• ISSN 0258-2724
  • CN 51-1277/U
  • EI Compendex
  • Scopus 收录
  • 全国中文核心期刊
  • 中国科技论文统计源期刊
  • 中国科学引文数据库来源期刊

2023年 第58卷 第5期

显示方式:
极端天气下桥塔温致效应及抗裂性能优化
李永乐, 黄旭, 朱金, 张明金
2023, 58(5): 975-984, 1036. doi:10.3969/j.issn.0258-2724.20210680
摘要:

为深入研究我国西部横断山脉地区极端天气下桥塔的温致效应,以某大跨悬索桥为工程背景,分析极端天气下该桥混凝土桥塔的温度场以及温度应力分布特征,并提出相应的抗裂优化措施. 首先,基于桥址区实测数据,提出桥址区极端天气的识别与模拟方法;然后,采用ANSYS有限元软件分析了桥塔的温度分布以及温度应力分布特征;最后,针对桥塔外表面存在开裂风险的问题,提出了2种提高桥塔外表面抗裂性能的优化方案,包括桥塔外表面涂装有机涂料方案和外包超高性能混凝土UHPC (ultra high performance concrete)方案. 结果表明:在强降温天气下,桥塔表面拉应力极值为2.19 MPa,存在较大开裂风险;当采用抗裂优化措施后,两种优化方案均能有效降低混凝土桥塔表面的拉应力极值;对于桥塔外表面涂装有机涂料方案,白色有机涂料优化效果最佳;对于桥塔外包UHPC方案,当UHPC厚度为0.08 m时优化效果最佳. 通过对比2种抗裂优化方案的经济性和施工难易程度,推荐采用白色有机涂料优化方案.

硬壳层对管桩复合地基桩-土应力比的影响
陈永辉, 韩丹丹, 孔纲强, 陈龙, 陈庚
2023, 58(5): 985-992. doi:10.3969/j.issn.0258-2724.20210612
摘要:

为研究就地固化硬壳层对预应力管桩复合地基桩-土应力比的影响,以绍兴钱滨线泥浆池路段为背景,开展现场试验和数值模拟分析,研究路堤荷载作用下预应力管桩复合地基的受力和变形;从桩-土应力比的角度,着重探讨硬壳层对桩基复合地基承载性能的影响规律;分析路堤高度与桩帽净间距之比、桩帽宽度与桩帽净间距之比等设计参数对桩-土应力比发展的影响机制. 研究结果表明:硬壳层的存在能够有效提高桩基复合地基的承载特性;在本文试验条件下,就地固化硬壳层的预应力管桩复合地基最大水平位移发生在地表以下5~6 m处,区别于传统桩基复合地基的土体水平位移沿深度逐渐降低的规律;桩-土应力比在23~37,高于传统桩基复合地基.

隧道衬砌混凝土的热力耦合室内试验研究
王薇, 姚雪丹, 高贵强
2023, 58(5): 993-1000. doi:10.3969/j.issn.0258-2724.20210813
摘要:

为研究受火时间和粗骨料含量与隧道衬砌混凝土宏观损伤的关系,根据隧道衬砌实际受火特点,自主改良设计一套衬砌混凝土热力耦合试验装置,研究粗骨料含量为20%、30%和40%的混凝土试块在载荷比恒为28%且不同受火时间下的损伤规律. 研究结果表明:无火灾发生时,衬砌混凝土受较小荷载作用下,表面无劣化现象,质量无明显变化,残余抗压强度增加;热力耦合作用下,随着火灾时间增加,受火0.5 h后,试块表面有少许微裂纹形成,1.0 h后表面出现较宽的裂缝,细小裂缝分布较多且部分裂缝相互交叉,受火达到2.0 h,试块底面损伤严重,可以看出火灾的发展时间和程度对衬砌结构的损伤至关重要;随着混凝土粗骨料含量的降低,混凝土内部温度传导速度减慢,相同位置处的温度值变小,其表观损伤显著增加,20%粗骨料含量下质量损失率可达8.14%,而40%粗骨料含量混凝土质量损失率仅为4.10%,强度相同时,高含量粗骨料混凝土的抗火性能更优.

基于样本自动标注的隧道裂缝病害智能识别
王耀东, 朱力强, 余祖俊, 史红梅, 折昌美
2023, 58(5): 1001-1008, 1036. doi:10.3969/j.issn.0258-2724.20210092
摘要:

隧道表面裂缝的检测已经成为地铁运营人员的重要巡检任务之一. 为实现隧道裂缝病害的自动监测,提出一种结合病害特征提取和深度学习的隧道裂缝样本自动标注与识别算法;针对隧道裂缝形态特征建立裂缝图像的特征样本库,改进了AlexNet深度卷积网络结构;设计研制了轨道移动式隧道图像采集系统以及巡检车,采集并构建了包含4500张裂缝图像样本和1500张测试图像的数据集,用以验证算法的可行性和有效性. 研究结果表明:采集的图像清晰度符合要求,所设计算法可完成裂缝目标自动标注;裂缝图像测试集的识别率达到97.8%,证明了算法研究和采集系统的有效性.

