• ISSN 0258-2724
  • CN 51-1277/U
  • EI Compendex
  • Scopus 收录
  • 全国中文核心期刊
  • 中国科技论文统计源期刊
  • 中国科学引文数据库来源期刊

2025年 第60卷 第5期

显示方式:
基于模糊贝叶斯网络的隧道围岩富水破碎风险分析方法
朱庆, 郑威鹏, 吴浩宇, 丁雨淋, 郭永欣, 王强, 刘利, 张骏骁
2025, 60(5): 1071-1079. doi:10.3969/j.issn.0258-2724.20230397
摘要:

富水破碎不良地质区在隧道施工中容易诱发涌水灾害,为准确分析隧道围岩的富水破碎风险,且满足自动化、定量化风险分析需求,基于开挖数据构建模糊贝叶斯网络风险评估模型,通过隶属函数量化地质参数的不确定性,并结合贝叶斯概率推理,融合隧道地震预报法与瞬变电磁法的探测数据,得到围岩富水破碎风险概率;进一步利用三维体素模型将风险概率映射至三维坐标,可视化表达风险的空间分布特征. 选取典型长大深埋隧道进行实验分析,结果表明:评估模型对地下水情况与岩体完整性分类的准确率分别为80.91%和82.81%,且不受数据完备性限制,能够在单一或多源数据条件下完成定量分析;所建三维体素模型为风险防控提供了有效参考,其中,相较于单一数据,多源数据融合分析结果与现场揭露的富水区、破碎带位置吻合度更高.

山区铁路“路基-环境”的耦合优化调控
鲍学英, 沈杜华, 李亚娟, 贺振霞, 张程皓, 陈慧鑫
2025, 60(5): 1080-1089. doi:10.3969/j.issn.0258-2724.20230340
摘要:

为实现山区铁路“路基-环境”高质量协调发展,提出一种“路基-环境”耦合优化调控方法. 首先,对于铁路“路基-环境”相容共生进行定义,构建绿色要素指标体系,并结合耦合魔方游戏模型明晰耦合调控框架;其次,利用耦合协调度模型、施压承载模型及各关键要素间的函数关系共同构建“路基-环境”调控优化目标函数及约束条件,将路基工程绿色关键要素作为主控变量,采取变色龙群优化算法(CSA)进行求解,得到相容共生状态下的各主控变量最优解;最后,以某山区铁路路基为例进行实证分析. 结果表明:当各主控变量路堑开挖尺寸、路堤填筑尺寸、支挡结构设计、支挡结构布设、工程防护结构设计、边坡工程防护布设、植物防护结构设计、边坡植物防护布设、生态声屏障结构设计、生态声屏障布设依次分别优化36.83%、43.14%、49.93%、68.91%、69.98%、68.91%、23.42%、68.91%、19.64%、19.60%比例时,可以实现铁路“路基-环境”从初级协调状态向中级协调状态的演化. 研究结果验证了构建的“路基-环境”调控优化模型的合理性以及CSA算法求最优解的有效性,为实现山区铁路路基工程绿色化建设提供了科学参考.

冻融循环下盐渍土热-质传递及盐冻胀机理
余云燕, 罗崇亮, 崔文豪, 杜乾中, 高远, 张庭华
2025, 60(5): 1090-1097, 1120. doi:10.3969/j.issn.0258-2724.20230299
摘要:

为研究冻融循环作用下硫酸盐渍土热-质迁移规律及结构损伤机理,以河西走廊盐渍土为研究对象,在无压补给条件下进行冻融循环试验,并借助核磁共振和SEM (scanning electron microscope)试验分析冻融循环前、后硫酸盐渍土的孔隙结构损伤机理. 研究表明:冻融循环作用下硫酸盐渍土内温度传递存在“深度效应”和“时间滞后效应”,时差约为5 h;冻结深度前期不断向下发展,后期逐渐趋于平稳,最大冻深为8.54 cm;溶液补给量随温度降低而增大,升高而减小;冻融循环240 h后水、盐含量在冻结区增大,非冻结区基本不变;盐渍土盐冻胀变形随温度变化呈周期性盐冻胀-融溶沉规律发展,且存在位移滞后温度效应;盐渍土经历一系列反复“冻结—冷凝—结晶—融化—溶解”过程后,中孔隙和大孔隙明显增多,并形成贯通的裂隙,土体结构由冻融前的片层状结构转变为絮状结构.

预应力控制水平及混合配筋影响下PRC管桩的抗弯承载性能
唐昌意, 徐妍, 崔凯, 陈峰, 侯伟生, 张胜杰
2025, 60(5): 1098-1105. doi:10.3969/j.issn.0258-2724.20230393
摘要:

