均匀化等效分析方法,建立了模拟开裂混凝土中氯离子扩散过程的元胞自动机模型,并利用数值试验对模型中元胞尺寸进行了优化. 研究结果表明:在不影响计算精度的情况下,为提高模型的计算效率,推荐采用元胞尺寸大小为0.5 mm;除个别数据外,模型模拟结果、试验结果与有限元分析结果吻合良好,最大偏差不超过10%;“V”形裂缝中氯离子浓度约为矩形裂缝的0.52倍;曲线形裂缝和折线形裂缝中氯离子浓度约为直线形裂缝的0.87倍和0.89倍;当裂缝偏转角从0° 分别增大至10°、20°、30° 时,裂缝端部氯离子浓度分别减小3.3%、21.9%、29.8%;裂缝对其周围氯离子扩散区域的影响范围与裂缝形状、分布形式和偏转角度无关,对裂缝周围氯离子扩散效应的影响主要集中在裂缝左右18 mm的范围内.

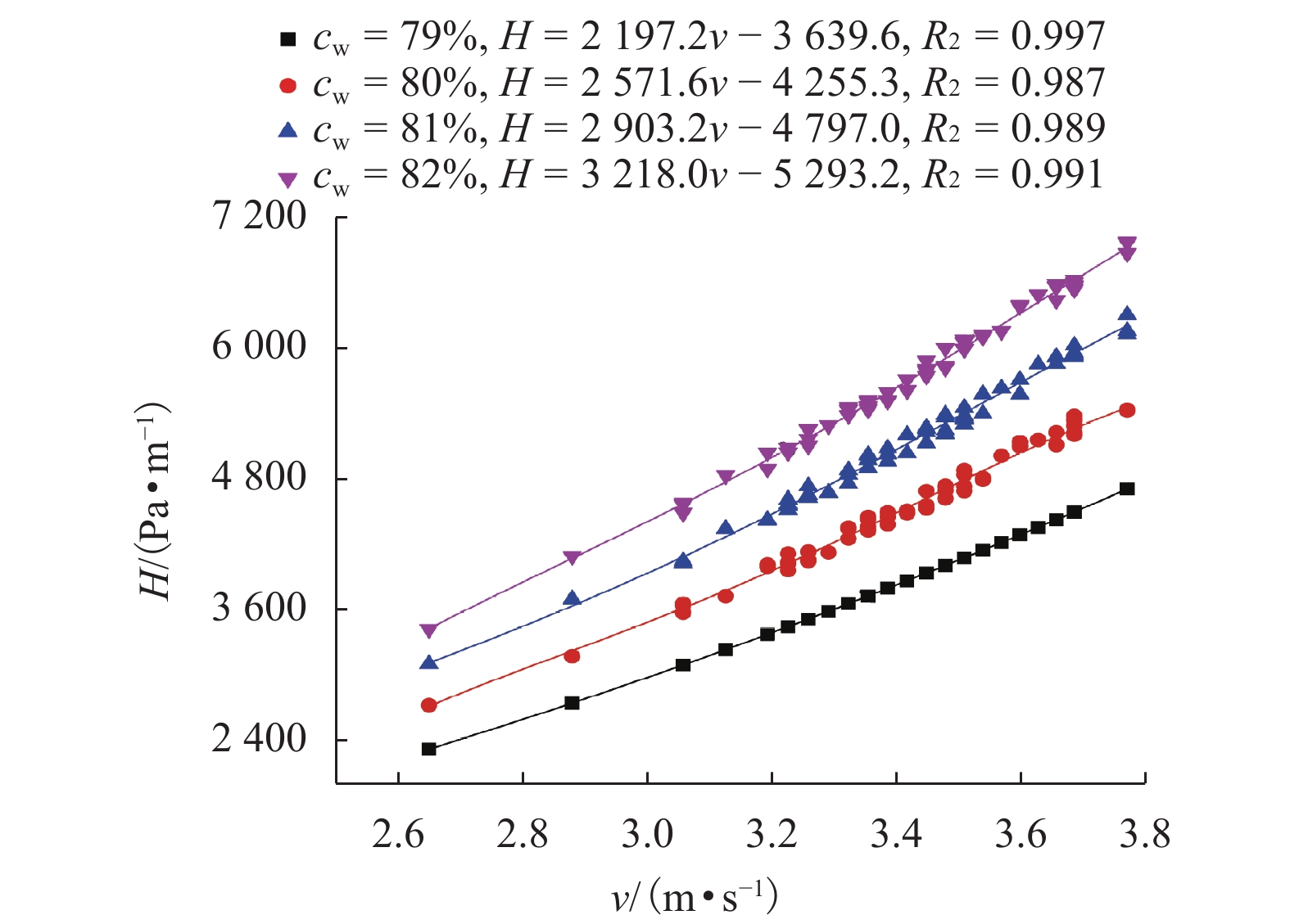
高浓度混合骨料充填料浆管道输送特性试验研究
吴凡, 杨志强, 高谦
2022, 57(2): 369-375. doi:10.3969/j.issn.0258-2724.20200264
摘要:

