• ISSN 0258-2724
  • CN 51-1277/U
  • EI Compendex
  • Scopus 收录
  • 全国中文核心期刊
  • 中国科技论文统计源期刊
  • 中国科学引文数据库来源期刊

2024年 第59卷 第5期

显示方式:
轨道交通“网-源-储-车”协同供能技术体系
高仕斌, 罗嘉明, 陈维荣, 胡海涛, 涂春鸣, 陈艳波, 肖凡, 王飞宽
2024, 59(5): 959-979, 989. doi:10.3969/j.issn.0258-2724.20220210
摘要:

为降低轨道交通系统牵引能耗,轨道交通“网-源-储-车”协同供能技术通过可再生能源的就地消纳,构建新型协同供能技术体系,实现跨时空高效用能. 针对此新型供电系统结构,本文全面分析协同供能系统的物理架构、信息架构和社会架构的基本组成及类型特征;在此基础上,围绕资产能源化的基本概念,总结“荷-源”时空匹配评估方法与优化技术,并从系统角度阐述多源融合技术、保护重构、弹性评估等重要技术体系;重点分析“网-源-储-车”协同的高效能与高弹性的能源自洽技术,并基于人工智能和信息技术构建多层级能量管控系统,实现不同能量流的高效耦合,保障系统安全稳定经济运行. 本文系统性地总结了轨道交通“网-源-储-车”协同供能系统的架构特征、评估优化、安全运维及协同运行等关键技术,阐述协同供能系统的技术组成体系,为协同供能系统的工程实践提供相应参考.

独立充放时序SIDO开关变换器电流型变频控制技术
贺明智, 林润泽, 周述晗, 冯沛, 李欢, 王登峰
2024, 59(5): 980-989. doi:10.3969/j.issn.0258-2724.20220535
摘要:

单电感双输出(single-inductor dual-output,SIDO)开关变换器工作在共享充放时序下存在电感电流纹波大、输出支路间交叉影响严重以及电路参数宽范围变化下控制电路不能正常工作等问题. 为此,提出一种独立充放时序电流型变频控制(current-mode variable frequency control,C-VF)技术. 首先,具体描述变换器在连续导电模式(continuous conduction mode,CCM)下的工作原理,并推导主电路开环传递函数;进一步构建闭环小信号模型,推导闭环交叉阻抗,详细分析不同输出电压及负载电流下变换器的交叉影响特性;最后,通过仿真和实验进行验证. 研究表明:相较于共享充放时序,独立充放时序C-VF CCM SIDO buck变换器减小了交叉影响,改善了负载瞬态响应性能;当两支路负载电压不等时,减轻某一支路负载可以降低该支路的交叉影响;当两支路输出电压相同但负载不同时,重载支路对轻载支路的交叉影响更小.

电气化铁路弓网系统摩擦磨损性能研究进展
周宁, 支兴帅, 张静, 郑伟, 罗朝基, 张卫华
2024, 59(5): 990-1005, 1022. doi:10.3969/j.issn.0258-2724.20220053
摘要:

针对电气化铁路弓网正常和异常状态的接触副,分析受电弓滑板磨耗周期内的摩擦磨损性能差异性,特别是受电弓滑板的磨耗率和磨耗型面的差异性,包括:发生异常磨损时受电弓滑板磨损率数倍甚至数十倍的增长差异,以及局部偏磨、波浪型磨耗和贯穿性凹坑等磨耗型面差异;着重归纳不同弓网系统载流摩擦磨损试验台的特点及异同,总结磨耗检测接触式测量方法与非接触式测量方法的优劣;分析弓网系统结构及参数、列车运行参数、弓网系统载流参数及外界环境等因素的影响,归纳总结弓网载流摩擦磨损特性的演变规律. 在此基础上,综合分析弓网系统磨耗机理分析模型和数据拟合模型的研究现状和进展,并给出弓网系统载流摩擦磨损性能在后续研究中所需重点关注的研究方向和发展趋势,包括:弓网摩擦副的真实服役工况在实验室条件下的等效模拟;弓网磨耗性能的在线高精度检测;复杂气候条件及多物理场耦合作用下弓网磨耗性能的仿真和优化;结合大数据和智能算法的弓网磨耗预测,以及智能运维策略和全生命周期的能力保持技术等.