混合配筋预应力混凝土(PRC)管桩受预应力控制水平、混合配筋等因素影响,实际抗弯承载力与理论设计值存在偏差,致使其服役过程中存在桩身破坏或性能退化等潜在风险. 为研究PRC管桩实际抗弯承载性能表现,开展不同预应力水平、混合配筋情况下PRC管桩抗弯载荷试验研究. 荷载试验采用单调连续加载方式,记录不同PRC管桩桩身弯矩-挠度曲线,确定其抗弯载荷变化规律,最终对试验所得数据与现行标准中相关弯矩承载力理论计算值进行对比验证. 研究结果表明:混合配筋方式提高了桩身承载力及延性,初始预应力张拉控制比例越高,试件的弹性变形段越长,开裂弯矩越大,裂缝出现延后,初始预应力为0.5倍张拉力时试件的延性最好,弯曲变形延性大于10,最大挠度超过54 mm,裂缝宽度为1.05~1.50 mm;预应力混凝土(PC)钢棒和螺纹钢同时张拉的构件变形相对趋缓,延性和韧性更好;非预应力钢棒参与预应力贡献时,极限弯矩提高约2.5%,弹性阶段结束时的开裂挠度更大;不同预应力PRC桩开裂弯矩实测值为设计理论值的1.25倍~1.50倍,极限弯矩实测值为理论值的0.96倍~1.07倍.

围岩蠕变作用下隧道支护结构的劣化特征
蓝日彦, 杨凯, 邱云辉, 崔耀中, 乔敏杰, 晏启祥
2025, 60(5): 1106-1120. doi:10.3969/j.issn.0258-2724.20230442
摘要:

为探究蠕变效应下支护结构的长期劣化特性,针对隧道支护结构体系,建立锚杆破断、钢拱架屈服和混凝土塑性损伤力学模型,采用数值算例验证支护结构劣化力学模型的有效性,并以探究竖向应力、静水压力和水平应力为主条件下锚杆破断、钢拱架屈服和衬砌损伤的劣化特性. 研究表明:破断首先发生在隧道边墙中部位置的锚杆,再沿隧道环向向两侧发展;钢拱架轴力呈先加速增长、后缓慢发展、最后急速降低的特征,轴力快速降低的同时伴随着弯矩的剧烈变化,部分测点弯矩出现由负变正的特征;受压损伤破坏区主要分布在隧道边墙和墙脚位置,受拉损伤首先出现在二次衬砌边墙中部的表面;侧压力系数越大,锚杆破断、钢拱架屈服、衬砌形成的贯通受压破坏区和受拉损伤达到最大值的时间越早.

黄土地层浅埋地铁车站结构地震易损性分析
孙纬宇, 朱辉, 严松宏, 梁庆国, 张建哲, 杨斌, 张戎令
2025, 60(5): 1121-1130. doi:10.3969/j.issn.0258-2724.20230597
摘要:

为研究黄土场地地铁车站的地震易损性,以黄土地区某典型两层三跨地铁车站结构为例,基于黏弹性边界的地震动输入方法对该地铁车站结构进行增量动力分析(IDA),对37个地震动强度指标的有效性、实用性和效益性进行综合评价,选出适合该场地条件和车站结构断面形式的地震动强度指标;并采用双参数对数正态分布模型建立该地铁车站结构的地震易损性曲线和破坏状态概率曲线,以此得到该地铁车站结构在某一强度地震作用下各性能水准的超越概率和发生不同破坏状态的概率. 结果表明:加速度、速度相关型指标更适合作为地震动强度指标来预测地下结构的地震响应,位移相关型以及比值型指标不宜作为地震动强度指标;多遇地震作用下车站结构发生破坏的概率较小,设防地震作用下车站结构以轻微破坏为主,罕遇地震作用下车站结构以轻微破坏和中等破坏为主. 研究结果可为黄土地层基于性能的地铁车站的抗震设计提供参考.

不同温度作用下砂岩能量演化机制及本构模型
雷瑞德, 周林森, 胡超, 李梦来, 黄凌
2025, 60(5): 1131-1138. doi:10.3969/j.issn.0258-2724.20230714
摘要:

为研究高温对砂岩物理力学性能劣化的影响,本文开展不同温度热处理砂岩的单轴压缩试验. 首先,分析力学强度和破断模式,获得砂岩宏观力学参数的劣化特征;其次,研究不同温度对砂岩能量演化机制及弹性能耗比的影响;最后,基于温度和荷载损伤因子,采用分段函数方法构建考虑裂纹闭合阶段的热-力耦合损伤本构模型. 研究结果表明:随着温度的增加,砂岩峰值强度和弹性模量先增加后减小,在200 ℃时达到最大值;破断模式由倾斜剪切破坏向“Y”型共轭拉-剪混合破坏转变,脆-延性转变的临界温度阈值为400 ℃;根据耗散能演化特征将整个变形破裂过程划分为裂纹闭合阶段、弹性阶段、宏观裂纹扩展阶段和峰后阶段;弹性能耗比( K )的拐点可作为砂岩由弹性向塑性转变的突变点;模型尺寸参数( m )随温度升高先上升后下降,形状参数( n )逐渐降低,参数 m n 分别反映砂岩的强度和塑性特征,理论模型与室内试验结果吻合度较高,说明本模型能够反演热-力耦合下砂岩损伤演化全过程.

