• ISSN 0258-2724
  • CN 51-1277/U
  • EI Compendex
  • Scopus
  • Indexed by Core Journals of China, Chinese S&T Journal Citation Reports
  • Chinese S&T Journal Citation Reports
  • Chinese Science Citation Database

Current Issue

2025 Vol. 60, No. 6

Display Method:
Intelligent Extraction Method of Overhead Catenary Point Cloud Wire Features of Railway Stations Guided by Knowledge
ZHU Jun, ZHANG Chuanjun, ZHAO Jianfeng, WANG Xuezhu, FU Lin, HUANG Zhiyong, GUO Pengfei
2025, 60(6): 1333-1341. doi:10.3969/j.issn.0258-2724.20230435
Abstract:

To address the irregular noise distribution and difficult semantic segmentation in overhead catenary point clouds of railway stations and enhance the detection of overhead catenary anomalies, an intelligent extraction method was proposed. Firstly, the overhead catenary scene data of railway stations was analyzed, and the knowledge framework for wire and rail top surface point cloud extraction was constructed. Secondly, the spatial features of overhead catenary point clouds of railway stations were considered, and the segmentation and fusion filtering methods of key element point clouds of railway stations were designed. Then, the strong spatial semantic constraint rules of the overhead catenary of railway stations were established, and a knowledge-guided intelligent and fine extraction method for wire features was proposed. On this basis, WHU-TLS and other station point cloud datasets were used to build an experimental platform and carry out experimental analysis. The results show that in complex environments with partial missing of point clouds and noise interference, the proposed method is easy to operate and highly automated. Compared to traditional methods for extracting wire features, it requires the least time and achieves an average precision of ±5 mm in extracting overhead catenary wire features within 100 m, effectively supporting the intelligent detection of geometric features in overhead catenary of railway stations.

InSAR Tropospheric Correction Method Incorporating Baarda Data Snooping and Its Application
HUANG Qihuan, HE Ziqi, YUE Jiawei, ZHANG Hanwen
2025, 60(6): 1342-1351. doi:10.3969/j.issn.0258-2724.20230703
Abstract:

To investigate the impact of turbulent atmospheric delay on high-precision and fine-scale deformation extraction using time-series InSAR (Interferometric Synthetic Aperture Radar), the turbulent atmospheric delay was considered as a gross error in the time series, based on its random characteristics in the spatiotemporal domain and its significant impact on deformation phase. The Baarda data snooping method was first applied to identify and remove the turbulent atmospheric delay, followed by spatiotemporal filtering to extract high-precision deformation information. Simulation and Sentinel-1 SAR data have confirmed the effectiveness of the proposed method. Results show that compared to using only spatiotemporal filtering, the standard deviation of displacement rate residuals obtained from the simulated data using the proposed method is decreased by about 25.8% and 16.0% in the stable and deformation regions, respectively. For Sentinel-1 SAR data, the semi-variograms of the results are reduced by about 74% compared to the original phase at the same spatial scale, outperforming the 65% reduction achieved by spatiotemporal filtering alone. The proposed method has been successfully applied to the fine-scale monitoring of the Orange Line rail transit in Lahore, Pakistan, with 17.6% of the entire line found to be located in areas experiencing strong ground subsidence.

Experimental Study on Permeability of Soil–Phyllite Mixture in Northwest Sichuan
ZENG Caiyun, ZHAO Xiaoyan
2025, 60(6): 1352-1361. doi:10.3969/j.issn.0258-2724.20230718
Abstract:

The soil–phyllite mixtures are widely distributed in the northwest of Sichuan, and excavation of slopes in these areas under rainfall conditions can cause large-scale instability, posing threats to the safety of transportation engineering construction and operation. The permeability characteristics of soil–rock mixtures significantly affect the stability of excavated slopes, and the spatial orientation of flat phyllite is the key factor affecting the permeability of soil–phyllite mixtures. Based on the spatial orientation characteristics of phyllite, a self-developed large-scale permeameter was used to examine permeability characteristics of soil–phyllite mixtures under different conditions, including various rock content and particle sizes, and the influence of these factors on the permeability of such mixtures was studied. The results show that when the rock content increases from 0% to 35%, the permeability coefficient of the mixture decreases by 49.28%, while the critical and failure hydraulic gradients increase by 159.38% and 54.17%, respectively, making piping failure less likely to occur. When the rock size increases from 20–40 mm to 60–80 mm, the permeability coefficient increases by 34.62%, and the critical and failure hydraulic gradients decrease by 23.15% and 10.3%, respectively, making piping failure more likely to occur. These findings provide references for evaluating the hydraulic characteristics of soil–phyllite mixtures and assessing the excavated slope stability in northwest Sichuan.

Large Deformation Control of Tunnel Surrounding Rock Based on Advance Stress Release and Grouting Reinforcement
WANG Junjie, ZHANG Shuai
2025, 60(6): 1362-1372. doi:10.3969/j.issn.0258-2724.20230706
Abstract:

To address the limitations of using an advance guide tunnel for controlling large deformations of surrounding rock in soft rock tunnels, a deformation control method of “advance stress release + circumferential (lagging) grouting + lengthened anchor rod” was proposed after a thorough analysis of the large deformation characteristics of soft rocks and associated problems. Based on a unified model for the degradation of post-peak stiffness and strength of soft rocks and a unified strength criterion, the elastic-plastic solutions for the advance guide tunnel and main tunnel surrounding rock were obtained. Then, the constitutive model for the degradation of post-peak stiffness and strength of soft rocks was developed in FLAC3D finite difference software, and the deformation and stress distribution of the advance guide tunnel and main tunnel surrounding rock were obtained. Finally, the influencing factors such as softening modulus, grouting parameters, radius of advance guide tunnel, and distance between two tunnel faces were analyzed. The research results indicate that the advance guide tunnel can effectively release the surrounding rock deformations induced by compression, and the loosening and fracturing of the rock mass are the main reasons for excessive deformations and stability decrease of the release layer and main tunnel surrounding rock. Circumferential (lagging) grouting can effectively control the loosening deformations of the surrounding rock during excavation, improve the stress distribution of the surrounding rock, and enhance the load-bearing capacity of the surrounding rock. Larger values of the softening moduli indicate strong surrounding rock deformations of the advance guide tunnel. Larger values of grouting parameters indicate deformations of the main tunnel surrounding rock. Increasing the excavation radius of the advance guide tunnel and increasing the distance between the two tunnel faces (advance guide tunnel and main tunnel) can make the initial ground stress release more sufficient.