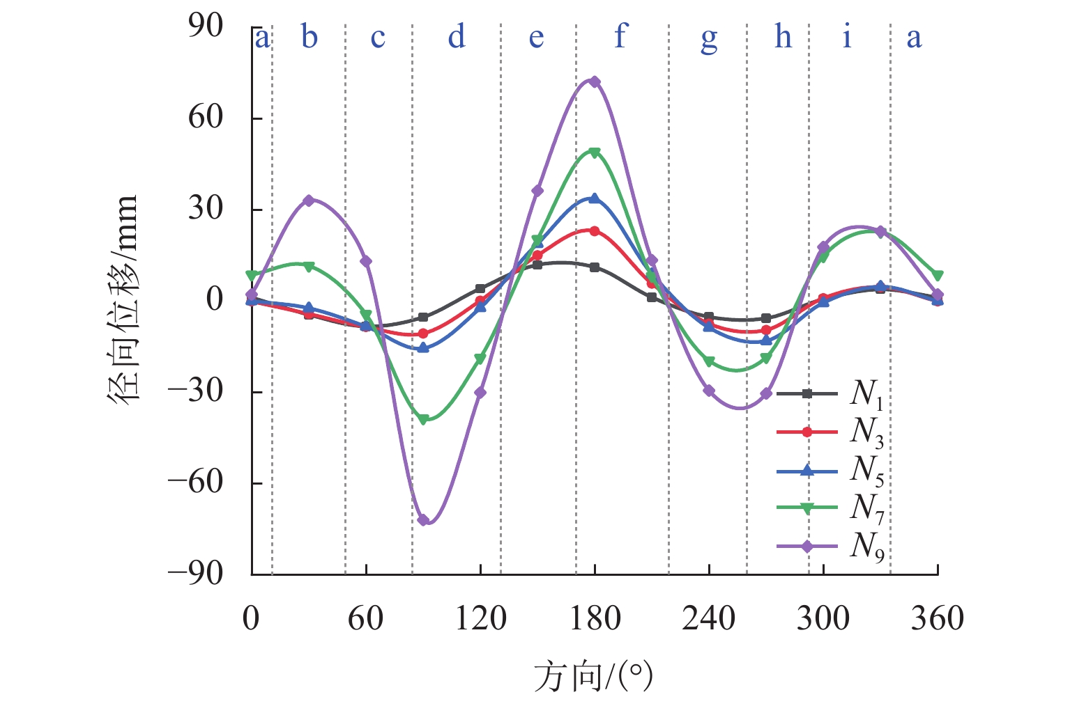
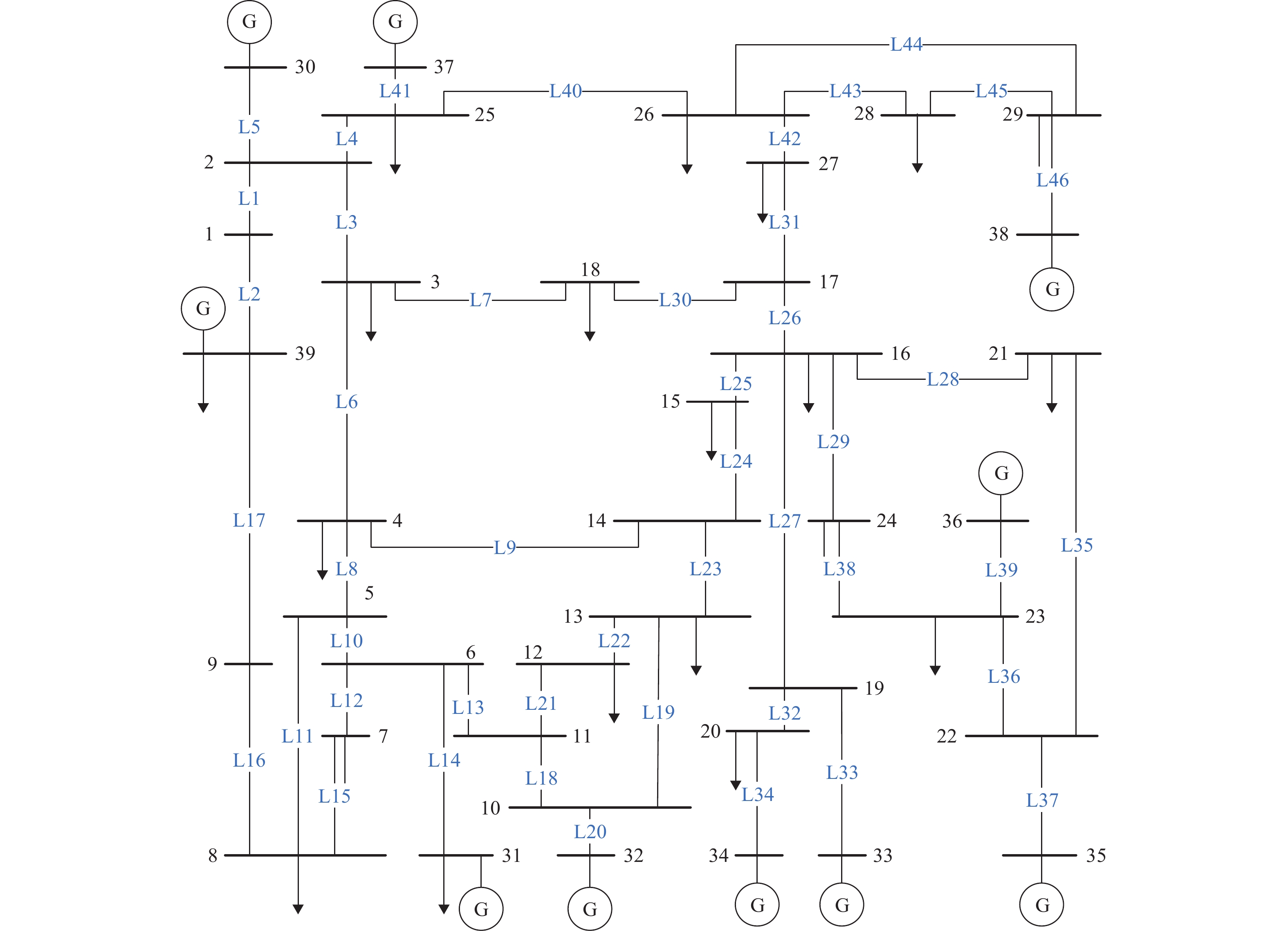
基于潮流相关性网络的电网脆弱线路识别
范文礼, 叶雨润, 李全优, 肖烨琦, 熊力颖, 何晓凤
2024, 59(5): 1006-1013. doi:10.3969/j.issn.0258-2724.20210535
摘要:

国内外大停电事故表明,电力系统中的脆弱线路会带来极大的运行风险,直接导致系统安全性下降. 鉴于此,本文根据二级连锁故障发生时有功潮流的转移特征进行电力系统脆弱线路识别. 首先,从系统运行角度,以电力系统发生二级连锁故障时有功潮流的转移量为系统线路间关系进行赋权,并构建双向加权潮流相关性网络;随后,为量化线路在连锁故障中的脆弱性,提出一种基于改进 E 指数的脆弱线路识别方法. 研究表明:针对IEEE-39节点系统,依据本文方法识别结果中前8条脆弱线路的平均风险价值指数和平均条件风险价值指数分别为 3453.73 MW与187.82 MW,远高于其他方法所得结果;静态蓄意攻击后所得的系统剩余负荷率仅为43.4%,系统子电气岛数量快速增长.

