• ISSN 0258-2724
  • CN 51-1277/U
  • EI Compendex
  • Scopus 收录
  • 全国中文核心期刊
  • 中国科技论文统计源期刊
  • 中国科学引文数据库来源期刊

2021年 第56卷 第1期

显示方式:
波形腹板钢箱-混凝土箱梁桥的有限元模型修正
冀伟, 邵天彦
2021, 56(1): 1-11. doi:10.3969/j.issn.0258-2724.20191198
摘要:
为了缩小波形钢腹钢箱-混凝土组合箱梁桥有限元值与实测值之间的偏差,提出了采用响应面法和Fmincon算法相结合的桥梁有限元模型修正方法. 以甘肃景中机场连接线的一座波形钢腹钢箱-混凝土组合箱梁桥为研究对象,首先对其进行静、动载试验,获得其弯曲振动频率、挠度及应变的实测值;其次分别采用实体和板壳模式的有限元建模获得该桥相应的弯曲振动频率、挠度及应变的计算值,通过与实测值对比分析后,选取较为精确的实体模式有限元模型作为修正的初始有限元模型;随后在合理选择设计参数的基础上,通过中心复合试验设计得到相应的结构响应,采用最小二乘法拟合得到结构响应和设计参数之间的二次多项式回归方程,并构造目标响应与相应响应实测值差值的目标函数;最后运用Fmincon算法对目标函数进行迭代计算,获得参数修正值及该桥的基准有限元模型. 研究结果表明:采用响应面法和Fmincon算法相结合的方法对波形钢腹钢箱-混凝土组合箱梁桥的有限元模型进行修正切实可行,具有修正过程简单、计算收敛速度快等特点,计算时间在0.25~0.75 s内,一阶弯曲振动频率相对误差由4.85%依据不同响应组合修正到1.62%~2.91%不等;通过对遗传算法和Fmincon算法的比较发现,Fmincon算法显著提高了模型修正效率,可为实际工程中该类桥梁的有限元建模分析及力学性能分析提供参考.
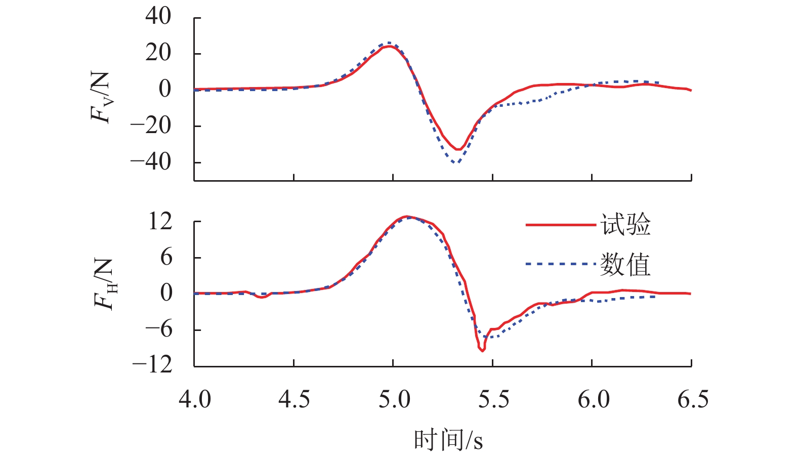
极端波浪作用下T梁与箱梁受力研究
杨志莹, 黄博, 段伦良, 张家玮, 祝兵
2021, 56(1): 12-19. doi:10.3969/j.issn.0258-2724.20181069
摘要:
近海桥梁常采用的箱形截面主梁与T形截面主梁由于几何构型差异较大,在极端波浪(海啸和飓风)作用下波浪力有较大差别. 分别以孤立波、椭圆余弦波模拟海啸和飓风波浪,基于RANS方程和SSTk-ω湍流模型建立二维数值模型,采用VOF (volume of fluid)法追踪自由液面,对数值水槽造波效果及波浪力计算结果进行验证;在此基础上,分析海啸和飓风作用下波高及淹没系数对T梁、箱梁受力的影响,并比较二者受力差别. 研究结果表明:海啸波作用下,箱梁受到的水平力峰值小于T梁,最大差值接近箱梁水平力峰值的32%,箱梁的竖向力峰值大于T梁,最大差值接近T梁竖向力峰值的13%; 飓风波作用下,箱梁的水平力峰值小于T梁,最大差值接近箱梁水平力峰值的31%,且箱梁的竖向力峰值小于T梁竖向力峰值;相比于飓风波,海啸对桥梁主梁的作用力更大,对桥梁安全性威胁更大.