Progress and Prospects of Landslide Multi-Source Monitoring Technology and Early Warning Model
ZHU Chun, GONG Yifei, SONG Shengyuan, LI Haibo, HE Manchao
2025, 60(6): 1373-1389. doi:10.3969/j.issn.0258-2724.20230547
Abstract:

Geological disasters occur frequently in China, among which landslide disasters, due to their multiple types, difficult detection, wide distribution, great harm, and other characteristics, result in casualties and property losses and are ranked as the first of all types of geological disasters. Multi-source monitoring technology plays a vital role in the process of landslide early warning, disaster prevention, and disaster mitigation. The emergence and development of a variety of landslide monitoring technologies were briefly reviewed. A series of important advances in recent years ranging from apparent long-term safety assessment of landslides and deep Newtonian force monitoring to the application of multi-source data fusion monitoring methods for micro-seismic signal sensing were systematized. The research applications of satellite monitoring-based intelligent identification technology, space-air-ground integrated composite fiber-optic landslide monitoring technology, and negative poisson’s ratio anchor (NPR) deep Newtonian force real-time monitoring technology in landslide identification and deciphering, long-term monitoring, and emergency response were outlined. The latest achievements and main research directions of scholars in landslide early warning models were summarized, and their assessment methods and main conclusions were classified and reviewed. The advantages and major problems of integrating various deep learning methods to predict landslides driven by existing landslide monitoring data were analyzed. The deep integration of cutting-edge deep learning algorithms with the multi-parameter high-precision evolutionary feature information of landslide catastrophes will lead the research of intelligent landslide warning models to a new level and become the core focus of future exploration.

Size Effect Model for Red-Bed Soft Rock Based on Machine Learning Algorithm
LÜ Longlong, LI Xiaoyang, LIAO Hongjian, YOU Yaoxing
2025, 60(6): 1390-1403. doi:10.3969/j.issn.0258-2724.20250044
Abstract:
Objective

Red-bed soft rock is highly susceptible to softening, swelling, and disintegration upon water exposure and exhibits pronounced rheological behavior, which often leads to structural deformation and failure in engineering constructions. The rock has attracted widespread attention in geotechnical research. The mechanical properties of rocks are significantly influenced by sample size and geometry, yet existing size effect models are typically tailored to specific rock types. Therefore, establishing a unified size effect model and understanding the influence of size on the mechanical behavior of red-bed soft rocks are of considerable significance.

Method

A series of unconfined uniaxial compression tests was conducted on red-bed soft rock specimens with varying height-to-diameter ratios ( H/d ) to investigate their peak stress ( σ P), peak axial strain ( ε P), and average elastic modulus ( E av). The dispersion of mechanical parameters under different H/d ratios was analyzed using a dispersion parameter defined as the mean coefficient of variation across these key mechanical properties. Subsequently, five machine learning algorithms, decision tree regression (DTR), support vector regression (SVR), multilayer perceptron (MLP), random forest regression (RFR), and extreme gradient boosting regression (XGR), were employed to model the size effect of red-bed soft rocks. The original dataset was expanded through linear interpolation, and the influence of Gaussian noise of varying intensities was investigated. The hyperparameters of DTR, SVR, RFR, and XGR were determined through grid search, and the network structure of MLP was determined through manual tuning, while model robustness was evaluated using 10-fold cross-validation. Performance metrics on both training and test datasets were reported. In addition, a global interpretability analysis of the optimal XGR model was conducted using Shapley additive explanations (SHAP) to rank feature importance and perform local interpretations on three representative actual test samples ( H/d = 0.40, 1.00, and 2.00). To assess model generalizability, the trained models were used to predict the uniaxial compressive strength of rock types with non-standard sizes.

Result

As the H/d ratio decreased, both uniaxial compressive strength and peak axial strain increased. The uniaxial compressive strength of the 0.40 H/d ratio group specimen was 1.6–2.1 times that of the 2.00 H/d ratio group specimen, and the peak axial strain was 2.3–3.3 times that of the latter. The stress–strain curves exhibited a transition from brittle to ductile failure modes. The failure mode of the specimen gradually changed from shear failure to splitting failure, and then to complex failure modes. Existing empirical models failed to accurately fit the size effect on uniaxial compressive strength of red-bed soft rock from the Huma Ridge area, with R 2values below 0.6. Among the mechanical parameters, the dispersion order from highest to lowest was E av, σ P, and ε P. The dispersion parameter of mechanical characteristics increased and then decreased with H/d ratio, peaking between H/d = 1.20–1.40. Among the five machine learning algorithms, DTR was the most sensitive to noise and exhibited the lowest stability and predictive performance (minimum R 2= 0.175). In contrast, XGR, RFR, MLP, and SVR effectively captured the complex nonlinear relationships between input features and σ P, with test R 2values of 0.989, 0.972, 0.967, and 0.965, respectively. SHAP-based analysis of the XGR model revealed that H/d was the most influential feature, followed by E avand ε P. The average absolute SHAP values are 3.98, 1.09, and 0.56. Higher H/d values had a negative impact on model predictions, while E avand ε Pshowed positive contributions. Local interpretation indicated that as H/d increased from 0.40 to 2.00, its contribution weight declined and shifted from positive to negative. For sample C5-02 ( H/d = 1.00), E avexhibited a strong negative contribution to the predicted σ P. When applied to predict σ Pof other rock types, the MLP model demonstrated relatively better generalizability, accurately estimating σ Pfor coal rock, lean ore, and marble. However, it tended to overestimate σ Pfor gypsum and underestimate it for sandstone. This discrepancy was attributed not only to differences in microstructural characteristics but also to variation in feature contributions. Specifically, SHAP analysis showed that E avhad the highest contribution weight in gypsum, lean ore, and marble predictions, whereas H/d dominated in sandstone predictions, resulting in prediction bias.

Conclusion

Changes in various mechanical properties are obtained as the H/d ratio decreases through uniaxial compression tests, and the discreteness of these indicators is analyzed. Among all models tested, XGR achieves the highest accuracy in predicting σ Pof red-bed soft rocks. In terms of model consistency, the MLP model trained on the red-bed soft rock dataset can predict the σ Pof other non-standard sized rocks with an error of less than 20%. While the MLP model shows promising results in predicting σ Pof other rock types, its accuracy remains limited due to insufficient training diversity. To improve model generalizability and applicability, future work should incorporate additional rock types and features such as rock density and fracture parameters. This result provides a preliminary exploration and reference for the construction of more universal rock strength prediction models in the future.