基于SWIPT的能量收集WSN吞吐量性能分析及优化
李翠然, 杨茜, 谢健骊, 吕安琪
2024, 59(5): 1014-1022. doi:10.3969/j.issn.0258-2724.20220625
摘要:

针对能量收集无线传感器网络(wireless sensor network,WSN)中的两跳多中继传输问题,构建无线射频能量站(power beacon,PB)辅助的能量收集无线携能通信(simultaneous wireless information and power transfer,SWIPT)中继模型. 在中继节点具有捕获源节点、环路自干扰和PB信号能量的特性下,推导目的节点采用选择式合并(selection combining,SC)、最大比合并(maximal ratio combining,MRC) 2种不同接收策略下的中断概率和吞吐量,继而在保障通信服务质量(quality of service,QoS)、PB发射功率、能量转化效率等多约束条件下,提出一种以吞吐量最大化为目标的联合优化时隙切换因子与功率分配因子的中继选择算法. 仿真和数值结果显示:PB发射功率、时隙切换因子、天线数目、功率分配因子等参数对系统中断概率和吞吐量性能影响显著;当给定PB发射功率为6 dBW,天线数目为3根时,与随机中继选择算法和最大最小中继选择算法相比,本文算法在SC策略下的系统吞吐量增益分别为0.29、0.15 bit/(s·Hz),MRC策略下的吞吐量增益分别为0.32、0.16 bit/(s·Hz).

面向高铁信号系统工程测试的测试建模方法
史增树, 李耀, 郭进, 张亚东
2024, 59(5): 1023-1033. doi:10.3969/j.issn.0258-2724.20220674
摘要:

高铁信号系统工程测试关注系统中各设备间的复杂行为关系和状态同步,工程测试的测试建模方法缺少复杂行为交互和同步机制,针对此问题,提出基于扩展有限状态机的高铁信号系统工程测试建模方法和测试用例生成方法. 首先,分析高铁信号系统工程测试的特点,提出复杂事件交互和状态同步的测试建模需求,以有限状态机理论为基础,扩展出状态事件和层次性,满足信号系统工程测试中复杂行为关系和状态同步的建模需求,采用 Z 规格说明语言给出扩展有限状态机的形式化定义,定义扩展有限状态机的格局和同步机制;然后,提出将扩展有限状态机转化为时间自动机的算法,利用时间自动机的测试用例生成算法自动生成高铁信号系统工程测试的测试用例;最后,以高铁信号系统工程测试中的进路控制为例,建立扩展有限状态机模型并生成测试用例,通过变异分析对生成的测试用例进行评估. 结果表明:测试用例在检测状态变异和事件表达式变异时的变异评分均为1,具有良好的覆盖度,能够满足高铁信号系统工程测试的需求.

实测轮轨蠕滑曲线对钢轨磨耗影响分析
王平, 宋娟, 杨春凯, 安博洋, 陈嵘
2024, 59(5): 1034-1042. doi:10.3969/j.issn.0258-2724.20220392
摘要:

轮轨蠕滑曲线会影响轮轨动态相互作用,进而影响钢轨磨耗,为研究实测轮轨蠕滑曲线对钢轨磨耗的影响,首先,基于最小二乘法获得适用于Polach模型和修改FASTSIM算法的参数,模拟40~400 km/h行车速度范围内的实测蠕滑曲线;随后,在SIMPACK软件中建立车辆系统动力学模型,并通过Polach模型测得实测蠕滑曲线;最后,采用Kik-Piotrowski模型和修改的FASTSIM算法进行轮轨非赫兹滚动接触计算,并结合USFD磨耗模型预测钢轨磨耗,对比了理想与实测蠕滑曲线条件下钢轨磨耗的差异. 研究表明:理想蠕滑曲线条件下钢轨磨耗深度明显大于实测蠕滑曲线下的结果,随着车辆通过次数的增加,理想条件下钢轨磨耗分布范围更大,内外轨磨耗分布范围分别为实测蠕滑曲线的1.5倍和1.3倍;摩擦系数和磨耗率显著影响钢轨磨耗大小及磨耗分布情况,故在车辆动力学仿真和钢轨磨耗计算中有必要考虑实测轮轨蠕滑曲线;形成了确定实测蠕滑曲线参数的前处理程序,可服务于车辆动力学仿真和钢轨磨耗计算,可以有效指导现场进行钢轨打磨等养护维修工作.