衬砌纵向开裂隧道地震响应振动台的试验研究
李冰天, 仇文革, 戚幸鑫, 邓旨珩, 胡辉
2021, 56(1): 20-27, 55. doi:10.3969/j.issn.0258-2724.20190657
摘要:
为了研究高速铁路双线隧道衬砌纵向裂缝对结构抗震安全性的影响,针对《铁路隧道设计规范》(TB 10003—2016)IV级围岩开展大型振动台模型试验,试验采用改进的静动耦合剪切模型箱,考虑隧道埋深、衬砌开裂位置和开裂形式3个影响因素,分析隧道衬砌的地震动应变和结构内力响应规律. 试验结果表明:在地震剪切波作用下,浅埋隧道和深埋隧道衬砌结构的破坏形式分别为受拉破坏和受压破坏,破坏位置均首先出现在拱腰,对应的无裂缝衬砌破坏时振动台台面输入波峰值加速度分别为0.8g和0.9g;拱顶和边墙处裂缝对隧道衬砌结构抗震安全性影响较小,而拱腰处裂缝影响显著;浅埋和深埋条件下,拱腰处有裂缝的衬砌破坏时振动台台面输入波峰值加速度分别为0.5g和0.6g;纵向裂缝的开裂形式不同,衬砌破坏时对应的峰值加速度基本相同;在深埋条件下,相比于正截面裂缝,拱腰处斜截面裂缝导致衬砌结构破坏后变形速度加剧.
混凝土空心墩塑性铰区抗剪计算模型比较分析
邵长江, 漆启明, 韦旺, 胡晨旭
2021, 56(1): 28-36. doi:10.3969/j.issn.0258-2724.20190196
摘要:
准确评估空心墩塑性铰区的抗剪能力是高墩大跨桥梁抗震设计的重要内容. 目前国内外规范中并未明确给出空心墩的抗剪计算模型,规范中已有的实心墩抗剪公式能否直接应用、其它文献中实心墩或空心墩抗剪强度计算方法的适用性等均有待深入研究. 为此,基于25个发生剪切或弯剪破坏的空心墩试验数据,分析塑性铰区抗剪能力的影响因素,并将抗剪强度试验值与已有15个抗剪公式计算结果进行比较. 结果表明:混凝土空心墩抗剪能力随混凝土强度、配箍率和轴压比的增加而提高,一定范围内随位移延性系数和剪跨比的增加而降低,纵向配筋率的影响不显著;Aschheim、Caltrans、Sezen和Shin公式的计算值与试验结果误差不超过5%,其中Sezen模型计算效果最佳,可用于评估空心墩塑性铰区抗剪能力;NZS3101、JRA、JTG/TB 02-01—2008、Eurocode 8和ACI-318等规范公式计算结果略显保守,可作为空心墩抗剪设计的依据;其余公式过高估算了抗剪强度,不适于混凝土空心墩塑性铰区的抗剪设计.
圆拱结构平面外稳定分析方法
丁敏, 王佳佳, 蒋秀根, 曹琼琼, 王宏志
2021, 56(1): 37-46. doi:10.3969/j.issn.0258-2724.20191158
摘要:
为研究圆拱结构的平面外稳定问题,根据其与圆曲梁变形的相关性,首先考虑二阶弯矩效应建立了圆曲梁平衡方程,结合圆曲梁几何方程和物理方程,推导了考虑大位移的自由扭转圆曲梁的挠度控制方程和扭转角控制方程,分别给出了圆曲梁的挠度和扭转角的解析解一般格式及相应简化格式,同时获得了圆曲梁变形和内力表达式;在此基础上,提出了圆拱结构平面外分岔失稳和极值点失稳的分析方法;计算了4种圆拱结构的平面外分岔失稳临界荷载系数及失稳模态,并与文献模型作对比分析;根据4种圆拱结构的荷载-位移曲线进行了极值点失稳分析. 研究结果表明:采用本文模型计算的两端铰支圆拱平面外分岔失稳临界荷载系数与文献模型结果相差为0,而且可以得到工程中常用但鲜有人研究的跨中单铰拱及两端插支拱的平面外分岔失稳临界荷载;各类圆拱在面内均布径向荷载作用下的平面外分岔失稳模态均为单波对称;圆拱径向荷载的存在不改变圆拱面外荷载位移曲线的线性特征,却降低了面外抗弯刚度,当径向荷载达到某一值时,面外抗弯刚度为0,则发生面外失稳.