为研究高浓度混合骨料充填料浆管道自流输送规律,利用甘肃某镍矿充填管道输送系统进行工业试验. 首先,通过工业试验获取不同条件下的料浆管输阻力,并分析了管输阻力与料浆流速、料浆浓度与石粉掺加量的关系;然后,基于变量相互独立的性质假设建立了管输阻力数学模型,同时探讨了管输阻力影响因素的交互作用大小;最后,通过流变试验及机理研究对管输阻力结果进行验证分析. 研究结果表明:管输阻力随料浆流速与浓度增加分别呈线性与幂函数增长趋势,与石粉掺加量呈现先减小后增大的抛物线变化规律,石粉掺加量为30%时对应的管输阻力最小;管输阻力影响因素的交互作用从大到小依次为料浆浓度与流速、石粉掺加量与流速、石粉掺加量与料浆浓度,管输阻力变化范围分别为2070~6920、2180~5970、3140~5530 Pa/m;流变参数随料浆浓度与石粉掺加量的增加分别呈增加和先减小后增大的变化趋势,验证了管输阻力的变化规律;流速的振动效应、浓度的黏稠作用与石粉的絮网理论是改变浆体流变特性与管道输送阻力的原因.

路面典型局部变形激励下的振动舒适性评价
郭雄峰, 陈长, 冯奇
2022, 57(2): 376-383. doi:10.3969/j.issn.0258-2724.20200041
摘要:

为研究沥青路面局部变形对行驶质量的影响,对路面养护管理中常见的错台型、双断面型和曲面型3类局部变形激励下的振动舒适性进行了评价. 首先,建立了局部变形的纵断面简化模型,并基于1/4车理论推导出路面局部变形激励下的人体竖向加速度时域表达式;其次,设计频率加权滤波器对竖向加速度进行滤波,得到瞬时频率加权加速度,从而求解出不同工况下均方根加速度,实现了振动舒适性的时域加权评价;最后,提出了局部变形的评价标准. 分析结果表明:均方根加速度与局部变形高差呈正比关系;同等变形程度下,双断面型变形的行驶感受最差;当错台型、双断面型及曲面型3类局部变形分别达到4.76、2.78、3.26 cm时,行驶质量均达到极不舒适状态.

计及逆变回馈装置间歇工作制的城轨供电计算
刘炜, 李由, 张戬, 张浩, 张岩
2022, 57(2): 384-391. doi:10.3969/j.issn.0258-2724.20200594
摘要:

逆变回馈装置在实际运行中采用间歇工作制,当采用供电计算确定逆变回馈装置的选址和容量设计时,必须考虑逆变回馈装置的工作特性模型. 为此,提出了一种考虑逆变回馈装置间歇工作制的城市轨道交直流供电计算算法. 该算法基于逆变回馈装置的功率提出了逆变回馈装置负荷过程的动态调整策略,并实现其状态切换;从主变电所统计整条线路的全日能耗,分析不同逆变回馈装置启动电压、整流机组空载电压和列车发车对数对城市轨道供电系统能耗的影响. 本文算法与实际工程中的逆变回馈装置负荷过程更加吻合. 以实际地铁工程为例对线路进行了仿真,仿真结果表明:逆变回馈装置的启动电压会影响系统的节能效果;投入逆变回馈装置并选取合适的启动电压对供电系统具有明显的节能效果,相比不安装逆变回馈装置的系统可节省12.23%的能耗;当整流机组空载电压较高,或当发车对数稀少时,适当降低逆变回馈装置的启动电压可以获得更佳的节能效果.

铁路信号系统软件测试建模方法
李耀, 张晓霞, 郭进, 张亚东
2022, 57(2): 392-400, 424. doi:10.3969/j.issn.0258-2724.20200530
摘要:

针对铁路信号系统软件测试模型不能系统地描述测试需求的问题,提出风险时间状态机建模方法. 首先,分析铁路信号系统软件测试建模的特点,并提出建模需求;然后,以有限状态机理论为研究基础,在有限状态机的变迁和状态中分别扩展出时钟和风险等级元素,提出风险时间状态机建模方法,满足功能逻辑、时间约束和风险等级3个方面的建模需求,采用Z规格说明语言给出风险时间状态机的形式化定义和格局转移机制;最后,以计算机联锁系统中的道岔转换功能为例,建立风险时间状态机测试模型,并与时间自动机建模方法进行了对比,结果表明,建模方法上,所建立风险时间状态机比时间自动机节省62%的变迁数,描述能力更强,能够满足铁路信号系统软件测试的建模需求.