考虑整体效应的盒状压型钢板受弯性能试验研究
李永振, 曾晗, 刘豪, 潘毅
2023, 58(5): 1009-1016. doi:10.3969/j.issn.0258-2724.20210670
摘要:

为研究外层钢板及衬檩对盒状压型钢板受弯性能的影响,考虑风压和风吸两种荷载,对8个双层压型钢板的组合试件和2个盒状压型钢板的标准试件进行了受弯加载试验,分析了外层钢板刚度、衬檩高度对盒状压型钢板的受弯承载力、受弯刚度的影响. 试验结果表明:1) 当衬檩高度为100 mm时,外层钢板为Ⅰ型和Ⅱ型的组合试件相对于标准试件,在风压荷载下的受弯承载力分别提高27.6%和111.3%,受弯刚度提高17.3%和56.7%;在风吸荷载下的受弯承载力分别提高32.1%和77.6%,受弯刚度提高29.4%和48.1%. 2) 当外层钢板为Ⅱ型时,衬檩高度为200 mm和100 mm的组合试件相对于标准试件,在风压荷载下的受弯承载力分别提高66.9%和111.3%,受弯刚度提高39.9%和56.7%;在风吸荷载下的受弯承载力分别提高59.1%和77.6%,受弯刚度提高33.5%和48.1%. 3) 考虑外层钢板及衬檩的整体效应可提高盒状压型钢板的受弯承载力和受弯刚度,且外层钢板的刚度越大,衬檩高度越低,提高幅度越明显. 4) 提出的考虑整体效应的盒状压型钢板受弯计算式其计算结果与试验结果吻合良好.

哑铃型桥梁结构畸形波浪力水槽试验及简化算法
康啊真, 顾宇航, 张东明, 金可, 祝兵, 杨兵
2023, 58(5): 1017-1025. doi:10.3969/j.issn.0258-2724.20210380
摘要:

为研究畸形波浪参数对新型哑铃型桥梁结构波浪力的影响,开展一系列波流水槽模型试验. 首先,分析谱峰频率、频率范围及聚焦位置对哑铃型桥梁结构周围的波面时程图及波峰的影响;其次,阐明上述波浪参数对结构畸形波浪力时程图及波浪力峰值的影响规律;最后,基于经典绕射理论,提出适用于新型哑铃型桥梁结构畸形波浪力谱的简化计算方法. 研究结果表明:谱峰频率、聚焦位置及频率范围对结构周围的波面位移影响均较小,差异均小于3%. 谱峰频率和聚焦位置对哑铃型桥梁结构畸形波浪力有较大影响,当谱峰频率从0.6 Hz增加到1.1 Hz时,顺波向波浪力呈先增后减的变化趋势,变化幅度最高达11.0%,垂向浮托力则下降了57.0%;当频率范围从0.5 Hz增加到0.8 Hz时,顺波向波浪力下降了2.1%,垂向浮托力增大了5.9%;当聚焦位置从结构物的迎浪侧移动到背浪侧时,引起的结构顺波向波浪力变化幅度小于5%,垂向浮托力变化幅度小于3%. 经过试验数据和理论分析结果的对比表明,基于绕射理论提出的简化算法可有效计算畸形波作用下哑铃型桥梁结构的波浪力谱模型.

气爆过程中折板型竖井水力特性试验研究
杨乾, 杨庆华, 陈峰, 牛丙坤
2023, 58(5): 1026-1036. doi:10.3969/j.issn.0258-2724.20220163
摘要:

为研究水深、进气压、进气量和干/湿区连通面积等参数与气爆产生机制之间的响应关系,首先,构建了1∶50水力模型试验系统,观测气爆喷射过程并分析竖井内压强变化规律;其次,通过气爆定义建立了竖井最大喷射高度预测模型及产生气爆临界条件;最后,对比分析了多种变量对竖井底部不同折板冲击荷载的影响. 结果表明:气爆过程中折板型竖井内压强剧烈波动,一方面是由于高压气团的释放所导致,另一方面是因高速运动的水气混合物使得竖井内局部气压不平衡所形成;采用多元线性回归模型建立的经验公式可有效预测折板型竖井气爆最大喷射高度;结合不同变量与气爆强度之间响应关系提出的临界条件能够准确判断气爆是否发生;产生气爆时竖井底部折板的水冲击荷载除了与进气压、折板淹没状态、测点位置等因素有关以外,还与水气混合物喷射在折板底部时的随机性有关,气爆过程中折板下方最大水冲击荷载大于10倍正常泄流状态下折板表面的水动力荷载.

