• ISSN 0258-2724
  • CN 51-1277/U
  • EI Compendex
  • Scopus 收录
  • 全国中文核心期刊
  • 中国科技论文统计源期刊
  • 中国科学引文数据库来源期刊

2023年 第58卷 第2期

“车辆NVH先进理论与前沿技术”专栏
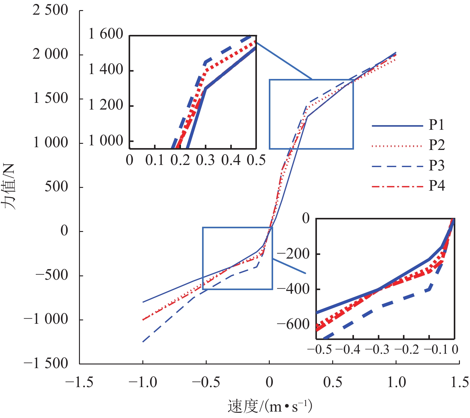
磁流变半主动座椅悬架建模及振动特性分析
史文库, 张曙光, 陈志勇, 张友坤
2023, 58(2): 253-260. doi:10.3969/j.issn.0258-2724.20210882
摘要:

磁流变阻尼器力学模型及控制电流逆模型对半主动控制系统的控制精度具有重要影响. 采用正弦及余弦型魔术公式,基于骨架曲线与滞回分离的建模方法,建立改进的磁流变阻尼器动态阻尼力模型;采用基于Sobol序列的差分-禁忌混合优化算法对阻尼力模型进行参数识别,构建包含激励特性及控制电流参数的通用数学模型;在试验测试及正向模型基础上,利用自适应神经模糊系统建立阻尼器控制电流逆模型. 研究结果表明:本文建立的正逆模型均能够有效表征磁流变阻尼器的非线性行为及滞回特性;改进魔术公式模型在不同激励特性及电流工况下的平均百分比误差在3.4%附近变化;逆向动力学模型计算的控制电流误差均方根值为0.0869~0.1171 A;经过控制电流逆模型与阻尼器正向模型串联模型计算的预测阻尼力误差均方根值为阻尼器最大阻尼力的5.6%;通过试验测试与仿真结果对比,验证了本文提出的阻尼器数学模型具有较好的精度和适用性,能够改善座椅悬架系统振动传递特性.

高速列车转向架区域气动噪声源的特征识别
王毅刚, 朱朗贤, 王玉鹏, 张昊, 焦燕
2023, 58(2): 261-271, 286. doi:10.3969/j.issn.0258-2724.20210636
摘要:

为了创建高速列车气动噪声源识别方法,以气动声学基本波动方程为基础,将高速列车气动声源等效为无数微球形声源组成,利用声辐射和流场物理量之间的关系,并结合高速列车气动数值仿真技术,建立了高速列车偶极子声源和四极子声源的识别方法,从全新的角度对某高速列车头车气动噪声源进行识别;基于涡声方程声源项特征,进一步揭示了偶极子声源和流场流动的关系. 研究结果明确了高速列车主要偶极子和四极子声源的强弱和分布特征,表明了气流的直接撞击和分离现象是产生声源的主要原因,头车及转向架区域气动噪声源以偶极子声源为主;偶极子声源强度较大位置出现在边沿较为尖锐的地方,在绝大多数情况下流体经过时涡量急剧增加,成为其形成强声源的主要原因.

基于半模型的高速列车远场气动噪声计算方法
李田, 秦登, 张继业, 张卫华
2023, 58(2): 272-279, 286. doi:10.3969/j.issn.0258-2724.20210678
摘要:

随着高速列车运行速度的提高,其气动噪声问题逐渐凸显,如何准确快速预测高速列车的远场气动噪声成为关键. 利用半自由空间的Green函数求解FW-H方程,推导了考虑半模型时的远场声学积分公式,提出通过半模型的数值计算结果预测全模型高速列车远场气动噪声的方法;建立了全模型和半模型高速列车的气动噪声数值计算模型,应用改进延迟的分离涡模拟方法对不同模型高速列车表面的气动噪声源进行求解;通过风洞试验进行了全模型高速列车的数值仿真计算方法验证;对比分析了全模型和半模型高速列车周围的流场结构、气动噪声源和远场气动噪声特性. 结果表明:半模型高速列车数值计算得到的列车周围流场结构、气动噪声源以及远场气动噪声特性与全模型的一致;采用半模型计算会过高估计列车尾车流线型区域表面压力的波动程度和噪声源的辐射强度,但通过半模型预测整车模型的远场噪声平均声压级误差小于1 dBA;相比于全模型高速列车,半模型计算时的网格总量减少一半.