基于关键块理论的井下泥石流机理力学模型
牛向东, 侯克鹏, 孙华芬
2025, 60(5): 1139-1148, 1159. doi:10.3969/j.issn.0258-2724.20230525
摘要:

为实现对自然崩落法开采矿山井下泥石流定量的精准防控,利用室内大型井下泥石流试验方法,以普朗铜矿井下泥石流为研究对象,对形成井下泥石流的通道类型及诱发机理进行分析,得出井下泥石流诱发的临界条件;基于关键块理论,对处于临界条件下井下泥石流关键块体进行力学分析,构建井下泥石流诱发机理的力学模型,推导出井下泥石流诱发的理论临界出矿量. 研究结果表明:不均匀放矿条件下,易在崩落矿石层中形成3种类型的泥石流通道(放矿直通道、离层通道和弯曲通道);井下泥石流形成时空演化机理需要经历4个发展阶段(泥石流通道形成扩展阶段、物源运移聚集阶段、降雨径流积水阶段和震动因子诱发阶段);井下泥石流诱发临界条件是冰碛层和矿石层界面出现离层空间,并利用普朗铜矿2019—2022年间井下泥石流发生次数及降低率验证此力学模型的准确性和可靠性.

赤泥基稳定碎石抗冻融性能分析
何敬源, 高伟豪, 张健, 王川, 李召峰, 游浩
2025, 60(5): 1149-1159. doi:10.3969/j.issn.0258-2724.20230350
摘要:

为实现赤泥基胶凝材料在道路工程中的安全应用,研究赤泥基稳定碎石基层在冻融循环作用下力学性能与质量的变化规律,采用工业CT扫描、扫描式电子显微镜与能谱仪(SEM-EDS)等方式探究冻融温度与次数对力学性能和质量损失的作用机制. 研究表明:20~−20 ℃、28 d条件下胶凝材料5%掺量最大质量损失率为1.85%;5%和6%赤泥基胶凝材料掺量下稳定碎石质量损失率变化幅度高于掺量7%和8%掺量下的变化幅度,且随着冻融循环次数的增加,质量损失率不断增加;通过工业CT与SEM-EDS微观分析,随着冻融循环次数增加,稳定碎石孔隙率增大,养生28 d、6%掺量稳定碎石经历20次冻融循环后,孔隙率增长1.53%,内部裂缝损伤增多并不断积累,呈现由少变多、由窄变宽的变化规律;研究结果对交通工程绿色建设和赤泥大宗量利用具有积极推动作用.

CFRP板新型夹持式锚具试验研究
侯苏伟, 田树恒, 唐志强, 席建英
2025, 60(5): 1160-1169. doi:10.3969/j.issn.0258-2724.20240554
摘要:

针对传统碳纤维增强复合材料(CFRP)板锚具压应力沿横向分布不均匀,导致张拉过程中板材易发生撕裂破坏的问题,研制了一种CFRP板新型夹持式锚具. 新型锚具在中轴线上布置预压螺栓,同时设定螺栓长度,通过控制螺栓的位移量对CFRP板施加定量的压紧力,分析新型锚具的受力机理;使用有限元软件ANSYS进行模拟,分析影响锚固性能的关键因素;对厚度为2 mm、宽度为50 mm的CFRP板进行静载张拉试验. 研究结果表明:1) 新型锚具的锚固性能与夹片厚度、外夹板厚度及螺栓预紧力密切相关;当夹片厚度为20 mm时,横向上CFRP板的压应力分布较均匀,最大与最小压应力之差仅为9.8 MPa;当上、下外夹板的厚度分别为30 mm和20 mm时,各构件的弯曲应力均保持在安全范围内;当螺栓预紧力为170 kN时,CFRP板的压应力水平显著提高,而剪切应力始终处于较低水平. 2) 在静载张拉试验中,新型锚具承受的最大张拉力为260.7 kN,锚固效率达到了108.63%;CFRP板的破坏形式为炸丝破坏,未出现撕裂等异常破坏形式,锚具的静载锚固性能优异.

基于流固耦合分析的高墩渡槽止水地震失效分析
邓开来, 张烨欣, 李智渊, 郝明辉, 廖文彬
2025, 60(5): 1170-1177. doi:10.3969/j.issn.0258-2724.20230640
摘要:

为探究地震下大型高墩渡槽止水的性能表现,基于流固耦合方法建立渡槽结构有限元模型,模拟动力效应下渡槽-水体的非线性耦合行为,通过引入止水变形失效阈值,重现槽跨间止水的失效过程,模拟止水失效后槽内水体的外溢;依托某实际高墩渡槽结构,通过非线性动力分析得到渡槽的宏细观地震响应,包括槽墩应变、支座位移、止水损伤等,揭示不同支座类型、减隔震装置对渡槽抗震性能的影响. 研究结果表明:在罕遇地震下,槽墩、槽身不会发生显著材料损伤,地震下渡槽结构安全具有保障;但设计地震下,渡槽止水即发生失效,无法保障渡槽震后保持正常引水功能;加入钢阻尼器可有效控制槽跨的变形,保障设计地震下渡槽止水不发生破坏,但罕遇地震下止水不可避免发生破坏,强震下的槽跨变形控制依然面临着挑战.