地震作用下纵筋屈曲的研究进展
李晰, 杨昊
2024, 59(5): 1043-1057. doi:10.3969/j.issn.0258-2724.20220549
摘要:

在地震作用下,钢筋混凝土结构中的墩柱在承受竖向力的同时,通常还会受到往复荷载作用下的水平力,若结构中横向约束不足,纵筋可能会发生明显的横向变形,使得结构承载力和延性显著降低,修复困难. 因此,研究纵筋在受压时的屈曲机理对结构设计以及施工都有着重要的指导意义. 鉴于此,对基于单根钢筋直压试验的纵筋屈曲研究进行总结,分析得出钢筋屈曲的主要影响因素是长细比和屈服强度;概括总结基于RC (reinforced concrete)短柱直压试验的纵筋屈曲问题的研究进展,阐述在复杂相互作用下纵筋屈曲可能受到的各种影响因素;结合土木发展现状,对使用新材料/新构造的墩柱中的纵筋屈曲研究进行讨论. 现阶段对纵筋屈曲的研究中没有给出判断钢筋屈曲方向和范围的理论方法,对纵筋的整体屈曲以及新型结构中的纵筋屈曲问题仍有待进一步研究,且应在后续研究中综合考虑锈蚀、加载历程、截面形式以及各材料相互作用等因素对纵筋屈曲的影响.

考虑黏结-滑移效应的UHPC梁钢筋应力计算方法
孙永新, 蔺鹏臻, 杨子江
2024, 59(5): 1058-1067. doi:10.3969/j.issn.0258-2724.20230130
摘要:

为建立适用于配筋超高性能混凝土(UHPC)梁的钢筋应力计算方法,对6片UHPC-T形截面梁开展四点弯曲试验,研究钢筋应力的变化规律. 从钢筋-UHPC受力平衡与变形协调机理出发,应用微元体建立平衡、变形以及黏结-滑移微分方程,导出能综合反映钢筋与UHPC界面黏结-滑移影响及钢纤维抗拉贡献的钢筋应力计算公式,并通过简化应变不均匀系数与裂缝截面钢筋应力计算,提出便于工程应用的钢筋应力简化公式. 研究表明:单位荷载下钢筋应力的增幅随配筋率的提高而减小,而与钢纤维体积率的变化无关;与普通混凝土梁相比,UHPC梁的钢筋应力在开裂截面处偏小,但其分布在相邻裂缝间的不均匀程度更高;钢筋应力建议公式计算值与本文、既有文献的试验值均吻合良好;钢筋应力简化公式计算值与试验值之比的均值为1.03,变异系数为0.06,表明该简化式可用于UHPC梁的钢筋应力计算.

复杂孕灾环境下隧道进口斜坡稳定性分析与评价
徐正宣, 林之恒, 刘云鹏, 聂晓芳, 任利, 张志龙
2024, 59(5): 1068-1077, 1085. doi:10.3969/j.issn.0258-2724.20220361
摘要:

高地震烈度、高地应力、高陡、高寒等复杂孕灾环境下的隧道洞口斜坡,在降雨、强震或人类强烈工程活动影响下,极易发生崩塌、滑坡、泥石流等地质灾害. 为探究复杂孕灾环境下隧道进口斜坡在不同工况条件下的稳定性,以我国西南某加日山隧道为依托,通过无人机摄影、槽探、室内实验及洞探原位测试等“天空地”一体化勘察技术,实现斜坡工程地质信息精细获取,系统揭示斜坡典型破坏特征,讨论斜坡2种破坏成因与演化模式,在此基础上,利用极限平衡法与三维数值模拟方法,量化分析不同工况下的斜坡稳定性. 研究结果表明:加日山隧道进口斜坡在自然工况、暴雨工况、地震工况3种工况下稳定性系数均大于1.15,斜坡整体处于稳定状态,仅后缘表部存在局部变形失稳的可能,成果可为类似隧道的选线规划以及建设运营安全提供理论指导和技术支撑.

落石对缓冲土层的冲击力及冲击深度理论与试验研究
王玉锁, 杨竣翔, 肖宗扬, 李传宝, 田四明, 王伟, 姚庆晨, 赵状
2024, 59(5): 1078-1085. doi:10.3969/j.issn.0258-2724.20230303
摘要:

为阐明基于Hertz接触理论的落石冲击力、冲击深度计算方法及缓冲土层强化系数确定方法的适用性和可行性,通过足尺模型试验、反演分析及数理统计,开展体积约1 m3重约2 t的立方体和球顶锥体2种落石形状、1~10 m下落高度及0.5~2.0 m缓冲土层厚度的落石冲击试验研究,进行砂土缓冲层强化系数的确定及落石冲击力、冲击深度理论与试验结果的对比分析. 研究结论表明:根据试验结果反演分析,99.7%置信区间的砂土缓冲层强化系数建议取值范围为0.25~10.00 GN/m5/2;理论计算得到的立方体落石冲击力均值较试验值平均偏大140%,球顶锥体偏大21%;理论计算得到的立方体落石冲击深度均值较试验值平均偏大112%,球顶锥体偏大5%;在强化系数99.7%置信区间内计算得到的落石冲击力和冲击深度范围值可包含全部的落石冲击力和冲击深度;相同条件下球顶锥体落石的冲击深度试验值大于立方体的冲击深度试验值,缓冲层厚度越大时冲击深度增大,而落石冲击力离散性较大,与落石形状和缓冲层厚度无明显相关性.