Particle Crushing Behavior and Strength Generation Mechanism of Red-Bed Soil-Rock Mixture
HE Zhuoling, ZHANG Junyun, LUO Xiaolong, ZHANG Le, YANG Tao, WU Xiaofei
2025, 60(6): 1404-1414, 1486. doi:10.3969/j.issn.0258-2724.20230636
Abstract:

Revealing the particle crushing behavior and strength generation mechanism of the red-bed soil-rock mixture (R-B S-RM) has significance for the road performance of the R-B S-RM in the Sichuan Basin. In this study, the concept of relative coarse particle ratio was introduced, and 15 sets of large-scale triaxial tests were conducted. The fractal dimension of the R-B S-RMs was statistically analyzed using digital image processing technology. The relative fractal ratio, which described the particle crushing behavior, was defined. The effects of the stone content and relative fractal ratio on the strength and particle crushing behavior of the R-B S-RMs were investigated. The results indicate that the cohesion exhibits exponential growth with stone content and relative fractal ratio, and the cohesion increases with stone content and relative fractal ratio. The tangent of the internal friction angle exhibits sinusoidal growth and negative exponential growth with stone content and relative fractal ratio, respectively. The tangent of the internal friction angle tends to stabilize at a lower bound of tan 31.69°. The relative fractal ratio exhibits tangential growth and negative exponential growth with stone content and relative fractal ratio, respectively. Increasing stone content results in a denser R-B S-RM with little change in the internal friction angle. Moreover, increasing the relative fractal ratio can slow down the crushing behavior of blocks, reduce the internal friction angle of the R-B S-RMs, and enhance their cohesion.

Whisker-Reinforced Repairing Mortar for High-Speed Railway Concrete
LI Maohong, LIANG Lei, GUO Qiuxu, FU Xiaojie, HUANG Qunyi, ZHANG Shengli, WANG Ping
2025, 60(6): 1415-1423. doi:10.3969/j.issn.0258-2724.20240037
Abstract:

To meet the performance requirements of repairing mortar for high-speed railway concrete, sulfoaluminate cement mortars with different contents of wollastonite whisker were prepared. Their flexural strength, compressive strength, and shrinkage were tested, and they were characterized by X-ray diffraction (XRD) and scanning electron microscopy (SEM). The results show that the mortar strength increases initially and then decreases with the increase in the wollastonite whisker content. At a content of 10.0%, mortar exhibits the maximum flexural strength and compressive strength and the minimal shrinkage. When the content is not greater than 10.0%, the improvement in strength and reduction in shrinkage are mainly attributed to the pullout, fracture, and bridging effects of the whiskers, as well as the cooperative pullout of whiskers and cements. The influence of whiskers on the cement hydration reaction is minimal. When the content is too high, the whiskers can aggregate to amplify the pore size of the mortar, resulting in a decrease in strength. In summary, the addition of an appropriate amount of whiskers can improve the multi-faceted performance of repairing mortar, showing potential for application in high-speed railway concrete repair.

Dynamic Characteristic Analysis of Basalt Fiber Foam Concrete Subgrade for Ballastless Track
HUANG Zhichao, ZHANG Zongyu, SU Qian, WANG Xun, HUANG Junjie, ZHAO Wenhui
2025, 60(6): 1424-1432. doi:10.3969/j.issn.0258-2724.20240142
Abstract:

Basalt fiber foam concrete can be used as a novel subgrade filler for ballastless tracks. In order to analyze its dynamic performance, fundamental dynamic parameters of basalt fiber foam concrete were obtained through laboratory dynamic triaxial tests. Furthermore, a full-scale laboratory model of a ballastless track subgrade constructed with basalt fiber foam concrete was developed to reveal its dynamic response under cyclic loading. Additionally, a three-dimensional vehicle–track–subgrade finite element model was established to analyze the deformation characteristics of the subgrade structure under high-speed train operation. The results indicate that the dynamic performance of foam concrete is enhanced after the incorporation of basalt fibers. When the basalt fiber content reaches 0.6%, the optimal mix proportion is achieved, with dynamic strength increased by 90.8%, damping ratio by 46.2%, and dynamic modulus by 98.1% compared to foam concrete without basalt fibers. The ballastless track subgrade reinforced by basalt fiber foam concrete exhibits good overall integrity, and the applied load is distributed more uniformly downward, with a maximum dynamic stress of 19.37 kPa at the subgrade surface. Numerical simulation analysis indicates under high-frequency loading, subgrade vibration can stabilize more rapidly. Under high-speed train operation, the maximum surface settlement of the basalt fiber foam concrete subgrade is 0.30 mm. Compared with conventional subgrade structures, the basalt fiber foam concrete subgrade shows a high vibration response frequency and makes noise more controllable under train loads.

Pressure Arch and Surrounding Rock Pressure in Mechanized Tunnels with Drilling and Blasting Method
WANG Junlou, WANG Bo, DU Jiamin, YAN Jian, XU Juncheng, XU Guowen
2025, 60(6): 1433-1446. doi:10.3969/j.issn.0258-2724.20240442
Abstract:

The evolution mechanism and development patterns of the pressure arch during the mechanized excavation process of tunnels using the drilling and blasting method hold significant importance for tunnel load calculation and stability assessment. A typical double-track tunnel on the Chongqing–Kunming High Speed Railway was selected as the research subject. By employing methods such as numerical simulation and field tests and fitting the control points corresponding to the inner boundary points, outer boundary points, arch springing line, and the positions of the “arch springing” of the pressure arch, a comprehensive determination of the pressure arch boundary in mechanized tunnels was achieved. Additionally, the formation and development patterns of the pressure arch during the excavation of mechanized tunnels using the drilling and blasting method were ascertained. Meanwhile, based on the characteristics of the pressure arch, a theoretical calculation model for surrounding rock pressure was derived. The conclusions are as follows: As the lateral pressure coefficient $\lambda $ increases, the area of increased strain energy in the surrounding rock during mechanical excavation shows an evolutionary pattern of transition from the side wall (lateral pressure coefficient $ \lambda = 0.5 $), the excavation contour around the tunnel ($ \lambda = 1.0 $), and the vault ($ \lambda = 1.5 $, farther away from the excavation contour). During tunnel excavation, the overall changes in radial and tangential stresses in the surrounding rock exhibit a narrowing trumpet shape. When $ \lambda = 0.5 $, the strain energy accumulates near the contour of the excavation face of the tunnel and eventually concentrates within the surrounding rock of the haunch. The error between the calculated value of the vault surrounding rock pressure and the field test result is less than 10%. Compared with the recommended formula in the Code for Design of Railway Tunnel , the calculated value is smaller than the tunnel code value at a buried depth of 50 m. As the buried depth gradually increases, the surrounding rock pressure also increases, which is consistent with field test results.