基于注意力分配的高铁操纵台界面布局优化设计
许永生, 李丽丽, 吴尤荻, 支锦亦, 向泽锐, 张润芝
2022, 57(2): 401-409. doi:10.3969/j.issn.0258-2724.20200414
摘要:

为了研究驾驶员在高铁操纵台界面的注意力分配情况,以达到优化高铁操纵台界面布局设计的目的,采用CRH380D列车仿真平台,通过模拟驾驶实验的形式测定成都机务段动车运用车间14名驾驶员的注意力分配情况. 首先,将驾驶员的值乘过程分为发车准备、正线行驶、停车制动3个任务;其次,从视觉层、行为层、心理层3个维度出发,分别采集被试在3个任务中的眼动数据、操作轨迹、NASA-TLX量表主观工作负荷;最后,结合与被试的深度访谈,得出驾驶员对CRH380D列车操纵台界面的注意力分配情况. 研究结果表明:在CRH380D列车操纵台目前的界面布局设计中,驾驶员在执行驾驶任务时注意力分配最高的为ATP,其次为TCMS1;水平操纵面上21个开关按钮中,占用注意力较多的为开车门、停放制动和升弓、降弓按钮;眼动轨迹图与操作轨迹图比较复杂,驾驶员的主观工作负荷相对较高;根据实验结果总结出高铁操纵台界面布局设计的4条原则及一些相应的设计建议,并以CRH380D列车为例,得出其操纵台界面布局优化设计方案.

考虑前车状态的智能网联车交叉口行为决策
杨达, 杨果, 罗旭, 唐颜东, 徐利华, 蒲云
2022, 57(2): 410-417, 433. doi:10.3969/j.issn.0258-2724.20200553
摘要:

为使智能网联汽车(intelligent connected vehicle, ICV)在复杂交通环境下高效、安全地通过信号交叉口,在车联网实时获取信号灯和前车状态信息的基础上,建立了智能网联汽车通过信号交叉口的驾驶行为决策框架. 通过跟驰模型推导智能网联汽车和前方车辆在未来的行驶状态,预测得到前方车辆是否要通过交叉口的行为,进一步分别对智能网联汽车是领头车和跟随车时通过交叉口停止线的条件进行判断;将换道加入到驾驶方式中来寻求更高的通行效率,用基于换道时间模型的方法判断智能网联汽车换道后的通过条件;仿真对比分析了所提出模型和现有模型的决策能力,讨论了影响决策过程的关键因素. 研究结果表明:相比于现有模型,综合信号灯和前车行驶意图的决策方法能够提高智能网联汽车对通行条件判断的准确性,从而进行更合理的行为选择,随着单位绿灯剩余时间的增加,车辆决策通过交叉口的概率可提高20%,当前车道的车辆位置对决策结果影响显著.

基于AFC数据的地铁车站留乘概率分布估计
陈欣, 罗霞, 朱颖, 毛远思
2022, 57(2): 418-424. doi:10.3969/j.issn.0258-2724.20200270
摘要:

为研究地铁车站留乘特征,基于地铁自动售检票(auto fare collection, AFC)刷卡数据和运行图数据,研究了地铁车站留乘概率分布估计方法. 首先,基于乘客进、出站刷卡时刻与列车到、发时刻的关系,构造了聚集时间最大值、疏解时间的概率分布函数,提出了基于截断样本的聚集、疏解时间分布估计方法;其次,通过研究乘客进、出站刷卡时间、聚集时间、疏解时间及留乘次数间的关系,提出了地铁车站留乘概率分布估计方法;最后,以某地铁区段为例,在估计了留乘程度不同、类型不同车站的聚集、疏解时间分布的基础上,估计了这些车站在平峰、高峰时段内的留乘概率分布. 案例分析表明,在显著水平为5%的条件下,聚集、疏解时间分布估计结果可信;估计所得留乘概率分布与实地调查所得一致.