热压自然通风室内污染物浓度演变特性
庄加玮, 刁永发, 张俪安, 沈恒根
2021, 56(1): 47-55. doi:10.3969/j.issn.0258-2724.20190582
摘要:
为探究热压自然通风向稳态发展过程室内气态污染物的迁移规律,对不同高度处污染物浓度演化进行了分析. 首先结合预测热分层瞬时变化的非均匀三层模型,针对室内不同的下层污染物混合特性,建立了均匀混合和纯置换两种热压自然通风室内污染物输送模型;其次,采用4阶龙格-库塔(Runge-Kutta)方法迭代求解,得到了通风过程室内污染物层高与浓度演变特性;最后,分析了有效通风面积和浮力组合系数对污染物浓度变化的影响. 结果表明:垂直速度为0的界面与新鲜空气层界面是两个不同的分界面;有效通风面积越大,两者高度差的峰值越大,到达稳态所需时间越短;浮力组合系数越大,任意时刻两者高度差越大,且随有效通风面积的增大越发明显;下层污染物混合特性会影响污染物分层以及演变特性,但不改变稳定时刻污染物浓度分布,通风过程室内上层污染物浓度均要大于下层;纯置换模型下原有冷空气层污染物浓度随时间不断降低至定值,下层污染物浓度保持恒定,而上层污染物浓度在初始阶段急剧增大,后缓慢减低;均匀混合模型的上下层污染物浓度会缓慢衰减至定值;此外,增大有效通风面积可缩短污染物衰减时间,提高排污效率,而浮力组合系数对污染物浓度变化的影响则可忽略.
高低温下复合绝缘子的连接抗拉性能及优化
晏致涛, 马文俊, 张璞, 裘哲
2021, 56(1): 56-61, 83. doi:10.3969/j.issn.0258-2724.20181032
摘要:
为了探究复合绝缘子的承载力受高低温以及芯棒与端部金具压接工艺的影响规律,得出最后优化的压接方式,对绝缘子芯棒和端部金具的高低温拉伸试验结果进行了有限元模拟分析. 在常温状态对金具与芯棒的受力进行了模拟,结果与实验数据吻合较好;设计出10种压接工况,评估最优的复合绝缘子端部金具的预紧应力工况;进一步对高低温下的绝缘子承载能力进行了仿真. 研究结果表明:当预紧应力沿金具径向均匀分布并预留金具长度的18%~25%无预紧力的工况下,复合绝缘子链接的承载能力最优,最优模型的弹性极限荷载较现有厂家工艺增大8.23%;本文模拟方法能较好地模拟高低温状态下的绝缘子力学性能,但压接优化对其承载能力提升不明显.
铁路盘型制动噪声机理及其控制方法
乔青峰, 杨伟东, 朱琪, 陈光雄
2021, 56(1): 62-67. doi:10.3969/j.issn.0258-2724.20190799
摘要:
为了研究铁路盘型制动噪声的发生规律及其影响因素,测量了列车运行过程中各种制动工况条件下盘型制动器的摩擦噪声,获得了列车盘形制动摩擦噪声的发生规律;基于模态耦合引起制动摩擦噪声的机理,使用试验测得的闸片和制动盘之间的摩擦系数,建立了由制动盘、闸片、闸片托、制动杠杆和销等组成的全尺寸盘型制动系统摩擦噪声有限元预测模型,研究了铁路盘型制动噪声的影响因素. 试验结果表明:盘型制动摩擦噪声的特征频率为256.78、3904.07 Hz和4320.38 Hz;在特定摩擦副的摩擦性能下,当制动缸推力为10.1 kN和12.3 kN时,盘型制动器最容易产生摩擦噪声,模型预测结果与实测摩擦噪声比较一致;制动闸片的弹性模量对盘型制动噪声有重要的影响,合理的闸片弹性模量有助于抑制制动摩擦噪声.
抑制轮轨摩擦自激振动的扣件结构多参数拟合研究
崔晓璐, 黄博, 陈光雄
2021, 56(1): 68-74. doi:10.3969/j.issn.0258-2724.20190023
摘要:
为研究扣件结构参数对轮轨摩擦自激振动的影响,基于轮轨摩擦耦合自激振动的观点建立了小半径曲线轨道整体道床支承的轮轨系统有限元模型;通过现场测试和数值仿真验证了轮轨摩擦自激振动模型,进而基于该模型研究了扣件结构中各参数对轮轨摩擦自激振动的影响;综合考虑多因素之间的相互影响,采用最小二乘法得到了预测轮轨摩擦自激振动发生可能性的扣件结构多参数拟合方程. 研究结果表明:在整体道床支承的小半径曲线轨道上,轮轨间饱和蠕滑力引起的轮轨摩擦自激振动是诱导该区间钢轨波磨的关键因素,轮轨系统的摩擦自激振动主要发生在300 Hz和320 Hz;根据扣件结构的多参数拟合方程,在适当范围内,扣件的垂向阻尼为1000 N•s/m,扣件间距为1.0 m组合时,可以降低小半径曲线轨道上轮轨系统摩擦自激振动发生的可能性,从而降低钢轨波磨发生的可能性.