Fatigue Damage of Tied-Arch Bridge Hangers Based on Train-Bridge Coupling
PENG Yipu, TANG Zhiyuan, CHEN Li, LI Jian, LI Zichao
2025, 60(6): 1447-1454. doi:10.3969/j.issn.0258-2724.20230450
Abstract:

To study the fatigue damage inflicted on hangers by high-speed trains passing over a concrete-filled steel-tube tied-arch bridge, field dynamic load tests were conducted against the backdrop of the Qinjiang Bridge in Qinzhou, Guangxi Province. These tests measured the bridge’s modal parameters, displacement, acceleration, and dynamic stress. By using the finite element software ANSYS, a bridge model was established, and its accuracy was verified by comparing measured frequencies and vibration patterns. The bridge model was then integrated with a CRH2 train model developed in the multibody dynamics software SIMPACK to achieve train-bridge coupling and conduct joint simulations. By comparing simulation results under identical conditions with actual measurements, the reliability of the train-bridge coupled vibration system was validated. On this basis, the Palmgren-Miner linear fatigue damage criterion was applied to investigate the impact of different operating speeds and track smoothness on the fatigue damage of the hanger. The results show that the joint simulation is efficient and reliable. Short hangers on the tied-arch bridge are more sensitive to coupled vibrations caused by different speeds and track smoothness than long hangers. For instance, the fatigue damage of the train to hanger 1# at a speed of 190 km/h is 3.5 times that of hanger 7#. With the increase in train speed, the fatigue damage degree of hangers shows a wave-like increasing trend instead of a continuous increase, exhibiting a critical speed near the bridge’s natural frequency. Optimizing or deteriorating the track smoothness of the bridge exponentially affects the fatigue damage of the hanger.

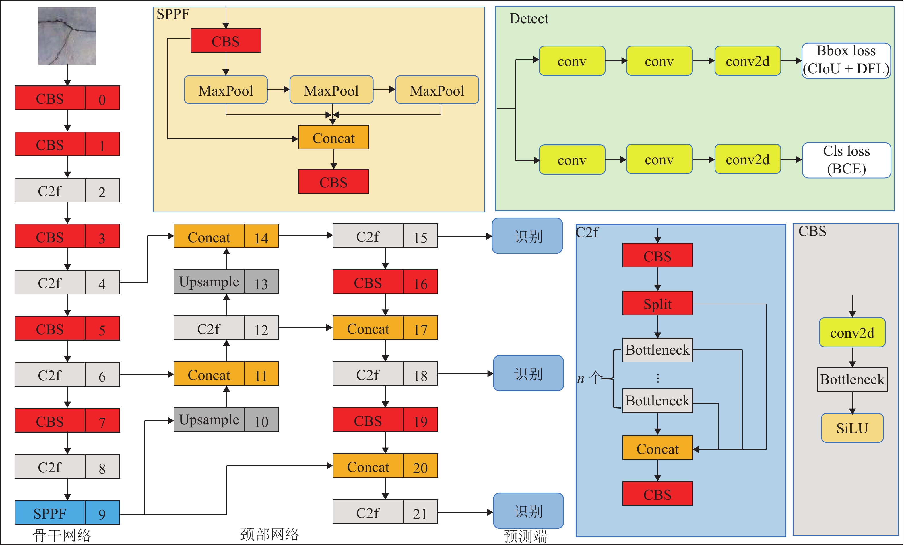
Structural Crack Detection Based on Computer Vision and Hybrid Measurement Technology
LI Zewei, YANG Yongqing, LIAO Man, XIE Mingzhi, LIU Yu, HUANG Shengqian
2025, 60(6): 1455-1464. doi:10.3969/j.issn.0258-2724.20230700
Abstract:

Concrete surface crack detection provides essential technical data and decision-making elements for the operation and maintenance of bridge structures. Crack identification is a key step in structural crack detection. However, the integration between crack target identification and information extraction is low. To this end, a new method for identifying structural cracks by using computer vision and hybrid measurement technology was proposed. Firstly, the You Only Look Once version 8 (YOLOv8) target recognition algorithm was employed to achieve rapid identification and localization of structural cracks. A super-resolution U-net (SR-UNet) crack segmentation model was developed based on the dense deep back-projection network (D-DBPN) and UNet, and boundary loss was introduced to improve the previous loss function, which addressed the imbalance between positive and negative samples and enabled precise pixel-level crack extraction. By using morphological techniques such as connected domain denoising and edge detection and a hybrid method of the shortest distance and orthogonal skeleton, the crack width at the pixel level was measured. A dataset of recognition and localization containing 3 123 crack images was created by using LabelImg software for model training and testing. The research results indicate that the YOLOv8 model achieves an accuracy of 83.41%, a recall rate of 84.93%, and an F 1score of 84% on the crack test dataset. The simulated crack width measured by the hybrid crack width measurement method is consistent with that of manual identification, with a relative error of less than 7.1%. This method can integrate crack identification and localization, crack segmentation, and pixel width measurement, demonstrating significant research value and application potential for the development of bridge crack detection.

Safety Risk Analysis of Connected and Automated Vehicle Platoons Considering Sensor Noise
WANG Xu, JIANG Xinguo, ZHAO Xinyu
2025, 60(6): 1465-1475. doi:10.3969/j.issn.0258-2724.20230418
Abstract:

The scenario in which vehicle-to-vehicle (V2V) communication between connected and automated vehicles (CAVs) fails was studied, and the onboard sensors were used to perceive the motion state of the preceding vehicle. The impact of sensor noise on the safety risk of the CAV platoon was analyzed. First, a CAV dynamics model was established based on the intelligent driver model (IDM), and two sensing modes for perceiving the predecessor’s motion state were proposed. The sources of sensor noise were analyzed, and an adaptive Kalman filter (AKF) was applied for noise processing. Finally, two simulation experiments were conducted under extreme (sudden deceleration of the lead vehicle) and normal (trajectory data based on the NGSIM dataset) scenarios. Surrogate safety metrics, including time integrated time-to-collision (TIT), were used to evaluate the overall platoon safety risk and the effect of noise under different vehicle degradation positions and time headways. The results indicate that after denoising, both TIT and TET significantly decrease. The safety risk of the platoon decreases as the degraded vehicle position moves rearward, and the time headway increases. The highest risk occurs when the second vehicle degrades with a time headway of 0.6 s. When degradation occurs from the fourth vehicle onward, the severe and moderate safety risks are minimized, and the influence of sensor noise becomes negligible. In this case, the safety risk is mainly determined by the time headway.