连续梁竖向刚度对高速磁浮列车-桥梁动力响应的影响
陈绪黎, 向活跃, 田祥富, 李永乐, 曹文杰
2025, 60(5): 1178-1185. doi:10.3969/j.issn.0258-2724.20230382
摘要:

竖向刚度对保证高速磁浮列车在桥上行车安全和乘坐舒适性具有重要意义,是桥梁的重要设计指标之一. 以某3跨连续梁为研究对象,调整截面惯性矩改变桥梁竖向刚度,在不同车速、额定悬浮间隙及温度作用下进行磁浮列车-桥耦合振动分析,讨论桥梁动力系数、车体加速度和悬浮间隙动态变化量随桥梁竖向刚度调整系数的变化规律. 结果表明:刚度调整系数下降至0.75,桥梁动力系数迅速增加,车体竖向加速度相较于悬浮间隙动态变化量对桥梁竖向刚度变化更敏感;车速越大、考虑降温变形时,桥梁竖向动力响应越大,轨道不平顺和额定悬浮间隙对动力系数影响不明显;车速越大、额定悬浮间隙越小,考虑轨道不平顺和降温变形影响时,相同车辆动力响应大小对应的桥梁竖向刚度调整系数越大.

水平肋板对高层建筑气动特性的影响
蒋媛, 刘锦阳, 回忆, 刘锐
2025, 60(5): 1186-1194. doi:10.3969/j.issn.0258-2724.20230584
摘要:

为分析高层建筑上外伸肋板的抗风工作机理,利用大涡模拟(LES)评估大气边界层来流下水平肋板对高层建筑的流场和风荷载的影响,对比不同类型水平肋板的抗风效果. 结果表明:水平肋板明显抑制了侧风面分离涡的形成,并拉长尾涡;肋板会显著抑制建筑附近的竖向流,并在肋板附近诱导形成局部旋涡,最终导致近壁流动形式明显变化;流场的变化会影响风压分布和风荷载,水平肋板使建筑表面平均风压系数沿高度呈“之”字形分布,水平板明显降低侧壁面上平均和脉动风压,最大降幅分别约为20%和17%;对总荷载而言,水平肋板对平均阻力无明显影响,但能明显降低建筑上的脉动升力,最大降幅为27%;肋板的布置形式对气动特性的影响有明显差异,连续水平板通过改变近壁流、涡结构来影响风压分布和风荷载,而间隔水平板对风荷载的影响相对较弱.

采用高强钢棒的混凝土短肢剪力墙抗震性能
袁维光, 赵华, 马兰, 肖强, 魏丞瑾
2025, 60(5): 1195-1202. doi:10.3969/j.issn.0258-2724.20230376
摘要:

为满足震后建筑结构快速修复的需求,提出一种以高强钢棒(HG钢棒)作为暗柱纵筋的短肢剪力墙,即采用高强钢棒的混凝土短肢剪力墙,预制3片1/3缩尺的钢筋混凝土短肢剪力墙,通过拟静力试验分析暗柱纵筋类型和轴压比对试件抗震性能及自复位能力的影响. 试验结果表明:与普通混凝土短肢剪力墙相比,在大变形时,高强钢棒-混凝土短肢剪力墙构件表现出良好的位移-硬化效应和自复位性,滞回曲线整体呈S形,极限承载力提高83%;其残余变形较小,在位移角3.0%时,残余变形为0.65%;在高轴压比(限值)作用下,高强钢棒-混凝土短肢剪力墙构件的极限承载能力提高11%,在位移角3.5%时,残余变形为0.50%.

沥青混合料高温性能转变特征及抗车辙指标构建
李倩, 王旭东, 周兴业, 陈盟, 刘旭
2025, 60(5): 1203-1212, 1219. doi:10.3969/j.issn.0258-2724.20240516
摘要:

为揭示高温条件下沥青混合料的性能转变特征,提出相应的高温性能评价指标,对RIOHTrack足尺环道所用3种细粒式沥青混合料在不同温度、频率及应变条件下的动态模量和相位角进行测试,基于动态模量与相位角的关系,提出一个能反映沥青混合料高温性能转变的特征动态模量指标,并通过Bigaussian模型对动态模量-相位角曲线进行拟合,确定3种混合料特征动态模量的数值和性能下降速度,据此提出一个能同时反映特征动态模量、相位角和性能下降速度的抗车辙性能综合评价指标 E ww,并通过足尺环道加载 1 × 108次的路面车辙变形观测,验证该评价指标的可靠性. 结果表明:不同试验条件下得到的最大相位角对应的动态模量比较接近,提出的特征动态模量指标与车辙试验结果一致,说明特征动态模量指标能够反映混合料的抗车辙性能;采用Bigaussian模型拟合动态模量-相位角曲线的相关系数达到96%以上,该方法具有较高的可靠性;相比室内车辙试验,本文提出的抗车辙性能综合评价指标与足尺试验环道车辙检测结果一致,在抗车辙性能评价时考虑沥青混合料的高温性能转变特征是必要的.