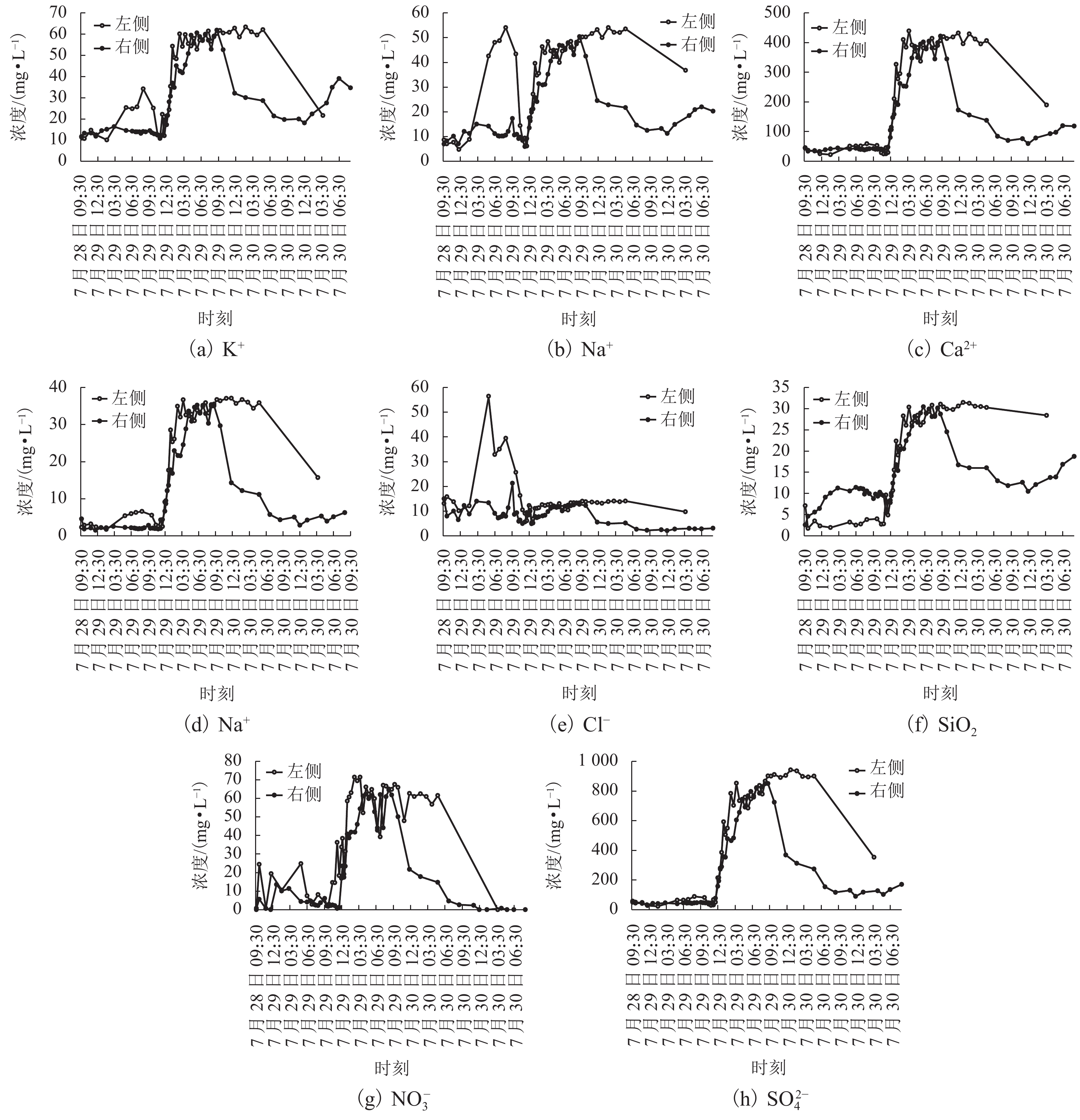
乐山大佛胸部渗水病害特征研究
孙博, 张虎元, 张鹏, 申喜旺, 杨天宇
2023, 58(5): 1037-1044. doi:10.3969/j.issn.0258-2724.20210194
摘要:

为给乐山大佛渗水病害治理及后期保护研究提供科学依据,本研究首次对乐山大佛渗水及大气降水进行定量监测采样,分析大佛渗水来源及其特征,并结合水化学性质和岩石组成对“大佛砂岩”风化机理进行了研究. 研究表明:乐山大佛胸部渗水在平水期与枯水期主要补给来源为地下水,丰水期主要补给来源为大气降水;大佛胸部渗水含有大量溶解质组分,pH平均值为7.70,2009年之后乐山市降水年平均pH>5.60且逐年增高,至2015年全年降水pH平均值大于7.00,降水已由酸性转为碱性;大佛胸部渗水水化学类型为碳酸盐类-钙组-Ⅱ型与硫酸盐类-钙组-Ⅲ型,阳离子以Ca2 +为主,阴离子以SO42−与HCO3为主;大佛胸部岩石主要成分为CaCO3和SiO2,在空气和水存在的情况下容易发生溶蚀,岩石风化对大佛渗水中离子贡献超过90%,H2CO3与H2SO4共同参与了“大佛砂岩”的风化.