基于背门约束系统的车内低频轰鸣声控制
张杰, 庞剑, 张思文, 万玉平, 贾文宇, 雷洋, 付江华
2023, 58(2): 280-286. doi:10.3969/j.issn.0258-2724.20210979
摘要:

汽车背门一般通过铰链、锁销、缓冲块等约束系统安装和固定在车身上,其刚体模态振动与车内声腔声压耦合,是导致低频轰鸣声的主要原因. 本文建立了背门振动-乘员舱声压的一维板-腔耦合声学解析模型,分析研究了边界约束刚度对板件振动速度响应及腔内耦合声压的影响规律,并进行了实车实验验证;通过调节锁销相对位移和缓冲块相对高度,解决了某车型低频敲鼓声问题. 分析结果表明:在板件刚体模态振动下,腔内耦合声压幅值沿远离板件方向逐渐增大,且在声腔底部位置最大;板件振动速度相应及腔内耦合声压峰值幅值随边界约束系统刚度减小而降低;在低频轰鸣发生的20~30 Hz频率范围内,乘员舱前排位置声压峰值幅值比中排及后排位置大约8 dB(A),验证了理论分析结果的正确性;乘员舱内耦合声压峰值幅值随着锁销相对位置的增大和缓冲块相对高度的减小而降低,锁销相对车身向车尾方向增大2 mm或者缓冲块相对高度减小2 mm,可以使背门振动速度减小约0.002~0.003 m/s,前排声压峰值幅值降低3.5~14.8 dB(A).

基于时频感知加权的车辆路面冲击声品质评价
朱洪林, 宋帅, 吴昱东, 杨明亮, 税永波, 丁渭平
2023, 58(2): 296-303. doi:10.3969/j.issn.0258-2724.20211060
摘要:

为表征与量化人对路面冲击声的主观感受,首先,对减速带工况冲击非平稳噪声信号进行声时感知时长定义,同时根据人耳听声可辨性将声时历程分为冲击段、峰值段及衰减段;进而,以小波变换提取冲击噪声中的主冲击与多重微冲击特征信息,组成冲击声品质评价的基础特征阵;然后,类比峰值因子法定义频域滤波因子,并基于序关系分析法确定时变感知加权系数,组建时频滤波网络对基础特征阵加权且建立冲击声品质时频感知评价指标;最后,基于实车过减速带冲击噪声测试数据计算声品质指标,并进行对比验证. 研究结果表明:所提时频感知加权评价指标与主观评价的相关系数在车速20 km/h时为0.927,在车速30 km/h时为0.922;在考虑路面冲击声声时历程全程评价时,经典的声品质评价指标(特征频带时变响度)与主观评价的相关系数在车速20 km/h时为0.933,在车速30 km/h时为0.649;所提时频感知加权评价方法对于车速为20 km/h与30 km/h的情况具有较好的适用性.

柔性双层隔振系统振动能量解耦方法及应用
宋世哲, 董大伟, 黄燕, 徐昉晖, 张伟, 闫兵
2023, 58(2): 304-313. doi:10.3969/j.issn.0258-2724.20210993
摘要:

为解决难以利用能量解耦法设计柔性双层隔振系统的问题,提出一种能够表示柔性设备和中间质量弹性模态特点的多自由度模型;基于该模型,提出采用广义弹性力对柔性隔振系统进行解耦的方法,并推广到柔性结构中;以某内燃动车动力总成双层隔振系统为例,基于所提方法探讨了构架弹性模态下刚体振动与弹性振动的耦合情况;最后通过振动实验台验证了该方法的有效性. 研究结果表明:机组一级隔振系统垂向频率从12 Hz降低到8 Hz后,系统所有模态频率均得到不同幅度的下降,前两阶刚体振动模态频率下降最明显,分别下降50.00%和49.98%;构架弹性模态频率比机组弹性模态频率更低,影响更大,构架弹性模态频率下降8.32%,机组弹性模态频率下降0.80%;在构架弹性振动模态振动中,构架弹性振动能量所占比例提高14.88%,刚体振动能量所占比例降低90.64%,降低一级隔振系统垂向频率能够提高振动解耦效果,减少振动传递.

柴油机两级相继增压系统设计与匹配试验研究
李先南, 胡登, 王贺春, 王彬彬, 王银燕, 杨传雷, 贺天琪
2023, 58(2): 314-321, 331. doi:10.3969/j.issn.0258-2724.20220055
摘要:

为改善低工况条件下因增压压力不足而造成柴油机缸内燃烧恶化问题,将两级增压(two-stage turbocharging,TST)与相继增压(sequential turbocharging,STC)技术相结合. 首先,通过推进特性试验进行两级相继增压与柴油机匹配计算,确定增压器型号;其次,利用GT-power软件得到增压器与柴油机联合运行曲线,验证方案的可行性;最后,进行台架试验,分析推进特性和负荷特性下两级相继增压对柴油机性能影响. 试验结果表明:推进特性条件下,在0~50%负荷区间,采用单涡轮增压(1TC)可以改善燃烧恶化问题;在50%~100%负荷区间,采用双涡轮增压(2TC)能够进一步提高空燃比,改善缸内燃烧,尤其在60%负荷下,燃油消耗率相比原机降低8.08%;两级相继增压模式在低转速、全扭矩及中高转速、高扭矩运行区域,可实现增压器的良好匹配.