Cross-Flight Flow Pre-conflict Resolution Based on Autonomous Diversion
WANG Lili, LIU Xinyu
2025, 60(6): 1476-1486. doi:10.3969/j.issn.0258-2724.20230430
Abstract:

Control deployment at airway intersections has always been a core issue affecting the efficiency of air traffic control (ATC). Previous research has primarily focused on a small number of aircraft flights. As a result, a pre-conflict resolution method of large-scale cross-flight flow based on autonomous diversion in the trajectory-based operations (TBO) environment was proposed. Firstly, based on the horizontal safety interval between aircraft, the minimum longitudinal time interval that should be maintained when an aircraft crosses the intersection was converted; secondly, the concept of occupancy time window was proposed, and a conflict detection mechanism based on the occupancy time window was established. By integrating the principle of the shortest passage time for flight flows, a multi-objective decision-making model was established to achieve precise identification of conflicting aircraft and determine their priority for diversion. Finally, to address the issue of insufficient timeliness of traditional heuristic algorithms in flight flow movement, the feasible solution space was reduced by limiting the turning angles, and a search model for the diversion points was established to minimize the diversion time, thereby improving the solution speed and search accuracy. An example of a typical high-altitude sector in northeastern China was used to verify the effectiveness of the proposed method for actual cross-route operation. The simulation results indicate that the domino effect parameter (DEP) of the proposed conflict resolution method is 18.2% lower than that of the speed regulation resolution method. The total time consumption for speed regulation resolution is 7.6 times that of the proposed method. Therefore, the proposed method has a lesser impact on spatial stability and a higher resolution efficiency.

Improvement of Highway Traffic Risk Prediction Method Based on Traffic Accident Text Mining
HU Liwei, HOU Zhi, ZHAO Xueting, LIU Bing, CHEN Chen, HE Yu, ZHANG Ruijie
2025, 60(6): 1487-1498. doi:10.3969/j.issn.0258-2724.20230290
Abstract:

To effectively solve the problems of long highway inspection mileage and control difficulty, the applicability of the existing bidirectional long and short-term memory network (BiLSTM) text classification model and convolutional neural network (CNN) risk prediction model was improved, and the historical road traffic accident text data were analyzed and mined. The road segmentation method was introduced to accurately predict the distribution of highway driving risks and realize the scientific control of highway driving safety. Firstly, the text of traffic accidents was classified by the improved BiLSTM based on a self-attention mechanism (BiLSTM-AT), and the corresponding accident risk level of each accident was obtained. Second, the highway was divided into segments in ArcGIS, and the driving risk level within each segment was counted; kernel density analysis was performed to visualize the text classification results and show the risk level in different areas. Finally, the CNN based on LSTM (CNN-LSTM) was used to conduct time series prediction for the classified risk levels, obtaining the spatial distribution of future highway driving risks and drawing the cloud map of highway driving risk levels. The results show that the accuracy of the BiLSTM-AT model reaches 95.03% in terms of accident text classification, which is 0.91% and 0.67% higher than that of the BiLSTM and gate recurrent unit (GRU), respectively; the average relative error and root mean square error of the CNN-LSTM are 0.04 and 0.07, respectively, in terms of risk prediction, which are lower than that of the suboptimal LSTM model by 9.05% and 6.84%, respectively. The proposed method that closely connects accident text classification, segment division, driving risk prediction, and result visualization can effectively extract and analyze the driving risk information in the traffic accident text and provide a reference for optimizing the highway inspection routes and the traffic control of key segments.

Multi-Scale Correlated iAFF-Res2Net Voiceprint Recognition Model
LING Xiaoming, ZHANG Zhen, LIU Yanshan, MA Chenlong, CHEN Qixiang
2025, 60(6): 1499-1507, 1518. doi:10.3969/j.issn.0258-2724.20240317
Abstract:

An improved network architecture named iAFF-Res2Net was proposed to address the problem of capturing both local and global features effectively in feature fusion under noisy conditions for voiceprint recognition. Firstly, a lightweight Res2Net was adopted as the backbone, and an Attention Feature Fusion (AFF) module with multi-scale channel attention was integrated to enhance feature representation. Secondly, an Iterative Attention Feature Fusion (iAFF) mechanism was introduced to reduce the bias caused by initial feature weighting, thereby refining feature weight distributions. Furthermore, during the generation of fixed speaker embeddings, traditional average pooling was replaced by Attentive Statistics Pooling (ASTP) with global context attention to improve frame-level feature aggregation. Finally, Angular Additive Margin Softmax (ArcMarginLoss) was used for speaker verification. Experimental results on the VoxCeleb dataset show that the iAFF-Res2Net models achieve equal error rates (EER) of 0.60%, and minimum detection cost functions (MinDCF) of 0.053. Both models outperform classical architectures such as ResNet34, ResNet50, Res2Net, and ECAPA-TDNN. Moreover, the improved models exhibit faster convergence and stronger feature discriminability.

Collaborative Optimization of Timetable and Operation Path for Long Tunnel Construction Vehicles
HU Lu, LI Dongjie, CHEN Fei, JIANG Yangsheng
2025, 60(6): 1508-1518. doi:10.3969/j.issn.0258-2724.20230457
Abstract:

The harsh environment and complex transportation network of long tunnels pose many challenges to the safe, efficient, and orderly transportation of multi-type construction vehicles. At present, transportation organization and management within tunnels still remain at the macro strategy level, lacking refined decision-making regarding construction vehicle timetables and operation paths. To address the above issues, an optimization model for the timetables and operation path of multi-type construction vehicles in long tunnels was proposed, with traffic conflicts taken into consideration. This model aims to minimize the total operating (driving) time of construction vehicles while alleviating traffic conflicts within the tunnel, thereby improving production efficiency and ensuring system safety. On this basis, the optimization model was linearized and reconstructed as an integer linear programming model, which was solved using the Gurobi solver. The results show that before and after the optimization of the tunnel transportation organization scheme, the total operating (driving) time of the vehicles remains unchanged at 512 minutes, while the number of cross conflicts is reduced from 19 to 0, and the number of opposite conflicts is reduced from 2 to 0. This indicates that the optimization scheme completely avoids traffic conflicts without increasing the total operating time of construction vehicles, ensuring transportation safety and demonstrating practical feasibility.