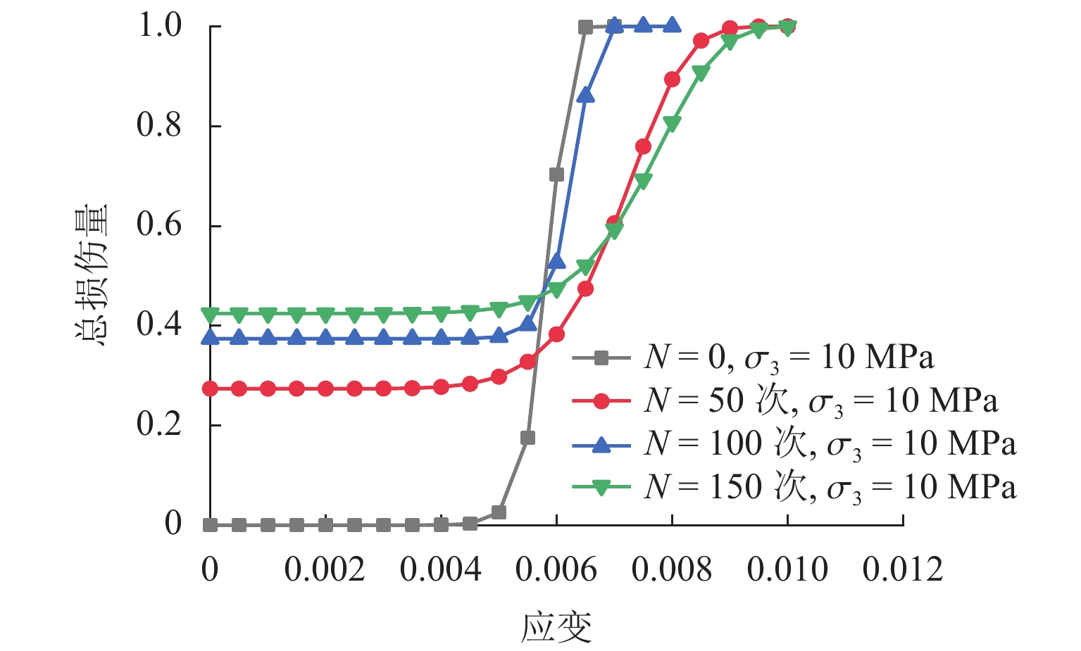
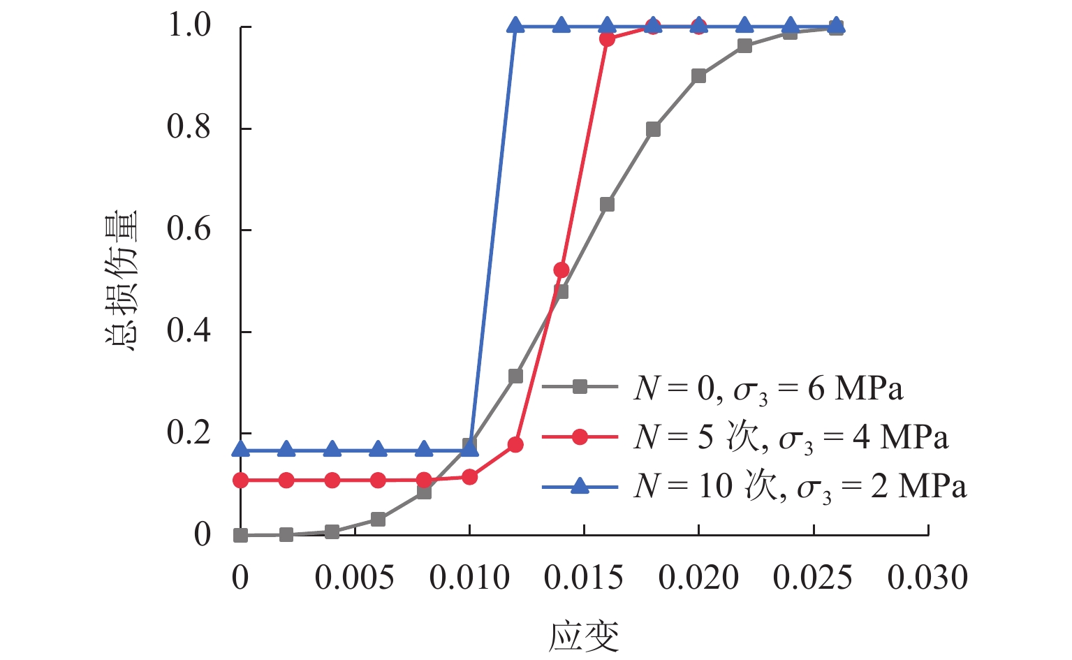
基于最大拉应变准则的冻融岩石损伤模型研究
候超, 靳晓光, 何杰, 张驰
2023, 58(5): 1045-1055. doi:10.3969/j.issn.0258-2724.20210493
摘要:

为反映寒区遭受冻融的岩石在外力作用下的应力-应变全过程,基于统计损伤力学理论,假设岩石微元体强度服从Weibull分布,结合最大拉应变破坏准则,建立了考虑冻融和荷载耦合作用的寒区冻融岩石损伤模型;推导了模型参数的理论解,利用已有的试验结果和已有损伤本构对模型进行了验证,探讨了不同冻融次数下岩石的总损伤曲线演化规律,并对模型参数进行了分析;采用数值模拟方法计算了冻融循环对隧道工程稳定性的影响. 结果表明:本文所建立的模型可较好地重现岩石的应力-应变全过程,并能反映岩石的峰后强度;不同冻融次数下岩石的总损伤演变曲线呈“S”形,总损伤演变曲线可分为3个阶段,即初始损伤阶段、加速阶段和完全损伤阶段;Weibull分布参数$ m $和$ {f}_{0} $分别代表岩石的脆性特征和塑性特征;随着冻融次数的增加,隧道围岩的垂直位移、最大主应力及衬砌最大主应力均逐渐增加,但隧道围岩的应力增幅较小,经历10次冻融循环后,隧道拱顶的围岩下沉量和底部的围岩隆起量分别增加17.87%和19.24%,隧道围岩最大拉应力和压应力极值分别增加了2.70%和2.01%,隧道衬砌最大拉应力和压应力极值分别增加了21.52%和17.87%.

考虑梁弯扭耦合对钢轨横向振动特性的影响
豆银玲, 韦凯, 曹勇, 王绍华, 亓伟, 王平
2023, 58(5): 1056-1063. doi:10.3969/j.issn.0258-2724.20210774
摘要:

为准确预测弹性波在钢轨中的传播,且探究考虑Timoshenko梁弯扭耦合的必要性,基于波谱‒辛混合法建立了考虑梁弯扭耦合的钢轨-扣件空间无限长模型. 在模型验证的基础上,分析考虑Timoshenko梁弯扭耦合对钢轨横向固有频率与速度导纳的影响,进一步从理论和试验方面分析了扣件胶垫垂向预压特性对钢轨横向弯曲振动特性的影响. 研究结果表明:考虑梁弯扭耦合使得钢轨横向弯曲共振频率增大了约29.6 Hz,且在钢轨横向弯曲振动中同时出现弯曲和扭转pinned-pinned模态;扣件胶垫垂向预压特性主要影响钢轨横向中低频振动,随着预压的增大,钢轨横向弯曲共振频率增大;当预压从30 kN增加到50 kN时,实测的横向弯曲共振频率增加了13.7 Hz,考虑和不考虑梁弯扭耦合时其分别增加了12.5 Hz和21.7 Hz;不同预压下考虑梁弯扭耦合的钢轨横向弯曲共振频率变化规律与实测的结果更为接近.