马蹄形预制及喷锚初期支护结构试验对比研究
白中坤, 毕程程, 赵修旺, 薛永涛
2024, 59(5): 1086-1094. doi:10.3969/j.issn.0258-2724.20220197
摘要:

为研究新型马蹄形预制初期支护结构的力学变形特征,与喷锚初期支护结构进行比较,开展2类结构的原型加载试验,系统性地从结构设计、衬砌预制、试验加载及结果分析等方面进行详细介绍,并对试验结果进行深入分析. 研究结果表明:预制初期和喷锚初期,支护结构的极限承载力分别为2.80倍和1.32倍设计荷载,前者的极限承载能力约为后者的2.12倍;预制初期,支护结构在拱顶、拱腰位置受正弯矩和负轴力作用,在拱肩和拱底位置受负弯矩和正轴力作用,喷锚初期,支护结构与之相近,临近破坏阶段,前者的最大弯矩约为后者的1.39倍,最大轴力约为后者的1.45倍;预制初期支护结构和喷锚初期支护结构凹凸变形趋势基本一致,结构破坏时呈现右拱肩外凸,右拱腰内凹,且型钢与混凝土产生剥落,前者极限变形能力约为后者的1.20倍.

岩爆隧道冲击荷载作用特征及其计算方法
罗勋, 杨杰, 田红涛, 刘大刚, 王晓勇
2024, 59(5): 1095-1103. doi:10.3969/j.issn.0258-2724.20220373
摘要:

隧道中的硬脆围岩在高地应力情况下易发生岩爆,而目前国内针对岩爆隧道的支护结构设计主要采用工程类比法. 为了量化作用在支护结构上的岩爆冲击荷载,从能量角度分析岩爆过程中的能量转化关系,利用动能定理及能量守恒原理计算冲击荷载,并结合隧道松散压力提出隧道发生岩爆时的荷载计算方法,同时探明洞径等不同因素对岩爆作用范围的影响规律;结合某高地应力隧道岩爆段对其合理性进行验证. 研究结果表明:岩爆冲击荷载计算公式中,动荷因数与隧道支护所采用结构刚度正相关;在相同跨度与地应力条件下,圆形隧道的岩爆深度小于马蹄形隧道,岩爆横向范围大于马蹄形隧道;在相同洞形和地应力条件下,随着隧道跨度越大,岩爆深度与横向范围越大;在相同洞形和跨度条件下,地应力值越高,岩爆深度与横向范围越大;单线隧道Ⅱ级围岩岩爆荷载为12.02~337.75 kPa,单线隧道Ⅲ级围岩岩爆荷载为25.36~352.12 kPa,双线隧道Ⅱ级围岩岩爆荷载为8.54~288.55 kPa,双线隧道Ⅲ级围岩岩爆荷载为33.11~300.83 kPa.

拉应力作用下早龄期混凝土相对湿度响应试验研究
赵海涛, 丁健, 杨果, 相宇, 徐文, 陈育志
2024, 59(5): 1104-1112. doi:10.3969/j.issn.0258-2724.20220134
摘要:

为系统研究早龄期混凝土内部相对湿度对不同水平拉应力的响应规律,设计恒定轴拉下混凝土内部相对湿度测试方法,试验研究了不同拉应力下的相对湿度响应规律,并基于试验结果和理论分析,给出早龄期混凝土单面干燥条件下相对湿度与拉应力的线性模型. 研究结果表明:拉应力施加会造成混凝土内部相对湿度瞬时下降,当拉应力从0.8 MPa增加到3.2 MPa时,混凝土深度分别为50、75、100 mm处的相对湿度变化值从0.5%、0.4%和0.3%增加到0.8%、0.7%和0.6%;随着拉应力逐渐增大,相对湿度下降值逐渐增大;在相同拉应力下,距离混凝土暴露面近的相对湿度对拉应力的响应更为显著;拉应力持荷状态下相对湿度会逐渐恢复,恢复时间约2.5 h,在压应力持荷状态下也出现了类似现象,恢复时间约20.0 h,拉应力持荷状态下相对湿度恢复时间更短.

粉煤灰和硅灰取代率对碱矿渣混凝土力学性能影响分析
夏冬桃, 吴晨, 崔凯, 吴方红, 李彪, 王煜, 喻诗汀, 李耀威
2024, 59(5): 1113-1122. doi:10.3969/j.issn.0258-2724.20230036
摘要:

为研究粉煤灰和硅灰取代率对碱矿渣混凝土(AASC)性能的影响,通过凝结时间和基本力学性能试验,探究AASC凝结时间、立方体抗压强度、立方体劈拉强度、抗折强度和弹性模量的变化规律,基于试验结果,采用回归分析的方法,建立立方体劈裂抗拉强度、抗折强度以及弹性模量与立方体抗压强度的转换关系方程,并结合AASC的微观形貌和物相组成,揭示粉煤灰和硅灰对AASC性能的影响机理. 结果表明:粉煤灰和硅灰的取代可延长AASC的凝结时间;AASC力学性能指标随粉煤灰和硅灰取代率的增大而呈现出先增强后减弱的趋势,粉煤灰和硅灰最优取代率分别为20%和10%;提出的AASC立方体劈拉强度、抗折强度以及弹性模量的经验公式拟合精度高;粉煤灰(取代率≤20%)和硅灰(取代率≤10%)的取代促进了AASC的水化反应,使微观形貌更为密实.