Impact of Initial Levels of Trust in Automation on Urban Rail Transit Driving Tasks
DING Tiecheng, ZHI Jinyi, ZOU Rui, WANG Zhenyu, HE Sijun, JING Chunhui
2025, 60(6): 1519-1526. doi:10.3969/j.issn.0258-2724.20230654
Abstract:

In order to ascertain the impact of the initial levels of trust in automation on takeover performance, workload, and visual behavior in urban rail transit driving tasks, a questionnaire assessing initial trust in automation was designed and validated. The questionnaire was used to screen participants with significantly different initial levels of trust for driving simulation tests. Takeover performance was evaluated by recording the response time of both routine and emergency braking. Workload was assessed by the National Aeronautics and Space Administration Task Load Index (NASA-TLX) questionnaire. Additionally, data on visual behavior differences were analyzed by capturing saccade counts, total fixation counts, fixation durations, and mean fixation durations in two distinct areas separately: the rail surface and the driving interface. The results indicate that participants with different initial levels of trust show no significant difference in takeover performance. A 21.39% reduction in overall workload, a 34.24% reduction in physical demand, and a 31.96% reduction in frustration are observed among participants with high initial levels of trust compared with those with low levels of trust. The initial level of trust significantly influences visual behavior. Low-trust participants tend to exhibit active visual search behaviors, who demonstrate 28.14% more fixation counts on the rail surface, 41.78% more saccade counts to the road surface, and 42.91% more saccade counts to the driving interface. Meanwhile, high-trust participants tend to display fixed visual gaze behaviors, with a 40.74% longer mean fixation duration on the rail surface. The findings of this study offer theoretical guidance and practical implications for enhancing driving safety interventions in urban rail transit.

Infrared Small Target Detection Based on Temporal Local Spatial Entropy and Spatial Multi-Scale Feature
LI Hengchao, LIU Yanqiong, YIN Jiajie, LEI Sen
2025, 60(6): 1527-1536. doi:10.3969/j.issn.0258-2724.20240225
Abstract:

Infrared imaging technology is widely used in military and civilian fields. As an indispensable part of the application, infrared small target detection has important practical significance. However, the existing methods hardly distinguish the real target from the target-like sparse structure. Therefore, an infrared small target detection algorithm was proposed by fusing the temporal local spatial entropy and the spatial multi-scale feature. In the temporal branch, a density peak clustering algorithm based on the similarity measurement of patches was designed to locate the candidate region of infrared small targets and reduce redundant calculation of backgrounds. Moreover, temporal local spatial entropy based on the local difference between frames was proposed to explore the variations in target and background entropy values in local regions and solve the false alarm caused by the target-like sparse structure. In addition, the spatial multi-scale feature branch was introduced to construct the spatio-temporal fusion feature, reducing the missed detection rate in the location of candidate regions and improving the detection ability of small targets at different scales. Compared with that of nine algorithms on five sets of sequences, the background suppression factor (BSF) of the proposed method is superior. The BSF is 2.02 times better than that of the suboptimal method on the best-performing sequence 5, and it is optimal on four sets of sequences in the receiver operating characteristic curve (ROC). In summary, compared with other methods, the proposed method can detect small targets accurately under the target-like sparse structure.

Optimal Configuration of Photovoltaic and Hybrid Energy Storage System Capacity in Multi-Substation Interconnected Traction Power Supply System
YANG Jianwei, FENG Suhua, GUO Huibin, LIAO Kai, XIANG Yueping
2025, 60(6): 1537-1549. doi:10.3969/j.issn.0258-2724.20240028
Abstract:

With the continuous expansion of China’s electrified railways, the integration of photovoltaic (PV) and hybrid energy storage systems (HESS) into the traction power supply system (TPSS) has gradually become an effective approach to achieve energy conservation and emission reduction in electrified railways. In order to ensure the stable and economical operation of multi-substation interconnected TPSS, the optimal configuration method of PV and HESS capacity based on a techno-economic evaluation system was proposed. By analyzing the operation characteristics of traction load and the charging and discharging characteristics of mixed energy storage media, the operation conditions of the system were divided, and the energy management strategy considering energy conservation and three-phase voltage imbalance was given by controlling the power allocation under different conditions. On the basis of comprehensively considering the boundaries of stable operation and economic benefits of the system, the technical and economic effects of the system operation were quantitatively evaluated with the net benefit throughout the full life cycle, energy utilization rate, and negative-sequence capacity as optimization objectives. Furthermore, a two-layer optimization model for PV and HESS capacity configuration based on the proposed energy management strategy was established, and the parameters of the capacity optimization layer were iteratively modified according to the daily operation effect of the energy management layer. China’s high-speed railway was taken as an example for analysis. Simulation results have shown that the proposed method can effectively realize the optimal configuration of PV and HESS in multiple interconnected substations, where the total cost is reduced by 21.18%; the energy utilization rate is up to 74.61%, and the three-phase voltage unbalance meets the upper limit of 2% in the national standard.

Characteristics Analysis of Lithium Metal Batteries with Ultra-High Energy Density Under Pressure Conditions
SHI Wei, CHAI Jin, XIA Mingyuan
2025, 60(6): 1550-1559. doi:10.3969/j.issn.0258-2724.20240033
Abstract:

External pressure plays a crucial role in the performance of lithium metal batteries. In order to study the macroscopic performance and the microscopic lithium deposition characteristics of lithium metal batteries under different pressure conditions, the pressure test and scanning electron microscope (SEM) verification were conducted to verify that applying external pressure can improve the surface morphology of negative electrodes of lithium metal batteries. The nonlinear phase field model and the force model were coupled to reveal relevant mechanisms. The influence of non-pressure conditions on the deposition morphology and internal stress distribution of lithium was analyzed from the microscopic perspective. The results show that in the absence of external pressure, the external expansion of lithium metal batteries accelerates the continuous growth of lithium dendrites, which results in rapid capacity fading. According to the simulation data, as external pressure rises, the principal axis length of lithium dendrites decreases from 2.04 μm to 1.10 μm, and the aspect ratio increases from 0.32 to 0.79. The smooth and robust morphology evolution can significantly reduce the specific surface area of lithium dendrites, but at the same time, it increases the mechanical instability. The phases of lithium dendrites under different external pressures are displayed, which provides theoretical support for the pressure management and design of lithium metal batteries.

Node Deployment Algorithm for Wireless Sensor Network in Rolling Terrain
LÜ Anqi, LI Cuiran, XIE Jianli, LIU Li
2025, 60(6): 1560-1567. doi:10.3969/j.issn.0258-2724.20230715
Abstract:

To reduce the number of sensor nodes deployed in rolling terrains, firstly, the digital elevation model and Delaunay triangulation were used to model the rolling terrain surface and determine the solution space of the node deployment problem. Secondly, the functional relationship between the node deployment algorithm search dimension and network coverage rate was established. A candidate individual set was searched and formed based on the proposed improved marine predator algorithm, with the constraints of network connectivity and the goal of maximizing network coverage rate. The utility regret minimization criterion was used to derive new individuals from the candidate individuals. Finally, the filtering function was constructed using network coverage rate and network density as indicators to select the best new individual and incorporate it into the deployed node set. Simulation results show that compared with similar deployment algorithms, the proposed algorithm reduces the number of deployed nodes by 2.9%–69.1% for terrain roughness at 1.9 and target coverage rate at 80.0%–100.0% and that by 3.1%–74.0% for the terrain roughness at 1.3–2.5 and the target coverage rate at 100.0%, and the network lifetime is prolonged.