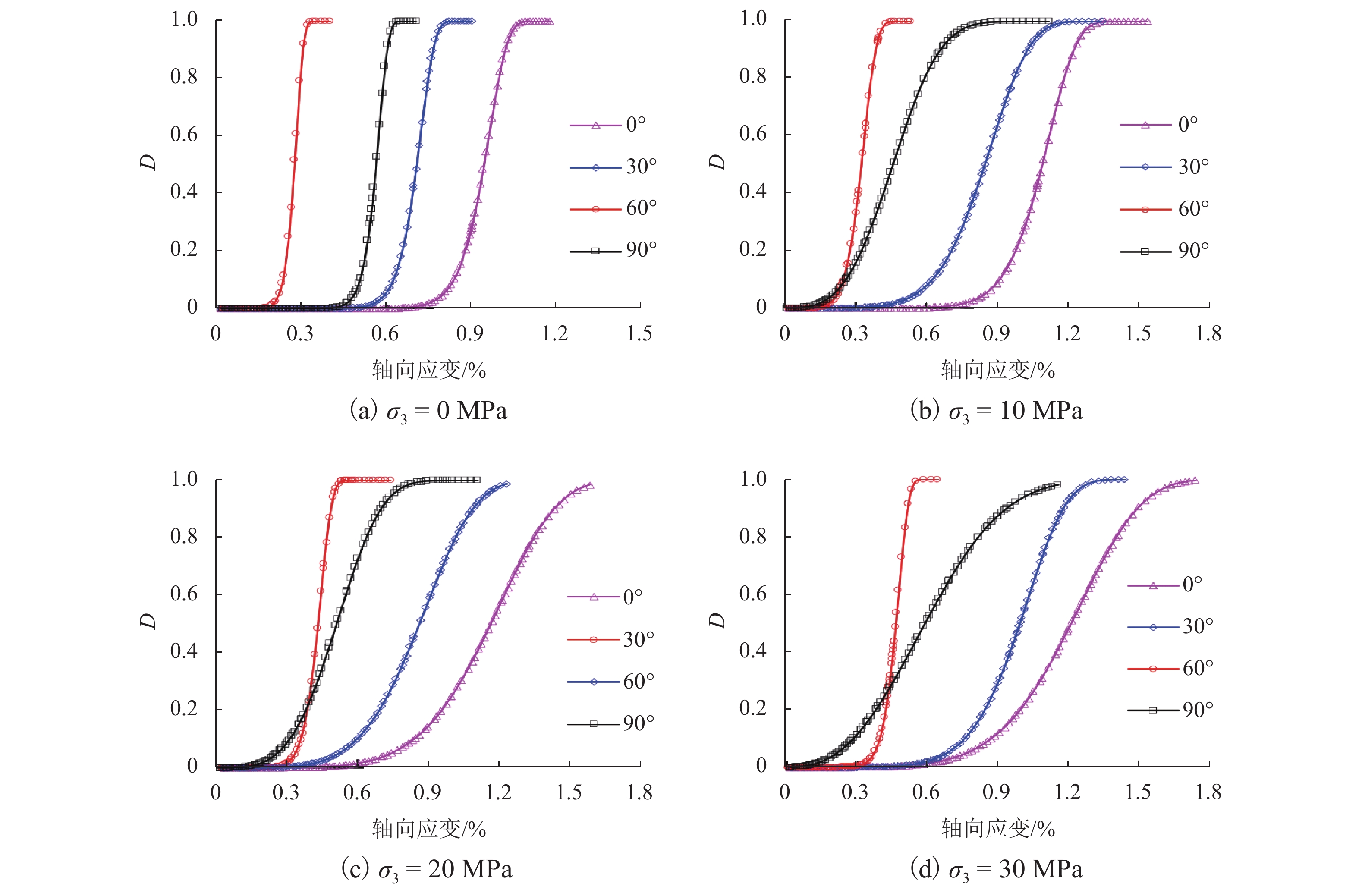
考虑残余强度的层状岩体损伤演化规律
寇昊, 何川, 陈子全, 周子寒, 蒙伟, 肖龙鸽
2023, 58(5): 1064-1072. doi:10.3969/j.issn.0258-2724.20211083
摘要:

为更加真实准确地描述层状岩体的损伤演化过程,结合横观各向同性材料的弹性理论和损伤力学理论,采用修正的Lemaitre应变等价假设,建立了考虑残余强度的层状岩体损伤本构模型,通过页岩、千枚岩和板岩的三轴试验数据验证了模型的准确性,并分析了不同层理角度岩体的全过程损伤演化规律. 研究表明:模型既可以描述层状岩体的弹性变形,又可以较好地反映峰后应变软化过程;在初期加载过程中岩体的损伤值基本为0,随着应力增加,损伤值呈现出缓慢增长、加速增长、减速增长以及达到残余强度后稳定于1;页岩层理角度为60° 时损伤演化曲线最陡,损伤发展速度最快,最先破坏,千枚岩层厚较薄,强度更低,层理角度为90° 时最先破坏,而板岩相对较厚,强度更高,层理角度为45° 时最先破坏;岩体层理弱面的存在,导致了力学性能和破坏模式的各向异性,损伤演化规律也表现出明显的差异性.