基于多车型CNN-GRU性能预测模型的轨道状态评价
杨飞, 郝晓莉, 杨建, 孙宪夫, 高彦嵩, 张煜
2023, 58(2): 322-331. doi:10.3969/j.issn.0258-2724.20211030
摘要:

不同车型高速综合检测列车的动力学传递特性不同,使得其对同一线路的车体加速度评价结果存在一定差异. 为解决上述问题,本文基于多列动检车的检测数据,将卷积神经网络(convolutional neural network,CNN)与门控循环单元(gated recurrent unit,GRU)相结合,建立了多车型车辆动力学响应预测模型,通过输入多项实测轨道不平顺和车速预测各车型的车体垂向和横向加速度,并将多车型车体加速度预测值的最大包络作为轨道状态评价依据. 结果表明:将高低、轨向不平顺等8项轨道不平顺和车速共同作为输入参数的模型预测性能最优,车体垂向和横向加速度预测的评估指标分别提升了5%~13%和25%~36%;CNN-GRU模型所预测的车体加速度在时域和频域均与实测结果吻合较好,相关系数最大达到0.902;且相比于BP (back propagation)神经网络,各项车体垂向和横向加速度预测的评估指标分别提升了36%~109%和11%~167%;针对某轨道几何状态不良区段应用效果,预测6种车型中有4种车型达到车体垂向加速度Ⅰ级或Ⅱ级超限,有1种车型达到车体横向加速度Ⅰ级超限,提高了轨道状态评价的准确性和一致性.

不同岩石和围压下刃形对滚刀破岩性能的影响
张蒙祺, 王一博, 章龙管, 段文军, 苏叶茂, 莫继良, 周仲荣
2023, 58(2): 332-339. doi:10.3969/j.issn.0258-2724.20210171
摘要:

滚刀位于全断面隧道掘进机(TBM)最前端,与岩石直接发生接触,是执行破岩掘进的关键零部件. 研究TBM滚刀截面轮廓(刃形)对其破岩性能的影响机理和规律,对指导工程实际中滚刀选型与设计、提高TBM掘进效率具有重要意义. 首先建立二维颗粒流离散元模型,针对工程中最常用的平头滚刀和圆弧滚刀,选取两种强度不同的岩石并对其中一种施加固定10 MPa围压;然后,开展滚刀破岩仿真,通过分析比能、破岩体积、刀具载荷、裂纹数量等结果,对滚刀刃形与岩石破碎的关联性进行研究;最后,通过缩比滚刀破岩实验验证数值分析所得结论的正确性. 分析结果表明:滚刀刃形对其破岩性能影响显著,在本文所涉及参数范围内,对于多数岩石强度与围压组合,圆弧滚刀比能均低于平头滚刀比能,平均降低19.8%;圆弧滚刀破岩力比平顶滚刀破岩力平均低32.6%,表明破岩过程中圆弧滚刀做功较少,而二者产生的岩石碎片总体积相差不大(平均差值7%),则圆弧滚刀破除单位体积岩石所消耗的能量更少. 综上所述,两种常用滚刀刃形相比,在岩石强度与围压较高的地层中可考虑优先选用圆弧滚刀.

基于时空注意力卷积神经网络的交通流量预测
夏英, 刘敏
2023, 58(2): 340-347. doi:10.3969/j.issn.0258-2724.20210526
摘要:

为充分挖掘交通流量的复杂时空动态相关性以提高交通流量预测精度,引入空间注意力机制与膨胀因果卷积神经网络,提出一种基于时空注意力卷积神经网络的交通流量预测模型(spatio-temporal attention convolutional neural network,STACNN). 首先,由膨胀因果卷积与门控单元构建的门控时间卷积网络模块用于获取交通流量的非线性时间动态相关性,避免在训练长时间序列时发生梯度消失或梯度爆炸;其次,采用空间注意力机制为路网中的交通传感器节点自动分配注意力权重,动态关注不相邻节点之间的空间关系,并结合图卷积神经网络提取路网的局部空间动态相关性特征;然后,通过全连接层获取最终的交通流量预测结果;最后,利用高速公路交通数据集PEMSD4、PEMSD8进行了60 min的交通流量预测实验. 实验结果表明:与基线模型中具有良好性能的时空图卷积网络(spatio-temporal graph convolutional network,STGCN)模型相比,提出的STACNN模型预测结果的平均绝对误差(mean absolute error,MAE)在两个数据集上分别提高2.79%和1.18%,平均绝对百分比误差(mean absolute percentage error,MAPE)分别提高1.00%和0.46%,均方根误差(root mean square error,RMSE)分别提高3.80%和1.25%;此外,引入的膨胀因果卷积神经网络与空间注意力机制对提取时空动态相关性特征均具有积极的贡献.