Global Reliability Analysis of Transmission Tower–Line Coupling System Considering Soil-Structure Interaction
WANG Lei, WANG Tao, LI Zhengliang, LÜ Dagang, TAN Yiqiu
2025, 60(6): 1568-1580. doi:10.3969/j.issn.0258-2724.20230399
Abstract:

To investigate the influence of soil-structure interaction and tower-line coupling effect on global reliability of transmission towers, a simplified mechanical model of a transmission tower–line coupling system considering soil-structure interaction under stochastic wind excitation was established. A multi-mass mechanical model was adopted to simulate the transmission tower, insulator, conductor, and foundation. The effect of the subsoil on the dynamic response of the coupling system was modeled using the swing-rocking (S-R) model, and the stochastic wind field was generated using the spectrum representation–dimension reduction method. The simplified mechanical model and the probability density evolution method (PDEM) were employed to develop a global reliability analysis method for transmission tower–line coupling systems considering soil-structure interaction. Finally, a suspension-type tower from an ultra-high voltage alternating current transmission line was used as an example. The probability density function (PDF), mean, and standard deviation of the tower-top displacement were calculated, and the global reliability was evaluated with the tower-top displacement extremum as the control variable. The results show that after considering tower-line coupling effect, the cumulative distribution function (CDF) of tower-top displacement extremum shifts noticeably to the right, and the failure probability increases from 1.605 × 10−38to 0.932. After soil-structure interaction is taken into account, the CDF of tower-top displacement extremum shows a slight rightward shift, and the failure probability increases. Compared with the fixed-base condition, the increase ratios of failure probability under medium-hard soil, medium-soft soil, and weak soil conditions are 4.44%, 5.22%, and 11.76%, respectively. Compared with the Monte Carlo method, the proposed method efficiently obtains the probabilistic information of the tower-top displacement. The computational time is only 1/33 of that of the Monte Carlo method, while the two-norm relative errors of the mean and standard deviation are within 3%.

Safety Limit for Periodic Short-Wave Irregularity of Wheel and Rail for High-Speed Railways at 400 km/h
HU Xiaoyi, CHENG Di, MENG Fandi, SUN Lixia, YAN Ziquan, SUN Linlin, GUO Linjun
2025, 60(6): 1581-1592. doi:10.3969/j.issn.0258-2724.20230676
Abstract:

In response to the lack of safety limits for wheel polygon and rail corrugation on high-speed railways operating at 400 km/h, three principles for determining the safety limits of periodic short-wave irregularities between wheel and rail were proposed: According to the Technical Regulations for Dynamic Acceptance for High-Speed Railways Construction (TB 10761—2013), the wheel–rail vertical force should not exceed 170.00 kN; based on the relationship between the acceleration of elastic rail clips and rail acceleration fitted from measured data on the Wuhan–Guangzhou line and the rail acceleration corresponding to the fatigue fracture of the elastic rail clips caused by resonance, the rail acceleration should be less than 3 250.00 m/s2; according to a service life of at least 30 years, the fatigue damage life of wheel axles should exceed 12 million km. Based on these three principles, a rigid and flexible coupled dynamic model of the vehicle–track system for CR400BF high-speed electrical multiple units (EMUs) was established to calculate the wheel–rail force, rail vibration acceleration, and fatigue damage life of wheel axles under the coupled excitation of large-amplitude periodic short-wave irregularities of wheel and rail for CR400BF EMUs. On this basis, the safety limit of periodic short-wave irregularities between the wheel and rail of high-speed railway at 400 km/h was studied. The results show that under the coupled excitation of rail corrugation with a wavelength of 120–200 mm and an amplitude of 0.020 mm and a 14th–22nd order polygon with an amplitude of 0.025 mm, the wheel–rail force does not exceed 170.00 kN. Under the coupled excitation of rail corrugation with a wavelength of 120–200 mm and an amplitude of 0.040 mm, and a 14th–22nd order polygon with an amplitude of 0.020 mm, the rail acceleration does not exceed 3 250.00 m/s2. Under the coupled excitation of rail corrugation with a wavelength of 120–200 mm and an amplitude of 0.040 mm, and a 14th–22nd order polygon with an amplitude of 0.030 mm, the fatigue damage life of the wheel axle exceeds 12 million km. Therefore, it is recommended to set the safety limit for the periodic short-wave irregularities of wheel and rail for 400 km/h high-speed railways at 0.020 mm, which is consistent with the limit for 350 km/h lines.

Prediction of Discrete Element Breakage Parameter for Ballast Particles Based on Genetic Algorithm-Back Propagation Neural Network Model
WANG Xuejun, YANG Hanxiong
2025, 60(6): 1593-1602. doi:10.3969/j.issn.0258-2724.20240069
Abstract:

To optimize the deterioration assessment and maintenance of ballasted tracks, it is of great value to study the breakage process and mechanism of ballast particles. Through a uniaxial breakage test on the single ballast particle, the equivalent stress required for its failure was determined. The deformation behavior under load was analyzed based on the ballast particle breakage process and loading force. Laser grating scanning of the ballast particle geometry was performed, and a minimum bounding rectangle method was used for specification. Rigid blocks were used for ballast particle packing, and a comparison was made with the traditional spherical particle packing method. The breakage process of ballast particles constructed with rigid blocks and the initiation of microcracks within the ballast particles were analyzed. In addition, the discrete element contact parameters for ballast particles with different geometries were studied, and a neural network model optimized by a genetic algorithm, namely GA-BP was used to predict the bond strength for ballast particles with different equivalent particle sizes. The results show that in the discrete element model, the bond strength of the ballast particles increases with the increase in its equivalent particle sizes. Specifically, for equivalent particle sizes in the ranges of 25–39, 39–48, 48–56, 56–64, and 64–80 mm, the corresponding average bond strengths are 151.85, 159.45, 166.71, 175.29, and 185.29 MPa, respectively.