现代有轨电车不同轨道的振动传递特性试验研究
张迅, 李茜, 郝晨曦, 游颖川, 陈伟杰, 蒲潏, 徐煜进
2021, 56(1): 75-83. doi:10.3969/j.issn.0258-2724.20200013
摘要:
为探讨现代有轨电车不同轨道的振动传递特性,以某市现代有轨电车为例,对3种不同的轨道(未采取减振处理的普通轨道、安装弹性包覆材料的普通轨道和嵌入式轨道)进行测试. 基于锤击试验原理,获取了钢轨振动衰减率、轨道各部件的频响特性和插入损失,并与其它减振轨道进行了比较. 结果表明:嵌入式轨道的钢轨振动衰减率表现出明显的频率相关性,其在1 600 Hz频带可达5.9 dB/m;嵌入式轨道的第1个钢轨共振点出现在频率160 Hz附近,其频响函数幅值和共振频率均比未采取减振处理的普通轨道小;总体上,与安装弹性包覆材料的普通轨道和其它减振轨道相比,嵌入式轨道在中高频表现出更好的钢轨纵向减振效果,故理论上能够对轮轨噪声起到良好的抑制作用.
动车组踏面凹型磨耗对车辆稳定性的影响
王晨, 罗世辉, 邬平波, 许自强, 马卫华, 方翁武
2021, 56(1): 84-91. doi:10.3969/j.issn.0258-2724.20181001
摘要:
针对某型高速动车组在运行过程中出现构架横向报警的问题,建立考虑踏面凹型磨耗的动车组动力学模型. 通过仿真分析和现场试验相结合的方法,研究不同运行里程凹型磨耗踏面与钢轨的轮轨关系以及凹磨踏面对车辆稳定性的影响. 研究结果表明:镟修踏面与钢轨匹配时轮轨接触点呈现均匀分布,凹型磨耗踏面轮轨接触点主要分布在凹磨区域两侧;随着轮对横移接触点发生跳跃,产生假轮缘效应,引起剧烈的轮轨横向冲击;随着凹磨加剧车辆稳定性逐渐降低,当车辆高速运行过程中,凹磨踏面对应构架蛇行带来横向振动频率与构架自身的固有振动频率接近,容易发生横向耦合振动,使得横向加速度超过限制值;踏面凹磨是造成构架横向报警重要原因,通过轮对镟修能够有效抑制构架报警情况发生.
高速动车组车轮踏面磨耗特征分析
徐凯, 李芾, 安琪, 毛文慧
2021, 56(1): 92-100. doi:10.3969/j.issn.0258-2724.20190266
摘要:
为研究不同类型高速动车组车辆车轮踏面磨耗特征,探寻车轮发生磨耗后车辆运行性能的演变,以运行在武广客专上的CRH380A和CRH380B型动车组为研究对象,在线路数据统计的基础上,基于SIMPACK建立的高速动车组模型和编制的轮轨磨耗程序,对两类动车组车辆在一个镟修周期内的车轮磨耗特性及其对车辆运行性能的影响进行分析. 结果表明,该线路上运营的动车组车辆车轮磨耗特征主要表现为踏面凹槽磨耗,且CRH380A型动车组车轮踏面磨耗程度更为严重;在一个镟修周期内,由于车辆设计理念的差异,CRH380A型动车组车轮磨耗特征表现为磨耗范围较窄但磨耗深度较大,凹槽磨耗较为明显,而CRH380B型动车组则表现为磨耗范围较宽但磨耗深度较小,磨耗较为均匀;在运行2.5 × 105km里程内,新轮状态下的CRH380A型动车组运行稳定性明显优于CRH380B型动车组,但在运营里程超过1.0 × 105km后,由于受到车轮磨耗的影响,运行稳定性较CRH380B型动车组恶劣;同时,CRH380A型动车组车体最大振动加速度和平稳性指标分别为0.52 m/s2和2.26,均优于CRH380B型动车组的0.58 m/s2和2.38,但CRH380A型动车组脱轨系数和轮重减载率均为0.35,均大于CRH380B型动车组的0.14和0.28. 因此,在整个运行周期内,CRH380A型动车组车辆运行平稳性优于CRH380B型动车组,但运行安全性较CRH380B型动车组恶劣.