盾构千斤顶不良顶推作用下地铁管片衬砌开裂特性
张伟列, 晏启祥, 张川, 杨凯, 贾丁
2023, 58(5): 1073-1082. doi:10.3969/j.issn.0258-2724.20220235
摘要:

为指导地铁区间隧道施工盾构掘进控制和管片衬砌防裂设计,建立考虑接头-管片的盾构隧道装配式衬砌结构数值模型,基于混凝土弥散开裂本构模型,研究直线段管片衬砌在千斤顶轴向倾斜以及千斤顶端面侧移两种不良顶推作用下管片衬砌的开裂特性. 研究结果表明:在上述2种不良顶推力下,顶推导致的管片衬砌裂缝主要分为封顶块螺栓孔裂缝、手孔纵向裂缝和管片环面纵向裂缝3类;当千斤顶出现轴向倾斜致裂时,拱顶封顶块环向螺栓孔处的裂缝宽度最大,且当轴向倾斜角度达到3° 时,3类裂缝宽度均已超过施工的允许值;当千斤顶端面侧移致裂时,衬砌环面及封顶块环向螺栓孔位置处的宽度最大,其中端面整体向下侧移是最为不利的情况;管片衬砌开裂将导致裂缝位置处钢筋应力增大,相同开裂位置处的钢筋应力-裂缝宽度关系基本不受顶推力倾斜角度变化的影响,裂缝的宽度与钢筋的应力呈正相关关系. 盾构施工时,应严格控制盾构掘进不良顶推作用,对容易产生裂缝的位置建议加强配筋以控制裂缝的发生.

高性能混凝土在氯盐侵蚀和冻融循环作用下的耐久性分析
冯博, 刘青, 钱永久
2023, 58(5): 1083-1089. doi:10.3969/j.issn.0258-2724.20220035
摘要:

为研究海洋环境下高性能混凝土桥梁的耐久性,基于混凝土室内快速冻融试验,对高性能混凝土进行氯盐侵蚀与冻融循环耦合作用下的耐久性试验,分析混凝土在不同水胶比、粉煤灰掺量和含气量时的质量损失率和相对动弹性模量;并根据试验分析结果建立氯盐侵蚀与冻融循环耦合作用下的高性能混凝土质量预测衰减模型. 结果表明:水胶比对高性能混凝土的抗盐冻性能影响显著,混凝土抗盐冻性能随着水胶比增大而降低,建议水胶比不宜大于0.45;粉煤灰的加入会降低混凝土的抗盐冻性能,掺量较高时其抗盐冻性能难以达到满足要求,粉煤灰掺量不宜高于30%;随着含气量增加,混凝土抗盐冻性能呈现先提升后降低的变化规律,建议有考虑抗盐冻要求的混凝土其含气量在4.5%~5.5%内选取.

融入公交车与自动驾驶车队的异质交通流模型
梁军, 耿浩然, 陈龙, 于滨, 鲁光泉
2023, 58(5): 1090-1099. doi:10.3969/j.issn.0258-2724.20220313
摘要:

为研究网联自动驾驶车(connected autonomous vehicle, CAV)和人工驾驶车(human-pilot vehicle, HPV)所组成的异质交通流特性及公交车驾驶行为对环境的影响,首先,分析异质交通流中的4种跟驰模式:人工驾驶小汽车跟驰、人工驾驶公交车跟驰、自适应巡航控制(adaptive cruise control, ACC)跟驰和协同自适应巡航控制(cooperative adaptive cruise control, CACC)跟驰;接着,基于各跟驰模型的特点,构建车辆跟驰和换道的元胞自动机模型,综合考虑CAV车队特性、驾驶员与CAV各自反应时间特性以及HPV加塞特性,并利用跟驰模式判断参数融合不同跟驰模式特性,实现统一的模型表达;最后,仿真分析不同CAV渗透率下CAV排队强度及公交车换道行为对交通流的影响. 结果表明:在一定的CAV渗透率下,促使CAV形成队列比单纯提高CAV渗透率更能有效提升道路通行效率;适量的公交换道有助于充分利用道路通行能力,过多的公交换道则会妨碍正常交通,公交换道对交通流造成的通行效率衰减随CAV渗透率的增大而减小;同步流状态下,人工驾驶小汽车执行率与道路通行效率呈负相关关系;而在堵塞流状态下,人工驾驶小汽车执行率对通行效率影响甚微.

考虑行人摔倒和受伤的斜坡相向流社会力模型
户佐安, 魏易东, 曾添, 马毅
2023, 58(5): 1100-1109. doi:10.3969/j.issn.0258-2724.20220296
摘要:

行人在斜坡上运动时,其受力情况、运动速度及心理状态均与在平地运动时不同,难以应用现有社会力模型进行有效仿真. 为此,考虑斜坡上行人的运动特征,提出一个改进的社会力模型,此模型基于过往实证数据对行人在斜坡上的期望速度进行了校准,并提出了推搡行为下行人摔倒的概率计算方法,同时,结合行人体重、运动加速度、承受压力及等待时间等实时状态实现了对行人摔倒、受伤及不耐烦心理的模拟. 斜坡相向行人流场景仿真结果表明:坡度、行人初始密度的升高会延长人群运动时间,使人均意外发生率上升最高至38.0%;不耐烦心理有助于车道效应的形成,但会降低人群运动效率;行人流基本图中,高坡度下流量-密度关系趋势不如平地明显,各坡度行人平均速度比较接近.

考虑碳排放的两阶段选址-路径问题及其算法
汤希峰, 何杰, 张浩
2023, 58(5): 1110-1116, 1125. doi:10.3969/j.issn.0258-2724.20210773
摘要:

为减少物流车辆的碳排放,基于以排放因子为主要参数的碳排放计算方法,建立以碳排放最小化为目标的两阶段选址-路线问题(2E-LRP)模型,并设计了一种可用于快速求解大规模问题的两阶段混合算法 (TSHA). 算法第一阶段将2E-LRP转化成不考虑车辆路径的两阶段设施选址问题,调用Cplex直接求解得到配送中心选址和客户分配方案;在此基础上,算法第二阶段中,物流园区到被选用的配送中心以及配送中心到所分配客户的车辆路径问题被进一步转化成若干个独立的VRP (vehicle routing problem)问题,再运用改进的蚁群算法进行求解;最后,对Prodhon标准算例集中全部6个最大规模的算例进行测试. 研究结果表明:与TSHA具有相同算法思想的TSHA-Ⅱ算法能够在求解质量下降2.3%的情况下将计算时长大大缩短至25 s左右;TSHA算法在求解考虑碳排放的2E-LRP算例时表现非常稳定,可以作为一种求解考虑碳排放2E-LRP的有效算法.