考虑匹配均衡性的供需双方多对多双边匹配决策方法
王娜, 李引珍, 柴获
2022, 57(2): 425-433. doi:10.3969/j.issn.0258-2724.20200567
摘要:

针对具有完全偏好序信息的物流服务供需多对多匹配问题,提出了一种同时考虑物流服务供需匹配主体整体满意度和个体满意度均衡性的双边匹配方法. 首先,考虑双方个体的匹配均衡性,构建了物流服务供需多对多双边匹配两阶段优化模型;其次,设计了多目标遗传算法求解获得双边匹配的Pareto解集;最后,以某地区物流服务外包为例,在不考虑个体满意度的情况下,需求方和供给方个体满意度方差分别为0.57和0.22,选取个体满意度阈值为0.22,通过该方法可获得满足个体满意度均衡的匹配方案. 同时考虑整体满意度和个体满意度均衡性,在保证整体最优的同时,能够更好地平衡物流服务供需双方的匹配满意度,指导决策者获得供需双方满意的最优匹配.

LED灯曲线隧道照明间距
韩直, 王晶晶, 关雨嫣
2022, 57(2): 434-439. doi:10.3969/j.issn.0258-2724.20200479
摘要:

基于规范中并未考虑LED灯曲线隧道的布灯方式、布灯间距、曲率半径以及光线盲区之间的关系,考虑闪烁频率和盲区界域两约束条件,探究了不同布灯方式所允许的最大布灯间距和最大盲区面积. 首先,针对单侧外侧布灯、单侧内侧布灯、双侧对称布灯及双侧交错布灯4种布灯方式,以平面几何的方法得到光线盲区面积、灯具间距和隧道曲率半径的关系式,并通过偏微分进一步明确之间的关系;其次,以盲区界域作为主要约束条件,分析所允许最大布灯间距与约束盲区界域参数(车长和车宽)之间的关系;最后通过偏微分或代数法比较不同布灯方式允许最大盲区面积大小和允许最大布灯间距大小,并以不同车型作为实例进行验证. 研究发现:在布灯间距或曲率半径某一维度确定的情况下,盲区面积随布灯间距和随曲率半径均呈上升趋势;单侧内侧布灯间距随车长或曲率半径呈上升趋势;单侧外侧布灯间距随车长或曲率半径呈上升趋势,随车宽呈下降趋势;双侧布灯若考虑盲区面积,所得的布灯间距不符合规定,说明只有足够大的布灯间距才存在盲区面积;通过对不同车型的比较得出单侧布灯方式宜选用单侧内侧布灯方式,双侧布灯方式中交错布灯方式和对称布灯方式皆可.

室内空间要素重要性影响因素的探究
李华蓉, 李天童, 陈涛
2022, 57(2): 440-446, 454. doi:10.3969/j.issn.0258-2724.20200565
摘要:

随着经济技术的快速发展,室内空间越来越复杂,对室内位置服务的需求日益增多,作为位置服务信息载体的室内地图产品也越来越多. 但是,目前大多室内地图呈现的内容多于用户需求. 针对这一问题,提出了基于用户需求的室内空间要素重要性影响因素的探究方法. 该方法利用空间认知理论进行不同室内空间的多组心理行为试验,分析组内、组间试验结果,提取用户需求共性,得到室内空间要素的影响因素;通过验证试验最终确定室内空间要素重要性影响因素为:要素知名度、空间位置分布、要素独特性和相对规模.

基于有向图的传统村落建筑群火灾蔓延风险分析
张健, 宋志刚
2022, 57(2): 447-454. doi:10.3969/j.issn.0258-2724.20210188
摘要:

在传统村落开发保护过程中,建筑消防改造及建筑布局改变等会导致火灾风险发生变化. 火灾蔓延模拟工作量大、成本高及基础资料获取困难. 为克服这些难点,首先,将单体建筑视为有向图的节点、建筑间的火灾蔓延关系视为节点间的边,通过火灾蔓延模拟判断节点周边局部蔓延路径,并建立有向图的邻接矩阵,利用有向图遍历算法确定特定火灾场景下的蔓延范围,给出考虑多场景建筑群火灾蔓延的损失期望;然后,通过增删节点或边修正有向图邻接矩阵,反映建筑改造、增建或树木对建筑群火灾蔓延关系的变化,重新应用节点遍历算法确定变化后的建筑群火灾蔓延风险;最后,以某一传统村落为例验证方法的有效性. 研究结果表明:本文方法可快速计算动态变化的建筑群火灾蔓延风险,减少火灾蔓延再模拟的工作量;在火灾蔓延防控上,对危险性较高的6个节点进行消防加强改造,可使建筑群火灾蔓延的最大损失及损失期望分别降低61.9%、52.1%;在建筑规划或管理上,应避免新增建筑、树木等可燃物位于建筑密集区域或连通多个建筑密集区域的“桥节点”处.

Baidu
map