异质流网联车的不同换道集聚策略
吴德华, 彭锐, 陈荣峰
2023, 58(2): 348-356. doi:10.3969/j.issn.0258-2724.20211035
摘要:

为研究车联网环境下异质交通流的演变规律,首先,引入相对熵定量描述异质流的有序性,并分析有序性与智能网联车(connected and autonomous vehicle,CAV)市场渗透率、协同自适应巡航控制(cooperative adaptive cruise control,CACC)队列数之间的内在联系,推导得出智能网联车渗透率的增加及队列数的减少可以提升异质流的有序性;其次,提出了保守型集聚(conservative aggregation,CSA)、激进型集聚(radical aggregation,RDA)两种改进的智能网联车集聚换道策略,并通过元胞自动机仿真实验,从通行能力、相对熵和平均队列长度等方面比较了无集聚(no aggregation,NOA)、常规集聚(conventional aggregation,CVA)、CSA、RDA 4种换道策略的优劣;最后,在CSA换道策略中分析了不同最小队列规模限制对于通行能力的影响. 研究结果表明:在双车道环境下,采取集聚换道策略能使智能网联车形成CACC队列,使异质流趋于“有序”,在20~95辆/km密度范围内提升通行能力;相比NOA换道策略,CSA、RDA换道策略分别最大提升道路通行能力12.6%、14.0%,但当智能网联车市场渗透率为0.8时,RDA换道策略导致最大通行能力反而降低25.8%;根据相对熵对异质流中智能网联车辆集聚程度的定量描述,NOA、CVA、CSA、RDA 4种换道策略对智能网联的集聚能力依次递增;在CSA换道策略中,CACC最小队列规模取4辆时道路通行效率达到最佳.

铁水运输调度双层多目标约束优化模型
马亮, 胡宸瀚, 金福才, 董炜
2023, 58(2): 357-366, 397. doi:10.3969/j.issn.0258-2724.20220008
摘要:

为实现铁水运输作业排程与资源分配的协同优化,基于约束程序累积调度和字典序多目标优化理论,研究了铁水运输调度双层多目标约束优化方法. 首先,基于铁水罐周转率最高和作业效率最高2个字典序优化目标,考虑作业时序、作业实施逻辑、铁水温降时限、铁水罐作业次数限制、资源容量限制和铁水罐资源池等约束条件,建立了上层的铁水运输作业排程约束优化模型;其次,以资源利用均衡度最高为目标,将作业实施唯一性和资源容量限制作为约束条件,建立了下层的铁水运输资源分配约束优化模型;最后,通过约束传播与多点构建性搜索的混合算法迭代求解整个模型. 通过实例验证表明:设计的混合算法求得的铁水罐周转率目标和运输作业效率目标,比基本深度优先回溯算法分别提高了14.29%和60.53%;字典序多目标模型比加权和单目标模型求解效率和求解质量分别提高了20.3%和11.11%.

基于MA-CPT模型的出行方式选择模型优化
黄奕慧, 杨飞, 张栋, 曾优美
2023, 58(2): 367-372. doi:10.3969/j.issn.0258-2724.20210938
摘要:

为提高累积前景理论在出行方式选择建模应用中的准确性,考虑个体对于时间与费用货币态度的不同,优化原始累积前景理论(cumulative prospect theory,CPT)模型的时间值函数和时间权重函数. 首先,针对时间压力下出行方式偏好发生转变的现象,将出行方式分为刚性出行和弹性出行,改进刚性出行情景下的时间值函数形式,并根据出行时间特性求出时间权重函数中吸引力参数的取值范围,构建MA-CPT (mental accounting-cumulative prospect theory)模型;其次,根据实证数据标定时间权重函数中辨别力参数和吸引力参数的取值;最后,标定 MA-CPT模型结果并检验其拟合优度,对比MA-CPT模型和CPT模型的命中率. 实证分析结果表明:刚性出行和单行出行场景下,时间权重函数的吸引力参数值均大于1.00;MA-CPT模型在刚性出行和弹性出行情境下的拟合优度分别为0.17和0.18;相比于CPT模型,MA-CPT模型在弹性出行和刚性出行情景下的命中率分别提高了12.2%和19.8%.

高铁声屏障连接螺栓松弛对疲劳寿命的影响
卫星, 汪蓉蓉, 温宗意, 戴李俊, 胡喆
2023, 58(2): 373-380. doi:10.3969/j.issn.0258-2724.20210060
摘要:

螺栓的疲劳寿命和松弛寿命影响着螺栓的使用寿命,在疲劳和松弛的共同作用下,柱脚处连接不断退化,为探究高铁声屏障连接螺栓松弛对疲劳寿命的影响,以某速度为400 km/h高铁声屏障非对称排布和对称排布螺栓为研究对象,利用ANSYS建立柱脚螺栓有限元模型,通过降温法施加预紧力,并施加正负单位弯矩荷载,计算柱脚最不利螺栓在不同预紧力作用下的应力幅,提出了应力幅随预紧力变化的拟合关系式;利用Midas建立声屏障整体模型,分析列车在400 km/h行驶速度下结构动力响应特性,提取柱脚螺栓弯矩时程结果,对仅考虑疲劳失效的螺栓寿命和考虑松弛疲劳共同影响下的螺栓寿命进行比较. 研究结果表明:螺栓松弛会使预紧力下降,导致两种柱脚模型的螺栓应力幅增大;在已有的柱脚螺栓时程计算中,考虑松弛疲劳共同影响下的疲劳寿命比仅考虑疲劳作用时大大降低,当松弛导致预紧力下降至55%以后,将会产生疲劳效应,该结果可为连接结构领域设计人员定量评估螺栓寿命以及对螺栓的维修养护方面提供参考依据.