极限降雨强度排水沥青路面水膜厚度预估模型
汪敏, 何兆益, 周文, 宋刚
2025, 60(5): 1213-1219. doi:10.3969/j.issn.0258-2724.20230159
摘要:

为研究多车道排水沥青路面在极限降雨强度下的水膜厚度变化规律,基于排水沥青路面渗流特性,在室内铺筑了多车道排水沥青路面足尺试验段,测量不同降雨强度下路表水膜厚度,分析水膜厚度随降雨强度和路面排水路径长度等影响因素的变化规律,构建强降雨下排水沥青路面水膜厚度预估模型,并在广西南宁绕城高速对预估模型进行现场验证;基于水膜厚度预估模型,提出排水沥青路面不出现水膜的极限降雨强度. 研究结果表明:排水沥青路面表面的实测水膜厚度随着路面排水路径变长而增加,且随降雨强度增大而急速增加,在雨量不大的中小雨阶段,在距道路中心3 m范围内不会出现水膜;水膜厚度随降雨量、排水路径长度增大而增大,而随路面厚度、坡度和空隙率增加而减小;在排水路径长度不超过2 m时,排水沥青路面可承受特大暴雨而不会出现水膜,当排水路径长度超过10 m后,降雨强度达到大雨等级会形成路表水膜.

基于缩尺试验和离散元模拟的X形轨枕承载特性
陈成, 汤语嫣, 唐子桉, 张磊, 杨超
2025, 60(5): 1220-1228. doi:10.3969/j.issn.0258-2724.20230590
摘要:

为研究新型X形轨枕道床承载力和横向阻力特性,开展X形轨枕与Ⅲ型轨枕道床刚度和横向阻力的缩尺模型试验,通过离散元法建立有砟轨道三维模型,并从细观上对比分析2种轨枕道床的竖向荷载传递机制及横向阻力. 研究结果表明:在最大竖向荷载时,X形轨枕道床的竖向位移(刚度)相较于Ⅲ型轨枕降低了约26.3%(提高了约46.6%);与Ⅲ型轨枕相比,X形轨枕的横向极限阻力提高了约22.4%,有效提高了轨道横向稳定性; X形轨枕与枕间道砟的接触面积和应力均明显增加,轨枕接触力沿X形4个夹角范围扩散,使得枕间道砟充分参与分担荷载;由于X形轨枕的叉形结构能够提升枕间道砟的参与,使得道床刚度和横向阻力分别提升约29.2%和31.6%,与试验结论较接近.

基于多模态参数的高速公路驾驶人压力负荷检测方法
何杰, 叶云涛, 徐扬, 张长健, 秦鹏程
2025, 60(5): 1229-1239. doi:10.3969/j.issn.0258-2724.20230327
摘要:

为实现不依赖生理指标的驾驶人压力负荷实时检测,本文提出一种基于道路线形参数、视频图像和轮胎六分力的检测方法. 利用计算机视觉模型Deeplabv3从行车视频中提取场景元素语义信息来表征驾驶环境,并与车辆动力学参数和道路线形参数融合,构建多模态参数特征集,借助机器学习算法实现压力负荷检测;为验证方法的有效性,在金丽温高速公路开展实车实验,采集驾驶人眼动、心率数据、车辆动力学参数、道路线形参数和驾驶场景视频;最后,利用眼动、心率数据标定压力等级,选择随机森林、支持向量机、XGBoost和LightGBM 4种算法建立压力负荷检测模型,并用SHAP (shapley additive explained)值法进行影响因素分析. 结果表明:LightGBM模型性能最优,其宏平均和加权平均F1值分别达到91.99%和93.25%,所提方法能够实现准确的压力负荷检测;当轮胎回正力矩、垂向力、纵向力标准差分别超过 0.0163 N•m、0.237 kN和0.229 kN时,路段曲率半径平均值小于317 m,路段缓和曲线比平均值低 0.0296 ;天空占比变化率、景观占比、货车占比分别超过5.89%、14.85%、6.37%时,驾驶人处于高压力状态的概率较高. 由于所需数据易于获取,本文方法具有较高的应用可行性,可为高速公路安全性、舒适性评价提供参考,同时为高速公路的景观、线形设计以及车辆驾驶人警示系统设计提供理论支持.

双车道公路超车行为风险演化时间协变量建模
戢晓峰, 徐迎豪, 郝京京, 覃文文
2025, 60(5): 1240-1249. doi:10.3969/j.issn.0258-2724.20230449
摘要:

为获取双车道公路超车行为风险演化的时间特征,在利用超车风险视距指标分析超车风险演化特征的基础上,提出基于改进形状参数协变量建模方法的全参数AFT (accelerated failure time)模型预测路段期望超车时间,并通过无人机采集典型超车路段场景的328组完整超车轨迹数据进行实例分析和对比验证. 结果表明:超车风险演化时间包括风险递增( T 1)和风险递减( T 2)两阶段,平均超车距离分别为141.10、99.41 m,平均持续时间分别为8.18、5.61 s,超速超车现象严重;对向来车对 T 1阶段有延长作用,超越货车对 T 1阶段有缩短作用,场景异质性影响特征明显;全参数AFT模型在数据拟合度和异质性捕获能力方面更具优势,超车速度均值、超车距离和相对横向偏移标准差为模型关键协变量;预测得到在1%的生存率下3个研究场景的期望超车时间范围分别为18~93、18~50 s和18~39 s. 本文扩展了双车道公路超车持续时间建模方法,对于已建成路段超车安全管控和规划路段道路设计具有重要价值.