单组分地聚物砂浆的力学性能和微观结构分析
杨世玉, 赵人达, 靳贺松, 李福海, 乔瑜
2021, 56(1): 101-107, 137. doi:10.3969/j.issn.0258-2724.20190588
摘要:
为了研究不同NaOH浓度、胶砂比及溶胶比在多种固化温度下粉煤灰地聚物砂浆的强度发展规律及其微观机理,进行了力学性能试验,并用扫描电镜(SEM)和压汞试验(MIP)分析了其微观形貌、孔径分布. 分析结果表明: 对浓度为10%的NaOH溶液制备的地聚物砂浆试件,即使在很高的温度下固化也没有观察到明显的强度发展;随着NaOH浓度增加或固化温度上升,单组分地聚物砂浆的抗压和抗弯强度均可获得最佳值,该值出现位置由热固化温度和NaOH浓度的共同决定;地聚物的孔径分布微分曲线为单峰分布,控制NaOH的浓度可以大幅减小孔径微分曲线的峰值,显著降低地聚物的孔隙率;粉煤灰颗粒在NaOH的作用下逐渐溶解,并在其表面形成胶凝物质,当Na+浓度较低时,地聚物较少,通过控制NaOH浓度可以使得地聚物变得密实,提高其抗压强度;基于热力学关系的分形模型描述地聚物孔结构形态的效果最好,其次为孔轴线模型,空间填充模型和海绵体模型只能较好地描述胶凝孔隙和过渡孔隙的孔结构分形维数;基于热力学关系与基于海绵模型分形维数计算值均在2.0~3.0之间,与一般水泥基材料的结果相近;适当调整NaOH的浓度可以改善地聚物的孔隙结构.
热老化作用下橡胶改性沥青的低温流变性能
于江, 赵群, 叶奋, 宋卿卿
2021, 56(1): 108-115. doi:10.3969/j.issn.0258-2724.20180987
摘要:
为探究老化作用下橡胶改性沥青(AER)及其复合改性沥青(AER/SBS)的低温流变性能,借助常规性能、低温弯曲试验和Burgers模型,研究了在不同老化状态、不同橡胶粉掺量下AER改性沥青及其复合改性沥青的低温流变特性,同时借助红外光谱(FTIR)方法定量分析老化对AER改性沥青官能团的影响,并将其官能团指数和低温指标进行相关性分析. 研究结果表明:在不同老化状态下AER、SBS均可提高沥青低温性能,且短期老化下AER/SBS复合改性沥青的低温性能优于AER改性沥青,长期老化则反之;AER、SBS改性剂均可改善沥青的劲度模量,且AER对沥青劲度模量的影响程度更显著,同时低温指标(劲度模量S、蠕变速率m、劲度模量与蠕变速率之比S/m)与黏弹性指标(松弛时间λ、耗散能比a具有紧密的联系;AER改性沥青的低温性能与脂肪指数IA和脂肪长链指数IAL有较高的相关性,且IA越大其低温性能越好,IAL则反之.
三角网模型多目标加权最短路径的特征线提取
朱庆, 尚琪森, 胡翰, 于昊加, 钟若飞, 丁雨淋
2021, 56(1): 116-122. doi:10.3969/j.issn.0258-2724.20180248
摘要:
针对倾斜摄影测量三维重建得到的三维模型在地物拐角棱线处结构粗糙、噪声较大、规则性缺失,难以快速准确提取出理想特征线的难题,提出一种基于多目标加权最短路径的特征线提取方法. 首先对模型进行预处理,使模型具有完整、连续的拓扑结构,并将模型以有向图结构进行组织;其次顾及距离、方向和三角网变化趋势计算权重,约束迪杰斯特拉算法获取最短路径得到特征线;最后,为了修复模型特征不明显的棱线区域,设计了一种棱线修复算法. 研究结果表明:与交互式方法对比,本文方法效率高,只需选取两个特征点指定目标,同时提取结果不依赖人工经验,客观性强;与基于边和面的自动提取方法相比,本文方法受噪声影响小,能在简单交互下提取到指定特征线.
考虑动态交通流的停车场车辆最优疏散模型
甘家华, 毛新华, 赵京
2021, 56(1): 123-130. doi:10.3969/j.issn.0258-2724.20190611
摘要:
为有效地制定停车场车辆疏散方案,缩短车辆疏散时间,研究了考虑道路网动态交通流特征的停车场车辆最优疏散模型. 首先,根据排队论将停车场每个出口车道的车辆排队抽象成一个M/M/1/1排队系统,分析出口道路交通流车头时距对车辆离开率的影响,从而估算车辆在停车场内的排队时间. 其次,构建道路网节点交通流均衡模型和路段交通流均衡模型模拟车辆的疏散路径选择行为,并估算疏散车辆的行驶时间以及在交叉口的延误时间. 最后,选取一个具有4个出口的停车场进行车辆疏散仿真模拟. 研究结果表明:出口处道路交通流车头时距对停车场车辆排队时间、行驶时间和总疏散时间均有显著影响,并且车辆在道路网中最优路径的选择主要受非疏散交通流影响;该模型能模拟停车场车辆在疏散过程中的动态交通特征及时间消耗,根据出口处道路交通流车头时距动态调整车辆离开率,提升疏散效率.