漏斗型峡谷桥址区平均风特性的数值模拟
张明金, 邢龙飞, 蒋帆影, 张金翔, 李永乐
2023, 58(2): 381-387. doi:10.3969/j.issn.0258-2724.20211006
摘要:

结合某大跨悬索桥所在山区地形,研究了漏斗型峡谷这一特殊构造地形的桥址区平均风特性,为大跨度桥梁在漏斗型峡谷地区的抗风设计提供依据. 首先,建立实际地形的数值模型,并利用Fluent软件对24个不同来流工况进行比较分析;然后,将整体模拟结果与实测结果进行对比,验证数值模拟的合理性;最后,通过模拟结果的对比分析,探讨漏斗型峡谷桥位对风速大小、风攻角、风向角在不同来流方向的影响规律,分析平均风速随攻角分布的特点以及不同位置处的竖向风剖面特性. 研究结果表明:漏斗型峡谷桥址区存在明显峡谷风加速效应;漏斗型地形对桥址区来流的攻角和风向分别表现为弱扰乱性和高导向性,来流攻角和风向分别稳定集中在−5°~0° 和25°~30°;峡谷中风速对攻角变化的敏感性更高.

公铁平层桥梁桥塔遮风效应风洞试验研究
何佳骏, 向活跃, 朱金, 张博韬, 李永乐
2023, 58(2): 388-397. doi:10.3969/j.issn.0258-2724.20210286
摘要:

车辆经过桥塔区域时,由于桥塔的遮风效应,其气动荷载会产生突变,且公铁平层桥梁的桥塔由于纵向尺度较大,车辆经过桥塔区域时气动荷载的变化更加剧烈. 为明确某公铁平层桥梁上车辆在桥塔区域的气动特性,制作了1/20大比例尺的风洞试验模型;基于优化后的测试系统,测试了车辆通过公铁平层宽幅桥梁桥塔时的气动荷载,研究了车道位置、车辆类型以及桥塔外形对通过桥塔车辆的气动特性的影响. 结果表明:越靠近桥塔车道上的车辆,经过桥塔时的横向力系数、摇头力矩系数的突变量更大,正向升力也越大,因而更容易发生侧滑与侧偏;车长对车辆通过桥塔区域的性能有显著影响,长度较小的车辆具有更大的横向力系数突变量,长度较长的车辆具有更大的倾覆力矩系数、摇头力矩系数及点头力矩系数突变量;与矩形截面桥塔相比,带倒角的桥塔使得厢式货车的横向力突变量减小了43.7%,使集装箱车的横向力系数突变量减小了25.8%,且使集装箱车的摇头力矩系数突变量减小了29.2%.

孤立波浪边界干扰下流线型箱梁气动特性
殷瑞涛, 祝兵, 田源, 杨镇宇, 杨志莹
2023, 58(2): 398-405, 413. doi:10.3969/j.issn.0258-2724.20210211
摘要:

近海流线型箱梁主梁距水面较低时,气动特性极易受到极端波浪边界的干扰.为研究极端波浪边界干扰下流线型箱梁气动特性,以孤立波浪模拟极端波浪,基于FLUENT软件,采用铺层网格技术建立了模拟运动孤立波浪边界干扰下流线型箱梁气动特性的数值模型;利用所建立并验证的数值模型研究了不同参数下运动孤立波浪边界对流线型箱梁气动特性(静气动力系数、涡量场以及平均压力系数和脉动压力系数分布)的干扰. 分析结果表明:不同孤立波浪边界运动速度干扰下流线型箱梁气动特性明显区别于无波浪工况;随波浪边界运动,迎风角处剪切层方向相比于梁底转折角处(8° 风攻角)及梁顶转折角处(−8° 风攻角)剪切层方向变化明显;在运动孤立波浪边界干扰下,箱梁抖振响应会随风攻角幅值增大呈增大趋势.

高寒地区后张PC梁孔道冻胀损伤研究
孙宝林, 杨永清, 黄胜前, 高玉峰, 余小华, 李凯, 杨成龙
2023, 58(2): 406-413. doi:10.3969/j.issn.0258-2724.20210004
摘要:

预应力孔道内压浆料浆液及自由水冻胀致使混凝土沿纵向开裂,是高寒地区后张预应力混凝土(PC)梁特有的病害,严重影响结构的安全性、适用性、耐久性. 为了明确病害特征,对冻胀受损梁体进行钻孔和解剖检测,进一步精细定量地研究冻胀效应,采用有限元软件ABAQUS建立孔道冻胀非线性模型,开展压浆料浆液冻胀行为分析和自由水冻胀参数分析,研究孔道内压浆液冻胀率和自由水体积的控制指标. 研究结果表明:高寒地区后张PC结构孔道压浆后,受冻并先后发生压浆料浆液冻胀和自由水冻胀,致使孔道周围混凝土反复受拉而沿纵向开裂;压浆料浆液的体积膨胀率宜控制在0.80%以内,最高不得超过1.73%;泌水体积比宜控制在0.04%以内,最高不得超过0.52%,由此可有效降低孔道内压浆液及自由水冻胀的风险.