车路协同下交叉口前的无人车群体车道选择
杨达, 冯婷薇, 钟家月, 郑斌, 杨果
2025, 60(5): 1250-1258, 1314. doi:10.3969/j.issn.0258-2724.20230216
摘要:

针对在信号交叉口前由于车辆转向和换道操作频繁容易引发冲突、降低通行效率的问题,构建基于深度强化学习(DQN)的车辆群体控制模型,优化车辆车道选择. 首先,利用传感器和网联设备等获取周围车辆及交叉口信号灯实时状态信息,基于共享DQN模型进行车道选择,并根据该结果计算下一时刻位置、速度和转向角;进一步以效率及安全性指标建立奖励函数对车道选择决策实施评价,将状态信息、决策信息及奖励评价信息整合形成经验,存入同一经验池用于共享DQN模型参数迭代更新;最后,使用SUMO (simulation of urban mobility)与Python联合仿真搭建不同交通流量环境对训练后的模型进行验证. 研究表明:相较于SUMO中的车道选择模型,基于共享DQN模型的信号交叉口前车辆群体车道选择模型,在低、中、高流量测试场景的平均速度均有提高,交叉口前排队长度分别减少了9.6%、22.5%和24.8%. 本文模型可以有效减少信号交叉口的排队长度、提高信号交叉口前的路段平均速度、增强车辆从上游到达交叉口的效率,为未来车路协同的应用提供理论借鉴和技术支持.

可变线路公交接驳地铁的时刻表构建方法
张进, 李文权, 郭蓉蓉
2025, 60(5): 1259-1267. doi:10.3969/j.issn.0258-2724.20230367
摘要:

为尽可能满足乘客出行需求,制定科学合理的公交运行时刻表能够保持公交稳定运行的同时降低运行成本. 首先,针对可变线路公交区别于常规定点定线公交的运行特征,提出一种将常规公交转变为可变线路公交接驳地铁的策略,在无需开设新接驳线路的前提下服务原有公交车出行需求乘客和短途出行需求的地铁乘客;然后,通过分析乘客出行行为的规律与特点,根据可变线路公交和地铁的时空信息以及乘客换乘行为的时空参数,利用混合整数非线性规划构建可变线路公交接驳地铁的路径、时间、调度协同优化模型和算法;最后,结合案例,分析车辆运行速度与出行需求水平以及不同时间成本侧重情况对发车间隔、车辆运行时间、运行成本等系统各项指标的影响. 研究表明:在运行周期内适当增加发车频率可以有效降低乘客出行时间成本,且不会增加系统总成本;为可变线路公交接驳地铁的时刻表构建提供了基本理论和自动化编制方法,提高了公交运行效率和服务质量.

基于模糊机会约束规划的列车编组计划优化
薛锋, 王妗, 程代兵, 项兴琰
2025, 60(5): 1268-1277. doi:10.3969/j.issn.0258-2724.20230325
摘要:

为提高铁路网的利用能力和运输效率,提出一种高适用性的列车编组计划优化方法. 首先,在车流径路未知的情况下综合考虑车辆集结与改编时间的随机性,采用模糊机会约束规划方法,将集结时间成本与改编时间成本限制在一定的波动区间,构建不确定性的0-1整数规划模型;以货车集结时间成本、货车改编时间成本和货车运输成本最小为目标函数,通过三角模糊数处理时间不确定性,引入车辆集结与改编时间的波动性约束,并采用粒子群算法进行寻优,获取列车编组计划,构造算例以验证所提方法的有效性. 研究结果表明:列车编组计划经优化后,货车在车站总停留时间为 3914 车·h,占货物运输总成本的54%,相较于铁路网实际货车在站平均停留时间降低13%左右,列车编组计划得到了较好的优化.

制动工况对高速列车制动盘残余应力及翘曲变形的影响
李志强, 郑轶男, 张晓康, 李杰, 杨智勇
2025, 60(5): 1278-1286. doi:10.3969/j.issn.0258-2724.20230691
摘要:

动车组制动盘在长期服役过程中会形成复杂的残余应力,进而使盘体在拆解后形成不可恢复的翘曲变形,为探究残余应力与翘曲变形对制动盘后续维修和重复利用可行性的影响,首先,通过测试动车组轮装铸钢制动盘材料不同温度下的拉伸应力-应变数据,构建对应的材料Ramberg-Osgood本构模型,在有限元软件中建立制动盘循环对称三维瞬态仿真模型;其次,针对列车不同制动初速度、不同平均减速度等制动工况,采用间接耦合方法分析制动盘表层与心部残余应力的形成与平衡过程,研究制动盘结构约束释放后的翘曲变形量变化,采用分段函数与多项式拟合制动盘变形量与制动能量、热输入功率的函数关系;最后,通过对服役后的制动盘进行翘曲变形量测量与X射线残余应力测试,对比分析了对应仿真条件时制动盘摩擦面残余应力分布规律,发现仿真结果与实测数据具有较好的数据和趋势一致性. 研究表明:制动盘翘曲变形量与制动能量、制动减速度呈正相关关系,制动工况越严苛制动盘翘曲变形量越大;仿真与实测均表明高残余拉应力位于摩擦面中部螺栓孔附近,且制动工况越严苛残余拉应力值越大.