考虑潜在类别的市内机动化出行行为模型
刘志伟, 刘建荣, 邓卫
2021, 56(1): 131-137. doi:10.3969/j.issn.0258-2724.20190945
摘要:
为了研究出行者出行选择偏好的异质性和心理因素对出行选择行为的影响,通过验证性因子分析得到影响出行方式选择的心理潜变量;将求得的潜变量纳入潜在类别条件Logit模型,采用期望最大算法求解,得到样本潜在类别的数量和效用函数;最后,以广州市为例进行实证分析. 结果表明:潜在类别条件Logit模型对数据的拟合度高于传统的条件Logit模型;出行者可以划分为地铁偏好群体、小汽车偏好群体、常规公交偏好群体3个潜在类别,占比分别为42.5%、25.0%、32.5%;地铁偏好群体、公交偏好群体步行时间价值分别为1.2、1.3元/min,而小汽车偏好群体对步行持正面评价;地铁偏好群体、公交偏好群体的时间价值均为0.7元/min,小于小汽车偏好群体的车内时间价值(1.1元/min);月收入是否大于10 000元、是否开车上班对出行者潜在类别划分具有显著影响;心理潜变量中,灵活性和可靠性对出行者潜在类别划分的影响显著,舒适性对潜在类别划分没有显著影响.
考虑距离影响的公交网络敏感度
杜牧青, 虞春滨
2021, 56(1): 138-146. doi:10.3969/j.issn.0258-2724.20190453
摘要:
为更加准确地分析公交网络的性能状况,考虑了距离对于出行者感知费用的放大作用,提出了一种广义出行费用函数对公交网络敏感度进行了分析. 首先,分析了距离的影响作用,建立了一个公交网络模型,并通过超路径理论解释了公交共线问题和乘客的选择行为. 其次,在均衡配流的公交网络基础上,根据变分不等式的扰动问题,构建了考虑距离因素的公交网络敏感度分析方法. 最后,以实际算例分析了公交网络在受到不同因素的影响时各个弧段以及网络性能的变化情况,并着重分析了距离因素的影响作用. 研究结果表明:需求从0增加到900人/h,考虑距离影响下的最优出行策略从原来的单一超路径变为多条超路径;在模型关键参数的识别中发现,距离因素是一个较为敏感的参数,需要更加准确地进行标定;在相同的需求水平下,距离参数取值从0变化至0.03时,总旅行费用关于公交服务频率的偏导数值不断减小,为寻找总旅行费用可降低区域提供依据.
基于文本挖掘的道路运输安全风险源辨识模型
罗文慧, 蔡凤田, 吴初娜, 夏鸿文, 孟兴凯
2021, 56(1): 147-152. doi:10.3969/j.issn.0258-2724.20200140
摘要:
为了解决当前道路运输安全风险源辨识工作中数据短缺和人员工作量较大的问题,从文本挖掘的角度出发,提出一种能够自动辨识道路运输过程中安全风险源的模型. 该模型首先对道路运输文本进行因果句提取,并对因果句进行分词操作,实现安全风险源特征的增强;其次,进行适应卷积神经网络(convolutional neural networks,CNN)输入的、包含词信息和位置信息的特征构造;然后,将特征构造的结果输入到CNN实现安全风险源的辨识;最后,利用道路交通事故报告进行实验. 实验结果表明:提出的辨识模型能辨识大部分的道路运输安全风险源因素,准确率约为77.321%.
基于3D CNN的道路视频交通状态自动识别
彭博, 唐聚, 张媛媛, 蔡晓禹, 孟繁和
2021, 56(1): 153-159. doi:10.3969/j.issn.0258-2724.20191169
摘要:
为了从视频直接有效地提取交通信息,提出了基于三维卷积神经网络 (3D convolutional neural networks,3D CNN)的交通状态识别方法.首先,以C3D (convolutional 3D)深度卷积网络为3D CNN原型,对卷积层数量与位置、平面卷积尺寸及三维卷积深度进行优化调整,形成了37个备选模型;其次,建立了视频数据集,对备选模型进行系统的训练测试,提出了交通状态识别模型C3D*;然后,对C3D* 和现有三维卷积网络模型进行视频交通状态识别测试分析;最后,对比测试了C3D* 及常用二维卷积网络的交通状态识别效果. 对比结果显示:针对视频交通状态识别,C3D* 的F均值为91.32%,比C3D、R3D (region convolutional 3D network)、R (2+1) D (resnets adopting 2D spatial convolution and a 1D temporal convolution)分别高12.24%、26.72%、28.02%;与LeNet、AlexNet、GoogleNet、VGG16的图像识别结果相比,C3D* 的F均值分别高32.61%、69.91%、50.11%、69.17%.