基于时空路径推算的城轨网络客流分配方法
茧敏, 王卓, 陈哲轩, 赵留杰, 陈钱飞, 陈绍宽
2023, 58(5): 1117-1125. doi:10.3969/j.issn.0258-2724.20220545
摘要:

针对城市轨道交通客流分布推算问题,根据自动客票采集系统(AFC)数据和列车时刻表数据,提出基于乘客出行时空路径推算的网络客流分配方法. 首先,利用前述两类数据估算乘客出行时间参数;其次,使用基于插点法的可行路径搜索算法得到全网各OD (origin–destination)对的可行路径集合;再次,基于乘客进出站刷卡信息、列车时刻表数据及匹配的可行路径集合,构建乘客有效出行路径集和列车集的推算模型,获得有效出行结果集;进一步,结合所得有效结果集合与列车载客量限制,并根据列车时刻表完成列车运行推演,确定唯一的有效出行路径和所乘列车;最后,设计开发基于C# 语言的城市轨道交通网络客流推算系统,对某城市轨道交通工作日客流数据进行案例研究. 结果表明:客流推算系统所得的断面客流推算值与运营参照值的平均差异上、下行分别为2.03%、3.90%;列车满载率变化趋势符合线路路由特点;早晚高峰时段换乘站的换乘客流来源站点固定,但早高峰来源量比例较晚高峰稳定.

T2T和T2G混合网络中的功率分配算法
高云波, 程璇, 李翠然, 田智愚, 王国荣
2023, 58(5): 1126-1134, 1179. doi:10.3969/j.issn.0258-2724.20210992
摘要:

现有功率分配算法大多基于理想信道状态信息(CSI)实现性能优化,在列车对列车(T2T)双移动端通信场景中并不适用. 针对城市轨道交通系统T2T和车地(T2G)混合网络场景,引入CSI反馈延时,研究非理想状态时仍可保障通信质量的功率分配算法. 考虑单蜂窝用户复用单T2T用户对情况,以T2G用户传输速率总和最大化为优化目标,构建多约束条件下的功率分配模型. 首先,根据分步思想将非凸模型简化为最优分配功率计算和最佳复用用户匹配2个子模型;其次,利用线性规划分析可行域内目标函数的最优解及最优值,并通过二分法求解最优分配功率;最后,筛选出可行复用对集合后,利用匈牙利算法进行二分图匹配. 仿真结果表明:该算法兼顾城市轨道交通系统中T2T通信中断概率约束和T2G用户传输速率,且可实现1.0 ms内的CSI反馈延时.

新型电缆贯通供电系统的保护方案
张丽艳, 罗博, 郑兴, 刘逾霄, 王杰
2023, 58(5): 1135-1144. doi:10.3969/j.issn.0258-2724.20220510
摘要:

为解决新型电缆贯通供电系统的接触网和牵引电缆使用现有分段保护方案会误动作的问题,研究负荷电流对接触网电流纵差保护的作用机理,提出接触网采用故障分量电流纵差保护方案;并利用相量法分析空载情况下电容电流对牵引电缆现有保护方案的影响,通过在每个分段回路牵引电缆的首、末两端空载时并联电抗器,及负载时切除电抗器,实现电流纵差的保护. 研究结果表明:接触网中的负荷电流由两侧牵引变压器一起供给是引起接触网电流纵差保护误动作的原因,而提出的采用故障分量电流构成的接触网短路保护不受双边供电下正常负荷电流的影响;空载情况下,电容电流会使牵引电缆末端电流较首端电流的幅值和相角发生变化,导致保护误动作,提出的牵引电缆首末两端并联电抗器的方法可以解决这个问题.

含双向变流装置的城轨牵引供电系统协同供电潮流计算
刘炜, 曾佳欣, 马庆安, 张戬, 熊蓬, 戚贺
2023, 58(5): 1145-1153. doi:10.3969/j.issn.0258-2724.20220494
摘要:

双向变流装置可以有效抑制牵引变电所直流侧网压的波动, 减小跨区间传输的电流,限制钢轨电位. 鉴于电双向变流装置与整流机组的协同控制策略会对城轨牵引供电系统潮流产生直接影响,提出双向变流装置与24 脉波整流机组协同供电的方案,分析该方案下牵引变电所的综合输出外特性;建立计及换流装置精确有功损耗的牵引变电所供电计算模型,并提出考虑滞环比较的多状态切换控制策略,实现含双向变流装置的城轨牵引供电系统协同供电潮流计算;通过与Simulink仿真结果对比,验证算法的有效性及准确性. 以某地铁工程为例进行仿真,仿真结果表明:协同供电方案下,牵引网网压上升,全线上、下行钢轨电位最大值分别降低12.6%~15.6%、14.7%~17.5%,直流牵引供电系统损耗、系统综合成本最多可分别降低9.7%、1.17%;随着双向变流装置整流启动电压增大,部分牵引变电所的整流/逆变功率增大,直流牵引供电系统损耗先升高后降低,但钢轨电位变化不大. 在实际工程中,双向变流装置的逆变启动电压一定时,适当提高其整流启动电压可以获得更佳的节能效果.