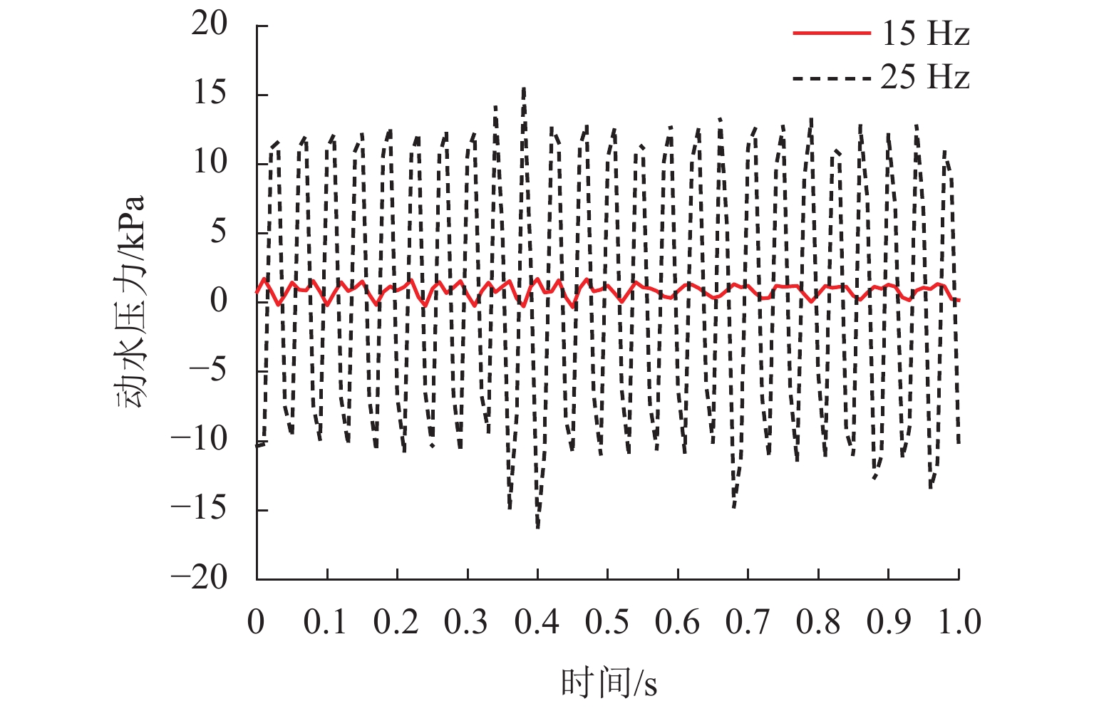
无砟轨道层间动水压力试验设计
杨荣山, 陈健, 王元浩, 高自远, 李莹, 曹世豪
2023, 58(2): 414-420. doi:10.3969/j.issn.0258-2724.20220342
摘要:

无砟轨道层间界面是其薄弱环节,雨水侵入会加剧层间损伤. 为研究无砟轨道层间离缝内动水压力分布规律,建立无砟轨道层间脱空平面计算模型,分析脱空深度与开口量对脱空区域垂向位移的影响,确定与现场实测接近的脱空深度;并设计无砟轨道层间脱空模拟装置,验证高频荷载作用下该装置的有效性;基于此装置,开展层间离缝动水压力试验,研究荷载频率、离缝开口量对动水压力的影响. 结果表明:当荷载频率为25 Hz,幅值为1.1 kN时,层间脱空模拟装置板端最大垂向相对位移与现场测试结果吻合,表明该装置能模拟层间动水;在高频荷载作用下,层间离缝内水压力正负交替变化,动水压力沿离缝深度方向增大,在离缝尖端水压力最大为15.794 kPa;荷载频率从15 Hz提高至25 Hz时,最大动水压力从1.646 kPa增长到15.794 kPa,约增大10倍;开口量从8 mm增加至14 mm时,最大动水压力从8.320 kPa增大到15.794 kPa,约增大2倍.

方中空不锈钢管混凝土短柱轴压承载力性能
唐红元, 廖静, 刘瑞忠, 胡晓维
2023, 58(2): 421-429. doi:10.3969/j.issn.0258-2724.20210388
摘要:

为促进方中空不锈钢管混凝土构件在土木工程中的应用,以不锈钢外管厚度和混凝土强度为变量的6组试件为研究对象,首先,进行轴压试验,得到了不同试件在轴压荷载作用下的破坏模式、荷载-位移曲线、荷载-应变曲线,并进一步分析了不锈钢方管宽厚比、核心混凝土强度以及不锈钢方管约束效应系数对方中空不锈钢管混凝土短柱极限承载力的影响;然后,初步讨论了倒角对强度和延性的影响,提出了避免内管先于外管屈曲的最小厚度计算方法;最后,基于试验结果以及已有文献数据,采用拟合方法推导了方中空不锈钢管混凝土短柱的抗压承载力计算式,并与已有文献的简化模型及国外主要规范的计算结果进行对比. 研究结果表明:试件宽厚比由34.9降至20.9,极限承载力的提升率平均为98.5%,核心混凝土强度由C40提升至C60时,试件极限承载力的提升率平均为7.3%;短柱的轴压极限承载力随约束效应系数近似呈线性增加,约束效应系数 $ \xi $ 越大,短柱的承载力越高;本文得到的计算式可以较好地预测方中空不锈钢管混凝土短柱的轴压承载力.