钢轨波磨激励下的e型弹条振动疲劳断裂机理
董丙杰, 陈光雄, 冯晓航, 任文娟, 宋启峰, 梅桂明
2025, 60(5): 1287-1295. doi:10.3969/j.issn.0258-2724.20230707
摘要:

为研究地铁小半径曲线轨道上e型弹条异常断裂的原因,通过长期跟踪和测量成都地铁X号线钢轨波磨的发展情况,并基于摩擦自激振动理论,建立轮对-轨道-扣件系统的全实体单元有限元模型;采用隐式动态分析方法和谐响应分析方法,研究短波长波磨、长波长波磨对e型弹条振动疲劳寿命的影响. 研究表明:这2种类型的钢轨波磨都会导致地铁e型弹条振动疲劳寿命减小;波磨幅值越大,导致弹条振动疲劳寿命越小;钢轨波磨不仅能够引起e型弹条产生与钢轨波磨“同频”的受迫振动,还容易激发弹条产生该频率的倍频振动;对于短波长波磨而言,由于2倍频的存在,在相同波深幅值的短波长波磨影响下,25 mm 和40 mm波长的钢轨波磨最容易导致e型弹条产生振动疲劳断裂;波长为120 mm的长波长波磨的波深幅值较大时,激发出的6倍频振动导致弹条振动疲劳寿命急剧减小;由于振动强度的减弱,波长为240 mm的长波长波磨对弹条振动疲劳寿命的影响有限.

轨旁多传感器融合的曲线浮置板振动特性及列车异常分析
高天赐, 江乐鹏, 王源, 刘晓舟, 罗钦, 何庆, 王平
2025, 60(5): 1296-1302. doi:10.3969/j.issn.0258-2724.20240423
摘要:

为研究曲线以及列车状态对浮置板轨道振动响应的影响,在直线及曲线等多个地段的浮置板上安装便携式智能传感终端,测量列车通过时浮置板的振动加速度并计算相关位移;对比分析直线和曲线区段浮置板轨道的加速度、位移等振动特征,进而掌握其振动特性的差异;获得同一位置处不同列车通过时浮置板的振动特点,识别列车是否存在车轮不圆顺等病害. 研究结果表明:曲线地段浮置板轨道振动加速度大于缓和曲线地段和直线地段的,其中位于半径为500 m的浮置板板端垂向加速度95%分位数峰-峰值约为直线地段的5倍~10倍,而三者的垂向位移相差不大;相比正常列车,车轮多边形列车通过浮置板时造成的加速度更加明显,垂向加速度95%分位数峰-峰值约为其3倍,而垂向位移基本相近;通过分析二者振动差异绘制的“车辆谱”,能够辨识车轮不圆顺等病害,可为地铁浮置板区段的车辆病害快速检测提供技术参考.

高压专线贯通供电系统建模及运行特性分析
张丽艳, 王凡, 李澳, 贺昆
2025, 60(5): 1303-1314. doi:10.3969/j.issn.0258-2724.20230384
摘要:

高压专线贯通供电系统是一种实现长距离、无分相的新型牵引供电方案. 为准确掌握该系统的运行特性,在考虑高压输电线路并联电容和车网耦合关系的基础上,采用二端口网络理论对贯通高压输电网进行简化;同时,通过恒功率负载模拟列车负荷,构建高压专线贯通供电系统的潮流等效模型;基于该模型,采用前推回代法实现列车动态潮流计算,并理论分析牵引网电流分配、系统等效阻抗的变化规律及其影响因素;最后,仿真分析在不同工况下牵引网电压分布、牵引变电所功率分配以及空载环流的传输特性. 研究结果表明:在轻载运行时,贯通高压输电网采用电缆的方案会导致线路末端电压显著提高;再生列车有助于改善网压水平,并能高效利用再生能量;线路空载时,通过保持各牵引变压器的实际变比一致以及减少贯通高压输电网的长度,可以有效降低空载环流.

基于样本矩-最大熵法的长短腿输电塔整体可靠度分析
王成, 王涛, 黄兴, 刘翔云, 李正良, 刘畅
2025, 60(5): 1315-1324. doi:10.3969/j.issn.0258-2724.20230105
摘要:

为准确评估长短腿输电塔整体安全水平,依托某500 kV输电线路工程,建立长短腿输电塔精细化数值模型,根据《架空输电线路杆塔结构设计技术规程》(DL/T 5486—2020)以及数值分析结果,给出长短腿输电塔不同失效模式下的功能函数,并结合等价极值事件原理加以等价描述;随后,基于低偏差序列方法生成随机样本点,计算样本响应并获得等价功能函数统计矩;最后,通过改进最大熵法计算长短腿输电塔整体可靠指标. 分析结果表明:本文方法所计算的长短腿输电塔整体可靠指标的相对误差和计算成本分别为Monte Carlo仿真(MCS)法的0.46%和0.05%;单一失效模式下得到的长短腿输电塔可靠指标较整体可靠指标偏低,建议采用整体可靠指标衡量长短腿输电塔的安全水平;塔腿级差和长短腿输电塔整体可靠指标成反比,16 m级差工况下的长短腿输电塔整体可靠指标较等长腿降低了15.72%,设计时应避免级差过大的情况.