兰新高铁大风区低风压正馈线受力特性
赵珊鹏, 张永丰, 张友鹏, 王思华
2023, 58(5): 1154-1161. doi:10.3969/j.issn.0258-2724.20220437
摘要:

为抑制兰新高铁大风区正馈线舞动,保证列车安全运行, 首先,设计新型低风压正馈线,仿真获取常规正馈线和低风压正馈线在不同风载荷下的气动力参数和舞动幅值,并进行对比分析;其次,对防舞效果较佳的3种低风压正馈线建立三维有限元模型,并施加拉伸载荷,模拟正馈线舞动时的受力情况;最后,分析低风压正馈线形变及应力变化. 结果表明:低风压正馈线自由端形变量远大于固定端,铝股线形变量大于钢股线,且越往外层,股线形变量越大;在绞线制造时可以考虑将钢层和铝层交替绞合,以平衡绞线的导电性和刚性. 在股线相互接触的位置出现了应力集中,应力集中位置与股线绞合方向相同;在绞线制造时,可以考虑在股线表面覆缓冲层,以减缓正馈线舞动时股线之间的振荡冲击,并延长正馈线的使用寿命;低风压正馈线模型的凹槽小圆弧半径与常规正馈线半径的比值越大,最外层铝股线的形变越大,正馈线舞动时越容易断股;在低风压正馈线选型时应该综合考虑,平衡防舞有效性与使用寿命.

基于高阶Lamb波模态频谱差异系数的腐蚀检测
陈飞宇, 卢丙举, 曹徐伟, 曾亮
2023, 58(5): 1162-1170. doi:10.3969/j.issn.0258-2724.20210864
摘要:

针对工业设备中大型薄壁结构件的腐蚀检测问题,提出一种基于频谱相干性分析的高阶Lamb波腐蚀损伤检测方法. 首先,利用略高于截止频率的A1模态Lamb波对含腐蚀薄壁结构的不同位置进行激励,并采集各传播路径上的响应信号;随后,采用频散补偿技术消除信号中的频散效果,通过合适的窗函数对信号中的A1模态直达波包进行分离提取,建立其与激励信号的频谱差异系数 (frequency spectrum difference coefficient, FSDC),通过有限元仿真研究该指标对不同宽度、深度腐蚀损伤的敏感性;最后,在含腐蚀铝板上进行实验验证,结合各路径FSDC指标与概率成像算法,对检测区域的腐蚀损伤进行定位与成像. 结果表明:FSDC值在健康状态下为0,而在不同宽度、深度的腐蚀影响下FSDC在0~1;相较于传统层析成像方法,所提出方法具有更好的检测灵敏度和抗干扰能力.

高速列车底部结构参数对气动噪声影响规律
陈羽, 柳壹明, 毛懋, 李启良, 王毅刚, 杨志刚
2023, 58(5): 1171-1179. doi:10.3969/j.issn.0258-2724.20220148
摘要:

为更好地开展高速列车气动降噪设计,建立了高速列车头车第一组转向架区域的6参数模型,采用计算气动声学和拉丁超立方抽样实验所设计的方法,得到了13个参数化模型的远场气动噪声、转向架舱内湍流脉动功率级和声功率级,并分析了底部结构参数对远场和近场气动噪声的影响规律. 结果表明:底部结构参数对远场噪声影响范围为75.4~78.9 dB(A),裙板高度、排障器厚度、转向架舱后缘倒角和舱长度与远场噪声为负相关,舱前缘倒角、排障器前缘夹角与远场噪声为正相关,底部结构参数的变化主要影响中心频带315~1250 Hz间的噪声能量;排障器厚度和前缘夹角与远场噪声、舱内湍流脉动功率、声功率均为负相关;裙板高度和远场噪声、舱内湍流脉动功率级为负相关,与舱内声功率为正相关.

轨道交通领域新能源再生技术研究现状与展望
吴小平, 张祖涛, 潘亚嘉, 漆令飞, 张庭生, 郝大宁
2023, 58(5): 1180-1193, 1202. doi:10.3969/j.issn.0258-2724.20210788
摘要:

近年来,铁路轨道沿线的智能监测设备建设、轨道交通领域的环境新能源再生等新兴技术受到了广泛关注. 新能源再生技术的基本原理是通过捕获环境清洁能源并将获得的能量转化为电能,为各类智能传感器、交通信号装置、监控设备等正常运行提供电能. 目前,轨道交通领域的各种新能源再生技术在国内外已有许多研究成果,包括风能采集、热能采集、太阳能采集、声能采集、制动能采集以及振动能采集. 其中,振动能采集是轨道交通领域受关注程度最高、研究最为深入的一种新能源再生技术,其主要能量采集形式包括电磁式、压电式、摩擦式以及液压式. 通过对研究内容及现状的总结和梳理,归纳了现有技术问题和工程应用挑战:包括稳定性、耐用性、经济性、能量大小、运动放大、可靠性方面. 随着技术的逐渐成熟,新能源再生技术的实际工程应用将促进轨道交通领域的智能化和可持续化发展.

面向城市轨道列车外观设计的地域文化因子影响
梁哲, 刘海男, 向泽锐, 支锦亦, 卜柳茹, 何天宇
2023, 58(5): 1194-1202. doi:10.3969/j.issn.0258-2724.20210548
摘要:

为提升地域文化在城市轨道列车外观设计中的视觉表征与呈现,提出一种面向城市轨道列车外观设计的地域文化因子优选方法. 首先,构建以文化造型因子、文化色彩因子和文化内涵因子为主要变量的地域文化因子影响评价体系,通过问卷调查获取重要度相关数据;然后,采用层次分析法构建地域文化因子评价层次结构模型,分析各类文化因子影响力权重;最后,结合研究发现提出了一款具有成都地域特色的地铁列车方案. 研究表明:列车外观造型应重点考虑历史遗存造型因子和自然生态造型因子;外饰设计应重点考虑自然色彩因子和历史遗存色彩因子;文化内涵方面应重点考虑自然生态文化因子和历史文化因子.

Baidu
map