Rapid Detection Method for Rail Corrugation in Metro Lines Based on Data Fusion of Train-Borne Vibration and Noise
GAO Tianci, JIANG Lepeng, CONG Jianli, WANG Yuan, LIU Xiaozhou, ZHU Jiasong, LUO Qin, WANG Ping
2025, 60(6): 1603-1610. doi:10.3969/j.issn.0258-2724.20240121
Abstract:

The rapid identification and accurate localization of rail corrugation in metro lines are of significant importance for the maintenance departments of metros to formulate reasonable maintenance plans, thereby saving considerable efforts in metro operational works. In this study, low-cost, portable, and vehicle-mounted sensing terminals were utilized to detect the vibration and noise of metro trains across the entire line. Given the difficulty in obtaining stable GPS signals in underground environments, a multi-source data fusion method based on the secondary integration of longitudinal acceleration, the yaw rate of the vehicle body, and the matching with the line’s planar curvature was adopted to achieve precise mileage localization of the detected vibration and noise data. Building upon this foundation and in conjunction with on-site corrugation detection results, a vibrational-noise feature of the wave depth index for identifying rail corrugation was proposed. Furthermore, by utilizing quantile regression, a correlation between the wave depth index and corrugation depth was established. The findings indicate that the corrugation identification and localization results based on the wave depth index are consistent with on-site observations, with the primary wavelength of corrugation concentrated around 40 mm. Additionally, as the wave depth index increases, the corrugation depth exhibits a “fan-shaped” growth pattern, consistent with the characteristics of quantile regression, enabling the estimation of corrugation noise management thresholds at different quantile levels.

Multi-Skilled Multi-Manned Assembly Line Rebalancing Problem Based on Two-Stage Algorithm
LUO Yabo, ZHOU Xiangyu, ZHANG Feng, LI Cunrong
2025, 60(6): 1611-1622. doi:10.3969/j.issn.0258-2724.20240002
Abstract:

To improve the production efficiency and flexibility of assembly lines, based on the consideration of multi-manned stations and variations in worker proficiency, an analysis and design of the rebalancing problem for multi-skilled multi-manned assembly lines and corresponding solution algorithms have been conducted. Firstly, the concepts of worker proficiency and comprehensive influence coefficient are proposed to quantify the differences among workers and the effects of multi-manned stations, and a multi-objective optimization model is established accordingly. Secondly, the ε-constraint method and a two-stage algorithm combining greedy heuristic and neighborhood search are proposed to solve problems of different scales. Finally, ablation study and algorithm comparison experiments are designed for validation. The research results show that in the testing of small-scale problems, the solutions of the model only differ by 0.3% in one data point, demonstrating the accuracy of the model. In the ablation study, abandoning any algorithm strategy leads to worse results, indicating the effectiveness of each strategy. Furthermore, in the comparison of large-scale problems, the proposed algorithm exhibits significant advantages over the classical multi-objective optimization algorithms NSGA-Ⅱ and MOEA/D in most cases, thus proving the superiority of the proposed algorithm in solving this problem.

Periodic Motion Transition and Driving Characteristics of Collision and Stick-Slip Vibration-Driven System
DING Wangcai, LIU Tao, WU Shaopei, LI Deyang, YOU Taiwen, LI Guofang
2025, 60(6): 1623-1634. doi:10.3969/j.issn.0258-2724.20230379
Abstract:

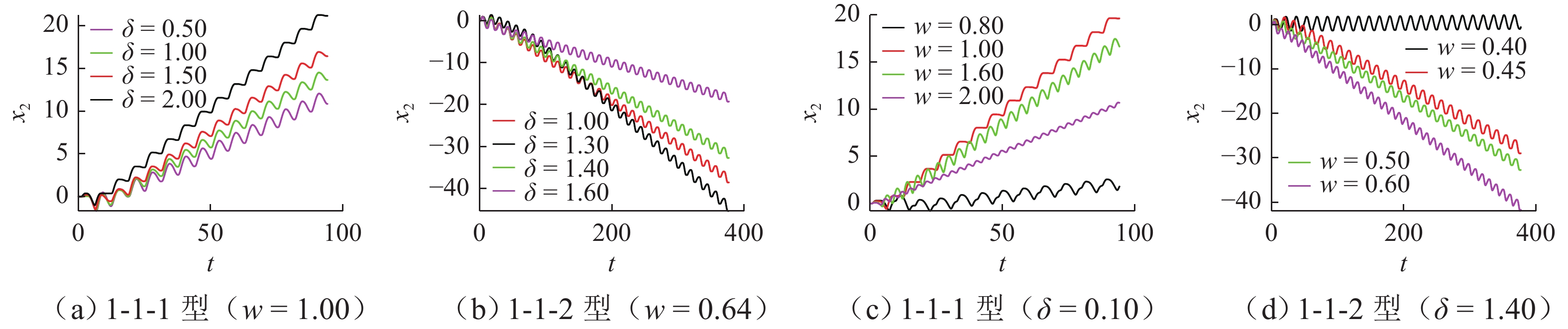
To study the dynamic evolution laws and driving performance of collision vibration-driven systems, firstly, Considering the discontinuous resistance of the external environment and the internal non-smooth collision were considered, and a type of mobile system driven by collision and stick-slip vibration-driven system is was established. The evolution law of system dynamics and driving performance are two key issues in the study of vibration-driven system. This article first considers external environmental discontinuous forces and internal non-smooth collisions, and establishes a type of collision and stick-slip vibration-driven system. Secondly, based on the flow conversion theory and mapping dynamics theory of discontinuous dynamical systems, the mapping relationship between discontinuous boundaries and subregions in the phase space of the system is was characterized, and the segmented analysis method is was used to depict the motion trajectory of the system's system’s phase space operation. The segmented analysis method is used to describe the trajectory of the system in the phase space. Study the mechanism of periodic motion distribution transition and average velocity distribution in the parameter domain were studied through numerical collaborative simulation. Research has shown that in the two-parameter plane of excitation frequency w and gap δ, the maximum average driving velocityspeed of the system in the forward and reverse directions is concentrated in the main resonance region, exhibiting a period of 1-1-1 (or 1-1-2) motion type. By combining the correlation between the driving direction and velocityspeed of the system within the parameter domain and the system parameters, widely velocityspeed driving can be achieved by adjusting the system parameters and external excitation frequency. There are two types of sequence edge scraping bifurcations in the low-frequency small gap region. One is that in the low-frequency region, as the excitation frequency decreases, the right edge scraping bifurcation induces an increase in the number of collisions in the system. Another method is to derive sequence phase trajectories around equilibrium points in the collision subspace in the ultra-low frequency region. During the generalization process, there is a left edge scraping bifurcation, and the system exhibits a phenomenon of cluster oscillation.

Baidu
map