基于PIV试验的积雪平屋面风场特性研究
郑云, 刘志祥, 余志祥, 傅彦青
2023, 58(2): 430-437, 461. doi:10.3969/j.issn.0258-2724.20210262
摘要:

为研究屋盖积雪对低矮平屋面风场特性的干扰影响,基于风吹雪风洞试验,通过3D打印获得平屋面的3D积雪形态,并以无积雪模型作为对照,系统地开展了PIV (particle image velocimetry)风洞试验,并结合LES (large eddy simulation)方法,研究了6组平屋面建筑有无积雪时的流场分布特性. 试验研究表明:当无积雪时,来流在屋面前缘处分离后能形成典型的分离泡流动,分离泡内速度场存在明显逆流现象;当有积雪时,屋面上方的逆流减弱甚至消失,积雪显著地加快了流经屋面附近流场的速度,其最大速度增量约为0.6,同时,流线分布更贴合模型壁面,速度梯度增大,也相对增大了涡量值;积雪会使得屋面上方整体的时均湍动能和切应力均减小,但对屋面迎风区域的平均和脉动风压均有增大作用,其增大比值约为15%和20%. 通过该研究可进一步对低矮建筑的风雪荷载作用机理展开分析,为屋盖结构的抗风雪设计提供参考.

带水平滑移层框架空心砖填充墙的平面外稳定性
苏启旺, 杨寒, 李志黎, 王自松, 汪铸航
2023, 58(2): 438-445. doi:10.3969/j.issn.0258-2724.20210351
摘要:

空心砖填充墙体内设置水平滑移层,能削弱墙充墙的斜撑作用,可有效减轻空心砖填充墙的破坏程度. 为研究设置水平滑移层框架空心砖填充墙体的平面外稳定性,分析了填充墙平面外破坏模式,基于设置水平滑移层框架空心砖填充墙的平面内拟静力试验,建立设置水平滑移层和未设置水平滑移层的框架空心砖填充墙的有限元模型,开展了平面外数值模拟的对比分析. 结果表明:水平滑移层会降低墙体整体性,削弱周边框架对墙体的约束作用;与未设置滑移层的普通填充墙相比,设置水平滑移层的填充墙在平面外荷载作用下的破坏程度增加,平面外位移和刚度退化速率增大,平面外开裂荷载降低43.1%,峰值荷载降低22.2%;设置水平滑移层的填充墙在不同抗震设防烈度的多遇和罕遇地震作用下,墙体平面外承载力大于按规范计算要求的平面外承载力,满足规范要求.

高强钢丝编织格栅网面内拉伸性能的数值分析
汪敏, 陈鹏, 刘盈丰, 冯刚, 江燕
2023, 58(2): 446-452. doi:10.3969/j.issn.0258-2724.20210379
摘要:

采用高强钢丝编织的格栅网在边坡浅层地质灾害和军事工程防护领域均有着广泛的应用. 由于影响格栅网面内力学性能的参数较多,精细化的数值分析可为优化格栅网的制备工艺充分发挥其力学性能提供依据. 为此,基于ANSYS Mechanical模块,在格栅网力学性能理论研究基础上,考虑钢丝材料的非线性应力强化效应、格栅网几何构造形成的各向异性以及连接节点处编织工艺造成的接触和状态非线性等因素,开展了格栅网面内拉伸力学性能的非线性数值分析. 结果表明:数值计算与试验获得的格栅网应力应变变化趋势基本一致;与试验结果相比,数值计算获得的格栅网等效弹性模型(刚度)在 Y 方向误差为10.6%, X 方向误差为18.5%;数值计算获得的格栅网极限应力应变在 Y 方向误差分别为10.0%和12.8%,在 X 方向误差分别为0.7%和18.3%.

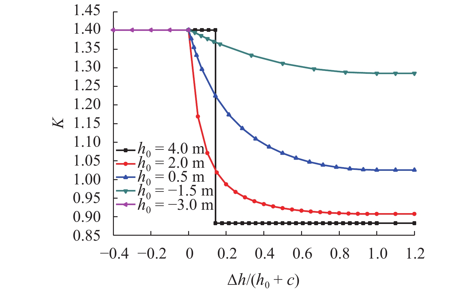
考虑空间形状的覆盖型岩溶土洞降水致陷分析
郭锐剑, 陈学军, 段建, 唐灵明, 张晓宸
2023, 58(2): 453-461. doi:10.3969/j.issn.0258-2724.20210494
摘要:

为揭示覆盖型岩溶土洞降水致陷机理、洞体形状尺寸影响及极限平衡状态下内在规律,以常见直筒塌陷椭球土洞为研究对象,构建其降水致陷力学模型,依据玻义耳-马略特定律推导了土洞空腔负压计算公式,以此获得土洞塌落稳定系数表达式,并对比验证计算公式的可行性;进一步获得了极限平衡状态下土体物理力学参数、降水参数、土洞空间形状尺寸及覆土厚度之间内在关系式;基于算例开展了地下水降水参数与土洞形状尺寸参数影响、极限平衡状态下内在规律分析. 研究结果表明:初始水位高于洞顶时,土洞塌落稳定系数与地下水降深展现“Z”字形规律变化,下降稳定水位降越拱顶瞬间极易引发土洞塌陷;初始水位处于洞体时,两者呈现前陡后缓的负相关变化规律,且洞内初始水位越高,降幅越大;初始水位低于洞底时,降深影响很小. 椭球长短半轴之比对稳定系数影响符合增函数变化规律,截面离心率越大越稳定,而圆形球体则最不利;矢高和稳定系数呈线性关系,矢高增加成拱效应显著,土洞越稳定. 极限平衡状态下,初始水位一定时,降深与覆盖层厚度正相关,呈现前缓后陡变化趋势,而覆盖层厚度一定时,降深与初始水位负相关;土洞水平截面离心率越大或矢高越大,达到极限平衡状态所需地下水降深则越大,表现为前缓后陡变化规律.

纤维丝和网加筋泡沫轻质土力学特性和抗冻性
陈成华, 黄志超, 黄俊杰, 杨晨
2023, 58(2): 462-469. doi:10.3969/j.issn.0258-2724.20210160
摘要:

为分析短纤维丝和纤维网加筋对泡沫轻质土力学性能和抗冻性的影响,开展了一系列的无侧限抗压强度试验、抗折强度试验、动三轴试验和冻融循环试验. 试验结果表明:对提高抗压强度而言,设计湿密度为700 kg/m3的泡沫轻质土掺入短纤维丝的最优长度和掺量分别为6 mm和0.4%;采用长度6 mm和掺量0.4%的短纤维丝对设计湿密度在400~1 000 kg/m3的泡沫轻质土进行加筋后,泡沫轻质土抗压强度、抗折强度和动应力阈值得到了显著地提高,最小提高量分别为35.3%、31.4%和53.4%;采用长度6 mm和掺量0.6%的短纤维丝对泡沫轻质土进行加筋后,设计湿密度分别为400、700、1 000 kg/m3的泡沫轻质土抗冻融循环次数分别由5、25、125次提高至10、50次和超过150次,泡沫轻质土抗冻性得到了显著地提高;相对于提高泡沫轻质土抗折强度而言,纤维网0.4%短纤维丝复合加筋的效果最好,单一纤维网加筋方式次之,单一短纤维丝加筋方式最差;短纤维丝、纤维网或两者复合加筋均显著地增加泡沫轻质土的韧性.

硫酸盐渍土热-质迁移试验与耦合模型
罗崇亮, 余云燕, 张璟, 崔文豪, 杜乾中, 丁小刚
2023, 58(2): 470-478. doi:10.3969/j.issn.0258-2724.20220633
摘要:

为研究西部寒旱区盐渍土传热传质行为,首先,在无压补给条件下进行非饱和硫酸盐渍土的单向冻结试验;其次,考虑结晶潜热、结晶阻抗及结晶消耗等因素,建立非饱和硫酸盐渍土水-热-盐三场耦合模型;最后,采用COMSOL Multi-physics对耦合模型进行数值模拟,将模拟结果与试验数据进行对比分析. 研究结果表明:盐渍土内温度随冻结时长呈三阶段发展,逐步形成上冷下暖的温度梯度;在温度梯度和基质吸力双重驱动下,水、盐向冻结锋位置迁移,冻结锋位置水、盐含量出现峰值,峰值含水率、含盐量相较初始值分别增加2.16%和0.28%;冻结锋沿冻结温度线移动,形成冻结锋面;土柱最大冻结深度约为15.5 cm.

有轨电车嵌入式轨道路基荷载动应力特性分析
谢宏伟, 罗强, 蒋良潍, 张良, 王腾飞, 刘钢
2023, 58(2): 479-488. doi:10.3969/j.issn.0258-2724.20210303
摘要:

掌握有轨电车交通荷载下路基动力响应特性是设计嵌入式轨道路基结构的关键技术前提. 首先,考虑车体间铰接形式、轨道支承特点与路基阻尼影响,构建有轨电车-嵌入式轨道-土质路基耦合动力学模型;然后,以中国普通干线铁路轨道谱为激励,进行动力学仿真;最后,分析路基面承受车辆荷载特点,并讨论动应力放大系数的概率分布特征与沿深度衰减规律. 研究表明:嵌入式轨道结构路基面动应力的幅值受轨道随机不平顺影响服从正态分布规律;在有轨电车轴重11 t、设计速度100 km/h、90%干线轨道谱条件下,路基面动应力放大系数服从正态分布 N (1.008, 0.1002),超越概率30%的常遇动力系数为1.058,保证率为99.9%的极限动力系数为1.308;受路基材料阻尼影响,动应力放大系数沿深度线性衰减,阻尼增大,衰减趋势加剧;随着深度增加,动应力放大系数均值逐渐减小,由动力作用增大区略大于1过渡到动力作用减弱区小于1.

Baidu
map