浇筑期温度对泡沫混凝土性能和微孔结构的影响
刘鑫, 姚云龙, 张思卿, 史云强, 洪宝宁
2024, 59(5): 1123-1131. doi:10.3969/j.issn.0258-2724.20220179
摘要:

泡沫混凝土在浇筑至固化成型这段时期内,易受温度等环境因素影响,不利环境因素会导致固化成型后泡沫混凝土的性能退化和劣化. 为研究泡沫混凝土在浇筑期受温度(−15~70 ℃)影响后的性能和微孔结构,设计单因素室内试验方案,以干密度作为泡沫混凝土物理性质评价指标,抗压强度作为施工质量评价指标,吸水率用以评价泡沫混凝土的运营耐久性,并利用图像数据采集系统及Image J软件分析泡沫混凝土微孔结构的演变规律. 结果表明:随着温度上升,泡沫混凝土干密度总体呈阶梯式下降,抗压强度先减小后增大再减小,吸水率以0 ℃为分界点,温度降低或升高均呈先增大后减小趋势;等效孔径先增大后减小再增大,孔隙圆度值先增大后减小,孔隙分布分维先减小后变大;从混凝土宏观性能和微孔结构的演变规律建议泡沫混凝土浇筑期施工的温度范围为−5~40 ℃.

FRP约束UHPC圆形短柱轴心受压性能研究
马恺泽, 韩潇, 何腾伟, 白景柱
2024, 59(5): 1132-1139. doi:10.3969/j.issn.0258-2724.20220332
摘要:

为研究纤维增强复合材料(FRP) 种类、FRP层数和钢纤维体积掺量对超高性能混凝土(UHPC)圆形短柱轴压性能的影响,对21个FRP约束UHPC圆形短柱进行轴心受压试验,分析试件的失效破坏特征及受力机理,研究各参数对试件极限强度和极限应变的影响规律. 研究结果表明:FRP层数的增加可以提高UHPC圆形短柱的极限强度,试件C12、C22、C32的极限强度比C11、C21、C31分别提高了17.8%、25.4%、23.4%;钢纤维体积掺量的增加可以使UHPC圆形短柱的极限强度和极限应变得到提高,并可以在一定程度上改善试件的脆性,试件C31的极限强度和极限应变比试件C21分别提高了2.9%和15.1%,比试件C11分别提高了4.7%和50%;在FRP层数和钢纤维体积掺量相同的情况下,碳纤维增强复合材料(CFRP)对圆形短柱极限强度的改善程度明显优于玻璃纤维增强复合材料(GFRP),试件C11、C12和C13的极限强度比试件G11、G12和G13的分别提高了9.7%、7.8%和7.2%;考虑钢纤维的约束影响,提出FRP约束UHPC圆形短柱的抗压强度和极限应变的计算模型,并进一步给出FRP约束UHPC的本构模型.

荷载和氯盐环境下RC梁非均匀锈蚀与承载力劣化试验
赖骏, 蔡健, 左志亮, 冯怿年
2024, 59(5): 1140-1147, 1157. doi:10.3969/j.issn.0258-2724.20220038
摘要:

为考察持续荷载与氯盐干湿循环共同作用对钢筋混凝土(RC)梁抗弯性能的影响,先后进行19根钢筋混凝土梁的腐蚀试验和抗弯承载力试验,研究不同持续荷载等级和干湿循环天数对裂缝分布、钢筋质量锈蚀率以及受腐蚀构件受弯性能的影响,并分别总结纵筋最大和平均质量锈蚀率与承载力降低比的关系. 研究结果表明:纯弯段的钢筋锈蚀程度较高,纵筋锈蚀程度沿圆周分布不均匀;纵筋质量锈蚀率的极值点位置与初始横向裂缝的出现位置无必然关联性;纵筋最大质量锈蚀率随荷载等级和干湿循环天数的增加而增大,受干湿循环天数的影响更明显;腐蚀后梁峰值荷载呈下降趋势;当纵筋锈蚀率较小时(平均值≤3%或最大值≤6%),锈蚀率与承载力降低比的相关度较低,且最大质量锈蚀率的相关度小于平均质量锈蚀率;当纵筋锈蚀率较大时(平均值>3%或最大值>6%),质量锈蚀率与承载力降低比的相关度提高;在纵筋平均质量锈蚀率相同时,采用自然腐蚀试件的承载力降低程度高于采用外加电流腐蚀的试件.

智能网联环境下信号交叉口车辆轨迹重构模型
杨涛, 马玉琴, 刘梦, 姚志洪, 蒋阳升
2024, 59(5): 1148-1157. doi:10.3969/j.issn.0258-2724.20220321
摘要:

车辆轨迹数据提供了大量的时空交通流信息,可用于各类交通研究. 传统车辆轨迹模型多以人工驾驶环境为研究对象,普遍未考虑由常规车(RV)、网联人工驾驶车(CV)以及智能网联车(CAV)组成的混合交通流的影响. 为解决该问题,构建智能网联环境下信号交叉口全样本车辆轨迹重构模型. 首先,介绍并分析智能网联环境下城市道路交叉口处车辆组成及排队通过情况;然后,构建城市道路混合交通流轨迹数量估计模型,并针对前后车的排队情况提出虚拟车的概念,用于估计不同车辆的交通状态;最后,设计数值仿真实验分析交通流密度和网联车渗透率对模型的影响,并基于NGSIM数据进行实例验证. 结果表明:轨迹重构模型的数量误差和位置误差均随着交通流密度和网联车渗透率的增大而减小,如交通流密度由20 veh/km增大至50 veh/km的过程中,模型数量误差和位置误差均呈现下降趋势,且最大误差分别不超过6.88%和8.02 m;与网联人工驾驶车渗透率相比,智能网联车的渗透率对模型结果影响更大.