基于HSV透射率加权修正的机载视频去雾系统设计
王健, 秦春霞, 杨珂, 任萍, 郑洁, 赵远鹏, 陈贵锋
2021, 56(1): 160-167, 205. doi:10.3969/j.issn.0258-2724.20190985
摘要:
针对无人机机载雾天实时获取图像降质的问题,设计一种基于HSV (hue,saturation,value)透射率加权修正的无人机视频去雾处理系统. 首先,根据机载低功耗实时去雾系统要求,完成去雾系统总体设计;其次,根据去雾系统视频采集需要,设计数字视频BT.656/BT.1120隔行和逐行处理、视频控制、指令接收处理、TS1601视频去雾算法处理、H.264视频压缩处理和组帧等功能;最后,重点介绍系统去雾处理算法和平台设计、去雾参数化处理等功能模块的设计实现,分别使用本系统方法和相关文献方法对典型含雾图像处理,采用方差函数、平均梯度函数、TenenGrad函数等3种清晰度评价函数并做归一化处理,以进行客观评价. 研究结果表明:根据HSV分量透射率加权修正的无人机机载图像去雾处理系统设计,具有功耗小、易实现和适应性强等特点;对典型含雾图像3处理后方差函数归一化分别提高46.87%、1.44%、12.83%,平均梯度函数归一化分别提高12.54%、9.26%、11.15%,TenenGrad函数归一化分别提高53.19%、3.60%、8.82%,测试算法整体运算时间分别提高4.74、5.41倍和5.46倍.
基于Kittler最小误差分割算法的小视场星图分割
时春霖, 杨培章, 张超, 杜兰, 叶凯, 范承啸, 李建, 祖安然
2021, 56(1): 168-175. doi:10.3969/j.issn.0258-2724.20190841
摘要:
小视场星图易受光照不均和噪声影响,常用阈值分割算法存在处理效果不佳或效率较低的不足. 针对星图灰度的高斯分布特征,基于贝叶斯最小误差理论,提出利用Kittler最小误差分割算法处理小视场星图. 以视频测量机器人为测量平台,以 "优度法"、区域一致性、区域对比度和时间复杂度为评价指标,对比了常用的阈值分割算法和一维最大熵法,验证了Kittler算法在确保星图良好分割的同时,星图处理效率可以提高70%左右. 基于半仿真星图和真实星图的室内试验表明,Kittler算法可以准确提取星点质心坐标,水平和垂直方向均方根误差分别为0.025像素和0.019像素;采用该算法的野外天文定位实测表明,经纬度内符合平均精度分别优于0.015 s和0.22″,外符合精度分别优于0.025 s和0.35″,可以满足一等天文测量的精度要求.
基于BIM交互与数据驱动的多专业正向协同设计技术
史海欧, 袁泉, 张耘琳, 曾文驱, 郑庆, 丁国富
2021, 56(1): 176-181. doi:10.3969/j.issn.0258-2724.20200035
摘要:
为了实现多专业之间基于数据驱动的协同设计,提高设计效率,在分析城市轨道交通正向协同设计模式的基础上,提出了基于数据驱动的多专业正向协同设计技术. 首先建立符合城市轨道交通领域特点的七维建筑信息模型,采用工业基础类表达三维设计模型并解析形成模型结构树;然后通过模型交互和数据提取,完成交互构件参数设计;最后基于数据驱动和协同消息,调整协同构件的设计参数,完成协同设计过程. 通过实际案例分析表明:提出的数据驱动的多专业正向协同设计技术能够有效促进城市轨道交通各专业间数据交互和协同,实现多专业间的正向协同设计,形成优化设计方案、提高协同效率.
用于单电感双输出Buck变换器的PCPV控制方案
徐利梅, 王瑶, 张留洋, 杨甲勇
2021, 56(1): 182-189. doi:10.3969/j.issn.0258-2724.20191067
摘要:
为减小工作于连续导电模式(continue conduction mode,CCM)的单电感双输出(single-inductor dual-output,SIDO) Buck变换器的输出交叉影响,提出了峰值电流-峰值电压(peak-current and peak-voltage,PCPV)控制方法. 分析了PCPV控制SIDO Buck变换器的电路结构和工作原理,利用电感伏秒平衡和电容安秒平衡原理推导了输出电压与输入电压的增益表达式,并采用状态空间平均方法,建立了PCPV控制SIDO Buck变换器的状态空间平均模型;在此基础上,建立了PCPV控制SIDO Buck变换器的小信号模型,并与传统峰值电流(peak-current-mode,PCM)控制SIDO Buck变换器对比分析交叉影响. 研究结果表明:PCM控制SIDO Buck变换器输出电压较大的输出支路对输出电压较小的输出支路的交叉影响为300 mV,而PCPV控制SIDO Buck变换器输出电压较大的输出支路对输出电压较小的输出支路几乎无交叉影响;PCM控制SIDO Buck变换器的负载瞬态调节时间为12.5 ms,而PCPV控制SIDO Buck变换器的负载瞬态调节时间最大为10 ms. 相比PCM控制SIDO Buck变换器,PCPV控制SIDO Buck变换器有效地减小了交叉影响,且提高了瞬态性能. 最后通过实验结果验证了理论分析的正确性.