基于电场特征的动车组电缆终端气隙缺陷检测
唐于京, 高国强, 徐玉琦, 辛东立, 刘凯, 陈奎, 吴广宁
2025, 60(5): 1325-1332. doi:10.3969/j.issn.0258-2724.20230244
摘要:

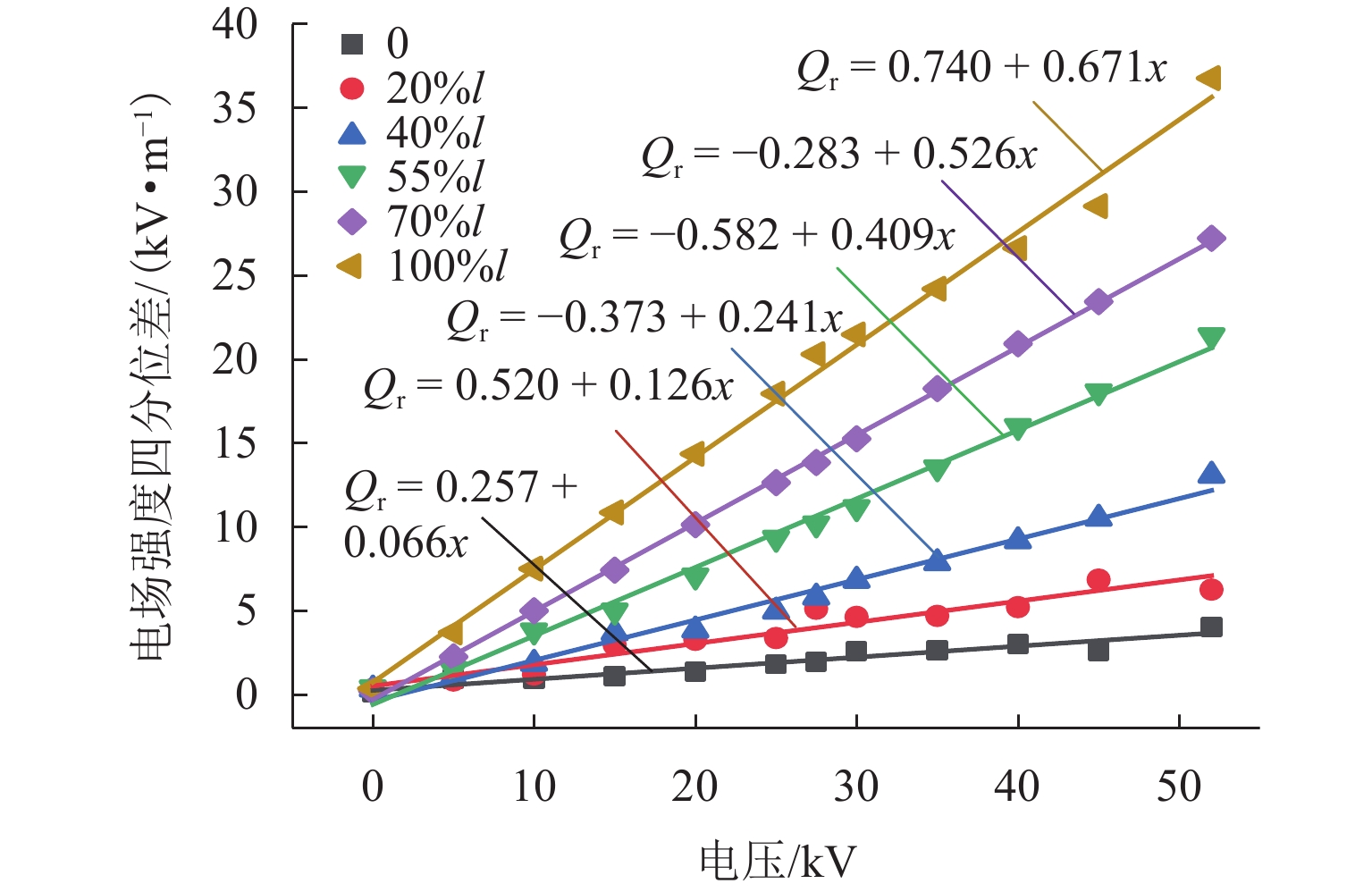
针对动车组电缆终端绝缘现有检测手段复杂,易受到现场噪声干扰,检测效率不高的问题,提出一种基于电场强度的电缆终端绝缘状态检测新方法. 首先,制备不同长度的预制气隙缺陷动车组电缆终端;其次,获取预制气隙缺陷电缆终端样本的高频脉冲电流信号;最后,利用电场传感器测量不同缺陷长度的电缆终端电场强度值. 研究结果表明:通过缺陷电缆终端高频脉冲电流峰值信号以及电场强度特征,可将电缆终端缺陷发展划分为 S 1 S 2 S 33个阶段;缺陷越大,电缆终端沿面电场强度四分位差、平均值、方差和离散系数越大,当界面缺陷由20% l 增加到100% l l 为高压电缆终端内部第1层应控管长度)时,电场强度四分位差斜率由0.126增加到0.671,电场强度方差指前因子和偏移量绝对值分别增加约81.30%和80.66%.

Baidu
map