手机信令定位频率对交通方式识别的影响
王彦琛, 杨飞, 李荣玲, 周涛
2024, 59(5): 1158-1166. doi:10.3969/j.issn.0258-2724.20220136
摘要:

作为影响手机信令数据定位质量的关键因素,定位频率对交通方式的识别精度具有重要影响. 为量化定位频率与交通方式识别精度之间的变化规律,首先,提出一种基于随机森林的交通方式识别模型;其次,在通信运营商的协助下,通过开展实地数据采集实验,完成手机信令数据及对应真实出行信息的同步采集,并利用该数据集对本文提出的交通方式识别模型进行验证;最后,通过数据抽样形成一系列拥有不同定位频率的手机信令数据集,利用该系列数据集对不同定位频率下的交通方式识别精度进行评估研究. 研究结果表明:本文模型对步行、非机动车、汽车和公共交通4种交通方式的总体识别准确率为79.2%;每种交通方式对定位频率的敏感性不同,其中非机动车与公交的敏感性更高,步行和汽车的敏感性相对较低;随着平均定位频率从48 s/条下降至241 s/条,非机动车和公交的整体识别精度下降幅度分别约为19.2%和21.5%,而步行与汽车的整体识别精度则分别下降12.8%与11.5%;综合考虑识别准确率与计算效率两方面的需求,建议将60 s/条作为用户筛选与数据抽样的最佳阈值.

基于响应面法的结构参数对引射器引射系数影响的仿真研究
贾德民, 王晓艳, 王培伦, 于彬彬, 徐煜, 陈修旻, 赵建辉
2024, 59(5): 1167-1175. doi:10.3969/j.issn.0258-2724.20220232
摘要:

为分析引射器引射系数的显著影响因素,建立以空气为介质的引射器二维可压缩流动数值模型,基于实验数据完成了引射器模型计算准确性的校核验证. 采用D最优实验设计方法设计计算矩阵,基于最小二乘法构建二阶形式的引射系数响应面预测模型,并基于响应面预测模型开展了引射系数显著参数及参数交互作用的仿真分析. 研究结果表明:引射系数预测值和计算值的吻合性证明了响应面预测模型的准确性;扩压段长度、混合段长度、混合段直径和喷嘴出口到混合段入口距离的交互、混合段直径和混合段长度的交互、混合段长度和扩压段扩散角的交互是引射器引射系数的关键影响因素,因其对引射系数影响的 P 值小于0.001;扩压段扩散角、喷嘴出口到混合段距离和扩压段长度的交互、混合段长度和喷嘴出口到混合段距离的交互对引射系数具有重要的影响,是引射系数影响的主要参数;在参数显著交互作用中,影响引射系数的显著因素是变化的,取决于显著交互作用双参数的取值范围.

基于多尺度感知的密集人群计数网络
李恒超, 刘香莲, 刘鹏, 冯斌
2024, 59(5): 1176-1183, 1214. doi:10.3969/j.issn.0258-2724.20220823
摘要:

针对密集人群场景存在的目标尺度多样、人群大尺度变化等问题,提出一种基于多尺度感知的密集人群计数网络. 首先,考虑到小尺度目标在图像中占比较大,以VGG-16 (visual geometry group 2016)网络为基础,引入空洞卷积模块,以挖掘图像细节信息;其次,为充分利用目标多尺度信息,构建新的上下文感知模块,以提取不同尺度之间的对比特征;最后,考虑到目标尺度连续变化的特点,设计多尺度特征聚合模块,提高密集尺度采样范围与多尺度信息交互,从而提升网络性能. 实验结果显示:在ShangHai Tech (Part_A/Part_B)和UCF_CC_50数据集上,本文方法的平均绝对误差(mean absolute error,MAE)分别为62.5、6.9、156.5,均方根误差(root mean square error,RMSE)分别为95.7、11.0、223.3;相较于最优对比方法,在UCF_QNRF数据集上的MAE和RMSE分别降低1.1%和4.3%,在NWPU数据集上分别降低8.7%和13.9%.

基于注意力机制的三维点云模型对应关系计算
杨军, 高志明, 李金泰, 张琛
2024, 59(5): 1184-1193. doi:10.3969/j.issn.0258-2724.20220682
摘要:

针对现有深度学习方法计算非刚性点云模型间稠密对应关系时精度不高,且算法泛化能力较差的问题,提出一种基于特征序列注意力机制的无监督三维点云模型对应关系计算新方法. 首先,使用特征提取模块提取输入点云模型对的特征;然后,通过Transformer模块捕获自注意力和交叉注意力,学习共同上下文信息,并由对应关系预测模块生成软映射矩阵;最后,重构模块根据得到的软映射矩阵重构点云模型,并利用无监督损失函数完成训练. 在FAUST、SHREC’19和SMAL数据集上的实验结果表明,本算法的平均对应误差分别为5.1、5.8和5.4,均低于3D-CODED、Elementary Structures和CorrNet3D经典算法;本算法所计算的非刚性三维点云模型间对应关系准确率更高,且具有更强的泛化能力.

基于知识图谱的高速列车知识融合方法
王淑营, 李雪, 黎荣, 张海柱
2024, 59(5): 1194-1203. doi:10.3969/j.issn.0258-2724.20220193
摘要:

为解决高速列车各领域知识之间关联不明、难以检索和应用等问题,首先分析高速列车多源异构知识的组织形式,并结合高速列车产品结构树和阶段领域,构建高速列车领域知识图谱模式层和知识图谱;其次,通过双向编码变换器-双向长短期记忆网络-条件随机场(BERT-BILSTM-CRF)模型进行实体识别,得到阶段领域本体的映射;然后,将高速列车实体属性分为结构化和非结构化2类,并分别使用Levenshtein距离和连续词袋模型-双向长短期记忆网络(CBOW-BILSTM)模型计算相应属性的相似度,得到对齐实体对;最后,结合高速列车产品编码结构树进行映射融合,构建高速列车领域融合知识图谱. 应用本文方法对高速列车转向架进行实例验证的结果表明:在命名实体识别方面,基于BERT-BILSTM-CRF模型得到的实体识别准确率为91%;在实体对齐方面,采用Levenshtein 距离、CBOW-BILSTM模型计算实体相似度的准确率和召回率的调和平均数(F1值)分别为82%、83%.