基于区间二型神经模糊系统的轨道电路故障诊断
王梓丞, 张亚东, 郭进, 苏丽娜, 杨璟, 宋辞, 李科宏
2021, 56(1): 190-196. doi:10.3969/j.issn.0258-2724.20180983
摘要:
针对目前铁路现场对轨道电路故障的判别仍然采用阈值法导致维护效率偏低的问题,提出将神经网络与模糊逻辑相结合,构建区间二型神经模糊系统(interval type-2 neural-fuzzy system,IT2NFS),通过诊断模型实现对轨道电路故障模式的智能识别. 首先通过结构识别建立初步的网络结构,采用均匀设计方法生成模糊集的均值,对训练样本进行相似性测试,生成标准差和初始后件参数;再通过递归奇异值分解,优化后件参数以减小输出误差;最后,针对常见的8种故障,从实验平台上采集样本共计9000个,其中6300个样本用于模型训练,剩余2700个用于实验测试. 实验结果表明:利用IT2NFS模型进行故障诊断时,每种故障类别的识别率均在82%以上,平均正确率为90.9%,仿真用时10.59 s.
燃料电池小型车SOC动态调节的功率跟随控制策略
陈维荣, 李锦程, 李奇
2021, 56(1): 197-205. doi:10.3969/j.issn.0258-2724.20190552
摘要:
针对风冷型质子交换膜燃料电池与锂电池组成的小型车用混合动力系统,提出一种根据SOC (state of charge)动态调节功率跟随系数的能量管理方法,完成混合动力观光车样车研制. 对构成样车的混合动力系统、氢气储存供给系统、信号控制系统3部分进行了详细阐述,并对不同工况下功率跟随算法调节系数对控制效果的影响进行了分析;采用动态改变调节系数降低功率跟随算法控制引起的锂电池SOC及燃料电池输出功率波动,延长电堆使用寿命;通过样车实际运行测试,验证混合动力控制方法的有效性. 测试结果表明:运行过程中燃料电池平均工作效率达到48.15%,并推算理论最大续航里程为94 km,与实际运行结果吻合.
高速铁路对邻近普速铁路电力电缆的干扰机理
解绍锋, 孙镜堤, 骆冰祥, 苏鹏, 李静雯
2021, 56(1): 206-213. doi:10.3969/j.issn.0258-2724.20191003
摘要:
高速铁路由于列车速度快、牵引功率大,且高速运行时持续取流,对与其邻近的普速铁路沿线敷设的电力电缆产生了明显的电磁干扰. 为此,通过对感性耦合和阻性耦合机理分析,研究高速铁路对电力电缆感应电压的干扰机理;运用CDEGS软件建立高速铁路对电力电缆电磁干扰仿真模型,总结电力电缆感应电压影响因素;基于计算结果对仿真模型进行验证. 结果表明:在邻近情况下,电力电缆感应电压与牵引负荷、电力电缆、土壤结构参数有关;其中,平行长度、负荷电流、土壤电阻率和短路电流对电力电缆感应电压有显著影响;高速铁路与普速铁路之间应根据电缆长度的不同设置合理的防护距离,且采用中点接地和单端接地方式能有效地降低电力电缆感应电流.
航空发动机面式空气滑油散热器的性能分析
蔡惠坤, 苏丽君, 廖亦戴, 翁泽钜, 徐晨
2021, 56(1): 214-220. doi:10.3969/j.issn.0258-2724.20180964
摘要:
为了改进航空发动机在地面停机、起飞滑跑等工况下散热能力差的问题,利用发动机进气道作为传热表面设计了一款面式空气-滑油散热器,并基于4分块、7分块、直平面代替弧面等分区模拟的方法开展了其传热特性研究及分块模拟的等效性分析. 研究结果表明:采用4分块、7分块以及直平面代替弧面等条件下散热器和滑油温度分布及变化趋势都基本相似,且温度差都在1 K以内,通过滑油侧与空气侧计算出的单元散热器散热量偏差也都在5%以内;采用分区模拟进行大型面式散热器的散热特性分析以及采用“以直代曲”等方法模拟弧长与直径比在0.203以下的弧面具有可行性和可靠性.
Baidu
map