基于注意力机制与光照感知网络的红外与可见光图像融合
杨艳春, 闫岩, 王可
2024, 59(5): 1204-1214. doi:10.3969/j.issn.0258-2724.20230529
摘要:

部分图像融合方法未充分考虑图像环境的光照状况,导致融合图像中出现红外目标亮度不足以及整体画面亮度较低,从而影响纹理细节的清晰度. 为解决上述问题,提出一种基于注意力机制与光照感知网络相结合的红外与可见光图像融合算法. 首先,在训练融合网络之前利用光照感知网络计算当前场景是日间或夜间的概率,将其运用至融合网络损失函数中,用以指导融合网络训练;然后,在网络的特征提取部分采用空间注意力机制和深度可分离卷积对源图像进行特征提取,得到空间显著信息后,输入卷积神经网络(CNN)以提取深度特征;最后,将深度特征信息进行拼接用于图像重建,进而得到最终的融合图像. 实验结果表明:本文方法的互信息(MI)、视觉保真度(VIF)、平均梯度(AG)、融合质量(Qabf)与空间频率(SF)较对比方法分别平均提高39.33%、11.29%、26.27%、47.11%和39.01%;融合后的图像能够有效保留红外目标亮度,且包含丰富的纹理细节信息.

基于时频Grad-CAM的调制识别网络可解释分析
梁先明, 倪帆, 陈文洁, 张家树
2024, 59(5): 1215-1224. doi:10.3969/j.issn.0258-2724.20210791
摘要:

针对时频深度学习调制识别方法存在可解释性差的问题,提出一种基于时频梯度加权类激活映射(Grad-CAM)的调制识别网络可解释框架. 该框架通过时频Grad-CAM可视化深度模型中隐含层的关键特征,从视觉上解释网络隐含层提取的时频深度特征对于正确与错误识别中的作用,揭示低信噪比环境下网络性能下降的内在机理,并通过量化和排序网络中每层不同卷积核的贡献值来判断网络的冗余程度. 仿真实验结果验证了基于时频Grad-CAM的调制识别网络可解释性框架的有效性;可解释分析结果表明,在低信噪比环境下,网络特征提取区域有大量噪声存在,且本文所测试的调制识别网络冗余程度较为严重.

顾及边缘的多时相SAR图像半监督建筑区提取
陈帅霖, 杨文, 李恒超, TAPETEDeodato, BALZTimo
2024, 59(5): 1225-1234. doi:10.3969/j.issn.0258-2724.20220807
摘要:

针对合成孔径雷达(synthetic aperture radar,SAR)图像中建筑区域难以辨识与标注的问题,提出一种结合改进的伪标签技术和边缘增强策略的半监督建筑区提取新方法. 首先,引入同一位置、不同时相的SAR图像作为自然数据增强手段,并通过多个不同时相图像的预测结果投票确定伪标签;其次,设计一种边缘增强辅助模块,通过特征图变形以修正建筑区主体特征,辅以跳跃连接改进边缘特征,并针对主体和边缘特征进行分离式监督;此外,构建一个包含2种传感器和2个城市区域的多时相SAR图像建筑区提取数据集,含 1000 幅带标注图像和800组无标注时序图像,并基于该数据集进行实验验证. 实验表明,在所构建测试集上,基线方法使用全量数据训练后交并比(intersection over union, IoU)为63.43%,而所提方法在使用10%和全量数据时IoU分别为63.46%和68.24%,仅利用10%的标注数据即可达到基线方法使用全量标注数据训练的精度.

基于双向长短期记忆网络的城市快速路合流区车速预测
谢济铭, 夏玉兰, 秦雅琴, 赵荣达, 刘兵, 段国忠, 陈金宏
2024, 59(5): 1235-1244. doi:10.3969/j.issn.0258-2724.20220005
摘要:

非典型复杂场景微观交通参数的准确预测是保证车路协同系统(IVICS)稳定运行的前提. 为解决IVICS条件下合流区高峰时段瓶颈现象所致的车速分布紊乱而不易预测的问题,首先,基于无人机高空视频,从广域视角提取交织区高峰时段全样本高精度车辆轨迹数据;然后,考虑双向长短期记忆网络(bidirectional long short-term memory,Bi-LSTM)时间较长且人工设置训练参数对模型预测性能影响较大,提出基于贝叶斯超参数(bayesian hyperparameters optimization,BHO)优化的BHO-Bi-LSTM 车速预测集成模型;最后,构建经典多元线性回归车速预测模型、Bi-LSTM车速预测模型作对比. 结果表明:BHO-Bi-LSTM模型表现最优,拟合优度、秩相关度分别为91.05%、94.87%,误差均值、误差的标准差、均方误差、均方根误差、归一化均方根误差分别为 0.056 1 0.455 6 0.210 6 0.458 9 0.078 5 ,有效改善了合流区高峰时段车速特性复杂而导致不易预测的缺陷.

Baidu
map